提示
×
取消
确定
当前位置:首页 > 专利专论
新型双酰胺类杀虫剂——硫环虫酰胺
来源:李祝明微信公众号   发布时间:2024-07-30 09:30
简述
硫环虫酰胺(Pioxaniliprole)是印度PI工业有限公司2019年报道开发的新型双酰胺类杀虫剂,从骨节结构上推测,其与氟苯虫酰胺、氯虫苯甲酰胺等类似同属于鱼尼丁受体变构调节剂,生测表明硫环虫酰胺对鳞翅目、同翅目害虫都有较好的防效,环硫虫酰胺的开发是对双酰胺类杀虫剂市场的重要补充,其高效、低毒的特点也使其在市场上具有广阔的应用前景。
硫环虫酰胺(Pioxaniliprole)是印度PI工业有限公司2019年报道开发的新型双酰胺类杀虫剂,从骨节结构上推测,其与氟苯虫酰胺、氯虫苯甲酰胺等类似同属于鱼尼丁受体变构调节剂,生测表明硫环虫酰胺对鳞翅目、同翅目害虫都有较好的防效,环硫虫酰胺的开发是对双酰胺类杀虫剂市场的重要补充,其高效、低毒的特点也使其在市场上具有广阔的应用前景。


01 产品简介

英文名称:pioxaniliprole(P)
中文名称:硫环虫酰胺
化学名称:N-[2-(叔丁基氨基甲酰基)-4-氯-6-甲基苯基]-1-(3-氯吡啶-2-基)-3-[(1,1-二氧亚基-1λ6-硫杂环丁-3-基)氧基]-1H-吡唑-5-甲酰胺
分子式:C24H25Cl2N5O5S
相对分子质量:566.457
CAS登录号:2368920-61-8
二维化学结构式:

图片


三维化学结构式:

图片


02 作用机理

硫环虫酰胺推测属于鱼尼丁受体调节剂。作用于昆虫体内非电压门控钙离子释放通道,能有效调控昆虫体内钙离子流量,引起昆虫肌肉调节功能失效,导致昆虫不自主地抽搐、瘫痪和死亡,从而表现出优异的生物性能。

03 应用

应用作物:谷物、玉米、高粱、八角、大米、大豆、油籽和其他豆科植物、果树、葡萄、坚果树、柑橘树、园艺植物、葫芦科植物、含油植物、烟草、咖啡、茶、可可、甜菜、甘蔗、棉花、土豆、西红柿、 洋葱、辣椒、其他蔬菜和观赏植物等

靶标害虫:鳞翅目害虫斜纹夜蛾、小菜蛾、棉叶波纹夜蛾、果树黄卷蛾、二化螟、稻纵卷叶螟、玉米根草螟、苹果蠹蛾、葡萄浆果蛾、甜菜夜蛾、斜纹夜蛾、粘虫、潜叶蝇、蚜虫、粉虱、叶蝉、褐飞虱、木虱等但不限于

生测试验普筛结果表明:硫环虫酰胺300mg/L处理对棉铃虫3龄幼虫(4 d)、小菜蛾2龄幼虫(3d)和烟粉虱成虫(3d)的致死率均在70%以上。

可开发剂型:10%硫环虫酰胺SL、5%硫环虫酰胺DC、15%硫环虫酰胺EC、5%硫环虫酰胺EW、20%硫环虫酰胺SC、50%硫环虫酰胺WDG、0.5%硫环虫酰胺GR、1%硫环虫酰胺UL

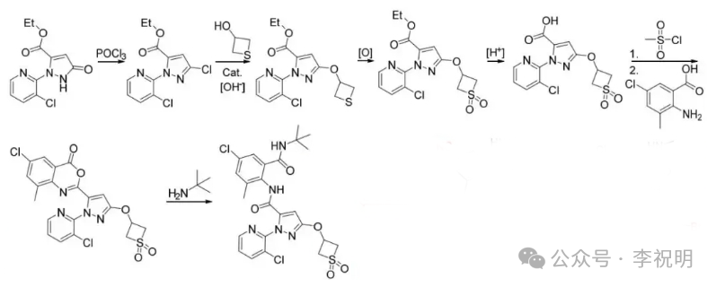
04 合成路线

原研企业PI INDUSTRIES LTD在专利WO2019150220A1,“新型蒽酰胺,其作为杀虫剂的用途和制备方法“中披露了硫环虫酰胺的合成路线,即使取代的四氢吡唑啉酮为起始原料,经卤化、芳构化、水解、缩合、胺化等6步反应生成最终产物硫环虫酰胺。合成路线如下:

图片


05 前景展望

环硫虫酰胺作为具有吡啶甲酰胺结构的新型双酰胺类杀虫剂,在研发之初旨在通过独特的化学结构和作用机制,来解决传统常规农药在长期使用过程中产生的抗性问题,根据结构推测环硫虫酰胺具有高效、低毒、广谱的特点,且有较好的内吸活性,并不乏会有植物保健功效,非常适合做种子处理方向方面的探讨开发,因该杀虫剂在国内并未上市,具体数据还有待企业进行实验披露。笔者认为环硫虫酰胺同样是一款颇具潜力的新型双酰胺类杀虫剂。