高效麦田除草剂甲磺隆,目前国内原药登记共计7个,国外仍有广泛应用
| 来源:农化专利网 |
|
发布时间:2022-11-04 08:20 |
|
简述
甲磺隆,是美国杜邦公司在80年代初期开发的高效麦田除草剂,属于磺酰胺类,对人畜低毒。主要用于防除阔叶杂草,同时对部分禾本科杂草也有很好的防效。可有效地防治小麦田的看麦娘、婆婆纳、繁缕、巢菜、荠菜、碎末荠、播娘蒿、藜、蓼、稻搓草、水花生等杂草。
甲磺隆,是美国杜邦公司在80年代初期开发的高效麦田除草剂,属于磺酰胺类,对人畜低毒。主要用于防除阔叶杂草,同时对部分禾本科杂草也有很好的防效。可有效地防治小麦田的看麦娘、婆婆纳、繁缕、巢菜、荠菜、碎末荠、播娘蒿、藜、蓼、稻搓草、水花生等杂草。

其活性是氯磺隆的2~3倍,主要加工剂型为干燥胶悬剂或可湿性粉剂。但由于其活性高、杀草广泛、针对性强、在世界各地得到广泛应用,在土壤中留下大量残留,且长残效会对水生态环境造成威胁,故国内已于2013年逐步撤销其登记,目前已禁止在国内使用,但在国际市场仍然有广泛应用, 且国内仍然可以持有出口登记。美国和巴西是我国甲磺隆出口的前两大市场。
原药为白色、无味固体,熔点163~166℃,蒸气压7.73×10-3帕/25℃。水溶度因pH而异:pH4.59时为270,pH5.42时1750,pH6.11为时9500毫克/升。
对温血动物的毒性很低,大鼠口服LD50>5000毫克/千克,对水生动物毒性低。其广泛使用会在土壤中留下大量残留,进而对水生态环境造成威胁,如造成水华鱼腥藻(Anabaena flosaquae)细胞密度下降,对水华鱼腥藻乙酰乳酸合成酶(ALS)有明显的抑制作用。
甲磺隆主要用于防除麦田阔叶杂草 , 也可以防治部分禾本科杂草。主要用于苗前土壤处理或苗后茎叶喷雾。主要作用机理是被植物组织吸收后 , 可在植物体内迅速上下传导, 抑制抑制乙酰乳酸合成酶(ALS)的活性 , 阻止必须氨基酸的生物合成, 抑制细胞分裂与生长,使幼苗失绿,生长点坏死, 叶片萎蔫, 进而植株逐渐枯死,对小麦、大麦、燕麦等麦类作物安全。

其相关制剂登记共计25个,其中单剂为60%WDG; 60%WP;10% WP等。
主要复配为:


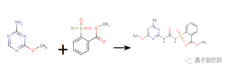
由其重要中间体邻甲酸甲酯苯磺酰基异氰酸酯(合成方法同苯磺隆)与2-氨基-4-甲基-6-甲氧基均三嗪,二氯乙烷在室温下反应后过滤,脱溶制的。
海关数据显示,我国2019年甲磺隆出口共计2673万美元左右,其中美国为最大的甲磺隆目的市场2019年进口总额为465万美元左右,第二大市场为巴西,2019年进口额为351万美元左右,马来西亚为第三大市场,2019年进口额为337万美元。印度尼西亚,哥伦比亚,澳大利亚,新西兰,印度,阿根廷等国也是甲磺隆的重要进口国。
来源:磊子侃农药