近期,多项农药杀菌剂发明专利公开,这些专利涉及多个创新化合物合成,氟吡菌酰胺、吡唑醚菌酯、氯氟迷菌唑、三氟吡啶胺、氟唑环菌胺、fluoxapiprolin,以及尖孢镰刀菌、地衣芽孢杆菌、哈茨木霉菌和撕裂蜡孔菌等活性成分的化合物合成或单剂或组合物专利。申请人除高校和科研机构外,还涉及中旗股份、海利尔、江苏艾津、利民股份、东宝农化、安道麦、丰乐农化、沈阳中化与扬农化工、京博农化等农药企业。专利基本情况如下:
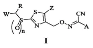
1、一种含丙烯腈结构的化合物及其应用、一种杀菌剂
申请公布号:CN118307535A
申请人:江苏中旗科技股份有限公司
专利摘要:本发明涉及农药领域,具体涉及一种含丙烯腈结构的化合物及其应用、一种农用杀菌剂。该化合物具有式(I)所示的结构。本发明提供的化合物能够有效防治植物卵菌病害,对黄瓜霜霉病、马铃薯晚疫病、辣椒疫霉病等卵菌纲病害引起的植物病害具有优异的防治效果,具有很好的市场开发前景。

2、一种含氟吡菌酰胺与三唑磷的防治线虫的农药组合物
氟吡菌酰胺+三唑磷
申请公布号:CN118303423A
申请人:山东农业大学
专利摘要:本发明属于农药技术领域,涉及一种防治根结线虫病的农药组合物。有效成分为氟吡菌酰胺与三唑磷,所述氟吡菌酰胺与三唑磷的质量比为1:19-19:1。本发明以氟吡菌酰胺与三唑磷为有效成分进行复配,对防治根结线虫具有明显的增效作用,这种作用尚未见报道。含有该组合物的制剂产品可提高对根结线虫病的防效,具有开发潜力。氟吡菌酰胺与三唑磷的作用机制不同,持效期长,可减少用药次数,并可延缓抗药性的产生。主要用于防治蔬菜及其他作物的根结线虫病。
3、含噻霉酮的杀菌剂组合物微胶囊悬浮剂及其制备方法
噻霉酮+...
申请公布号:CN118303413A
申请人:上海师范大学
专利摘要:本发明涉及农药制剂领域,提供了一种含噻霉酮的农药组合物的微胶囊悬浮剂及其制备方法。其微胶囊囊壁由经过多官能团羟基化合物改性得到的改性多异氰酸酯经扩链固化交联形成,囊芯包括溶解于有机溶剂的含噻霉酮的农药组合物,改性多异氰酸酯由多官能度羟基化合物与多异氰酸酯反应得到。制备工艺简单,微胶囊悬浮剂具有优异的贮藏稳定性、稀释稳定性、离心稳定性,粒径分布均匀,农药包封率可以达到90%。
4、一种暹罗芽孢杆菌与氟噻唑吡乙酮复配组合物及其应用
暹罗芽孢杆菌BS5-10+氟噻唑吡乙酮
申请公布号:CN118308243A
申请人:中国农业科学院烟草研究所(中国烟草总公司青州烟草研究所)
专利摘要:本发明涉及农业微生物技术领域,公开了一种暹罗芽孢杆菌BS5-10与氟噻唑吡乙酮防治烟草病害。所述暹罗芽孢杆菌BS5-10于2023年12月27日保藏于中国普通微生物菌种保藏管理中心(CGMCC),菌种保藏号为CGMCC No:29421;本发明的暹罗芽孢杆菌与氟噻唑吡乙酮复配后对烟草黑胫病、烟草疫霉病的防治表现出协同增效作用。同时,使用两种复配处理可以促进烟株的生长发育,对于烟草黑胫病和连作土壤条件下镰刀菌根腐病的防控,可以减少农药投入,减轻环境污染,实现农业可持续发展。
5、一种防治小麦白粉病的农药组合物
大黄素甲醚+纳他霉素
申请公布号:CN118303397A
申请人:内蒙古清源保生物科技有限公司
专利摘要:本发明属于农药技术领域,具体属于一种防治小麦白粉病的农药组合物。一种防治小麦白粉病的农药组合物,其有效成分由大黄素甲醚和纳他霉素复配而成。本发明的农药组合物中大黄素甲醚和纳他霉素复配后,对小麦白粉病菌表现出增效作用,可以提高对小麦白粉病的防治效果,基于此可以减少农药的施用剂量,实现减时增效,有利于降低农药残留。
6、一种含百里香酚和氟噻唑吡乙酮的杀菌剂组合物
百里香酚+氟噻唑吡乙酮
申请公布号:CN118303394A
申请人:广西壮族自治区农业科学院
专利摘要:本发明涉及农药技术领域,具体涉及一种含百里香酚和氟噻唑吡乙酮的杀菌剂组合物。一种含百里香酚和氟噻唑吡乙酮的杀菌剂组合物,其有效成分由百里香酚与氟噻唑吡乙酮复配而成。本发明的防治瓜类蔓枯病的杀菌剂组合物的活性不是各组分活性的简单叠加,具有显著的协同增效作用,可以提高防除瓜类蔓枯病的效果,减少农药的施用剂量,降低瓜类蔓枯病的防治成本。
7、一种含氯氟迷菌唑和异菌脲的农药组合物及其应用
氯氟迷菌唑+异菌脲
申请公布号:CN118303420A
申请人:南京汉广检测技术有限公司
专利摘要:本发明涉及农药组合物技术领域,公开了一种含氯氟迷菌唑和异菌脲的农药组合物,所述农药组合物包括氯氟醚菌唑和异菌脲,所述氯氟醚菌唑和异菌脲的质量比为1~40:40~1。本发明通过选择氯氟醚菌唑、异菌脲进行复配,二者能够产生增效作用,继而使得形成的农药杀菌剂具有良好的杀菌效果,且有较大的防治谱,特别地对于马铃薯早疫病、苹果褐斑病、番茄早疫病有良好的防治效果。
8、一种用于防治水稻真菌性病害的组合物
吡唑醚菌酯+壳梭孢菌素
申请公布号:CN118303419A
申请人:黑龙江省农业科学院水稻研究所
专利摘要:本发明公开了一种用于防治水稻真菌性病害的组合物,属于农药复配技术领域。本发明提供的用于防治水稻真菌性病害的组合物的有效成分中,吡唑醚菌酯和壳梭孢菌素的质量比为100:0.5~3.5。经验证,壳梭孢菌素对水稻真菌性病害无显著防治效果,但其作为吡唑醚菌酯用于防治水稻真菌性病害的增效剂表现出优异的增效作用。
9、一株尖孢镰刀菌及其在防治番茄枯萎病和草莓枯萎病中的应用
申请公布号:CN118291266A
申请人:江苏省农业科学院
专利摘要:本发明在莲藕中分离获得了一株尖孢镰刀菌(Fusarium oxysporum),命名为Yz_lotus_Fo1,其保藏编号为CGMCC NO.41101。本发明发现提前用尖孢镰刀菌Yz_lotus_Fo1孢子液处理番茄苗根系提升了番茄对番茄枯萎病菌的抗性,菌株Yz_Iotus_Fo1处理的防效可达到90.5%,且其可促进番茄植株的生长、提高番茄植株地上部的鲜重、维持或加强番茄植株根系的发育,减少番茄枯萎病菌在植株体内的定殖;此外,尖孢镰刀菌Yz_lotus_Fo1提前灌根处理草莓也能提升草莓对草莓枯萎病的抗性,防效可达到87.5%,上述菌株为生物农药的研制以及菌肥的开发利用奠定了基础。
10、萘环-1,2-稠合九元环化合物的应用及一种植物杀菌剂
申请公布号:CN118285391A
申请人:青岛农业大学
专利摘要:本发明公开了萘环-1,2-稠合九元环化合物在制备植物杀菌剂中的应用及一种植物杀菌剂,属于有机农药技术领域。本发明所述的植物杀菌剂,其有效成分为萘环-1,2-稠合九元环化合物,具有较好的杀菌活性,尤其对草莓灰霉病菌、苹果腐烂病菌、黄瓜枯萎病菌、花生根腐病菌等植物病害真菌,其杀菌效果非常优异,应用前景广阔。
11、一种含中生菌素的杀菌组合物及应用
中生菌素+纳米银
申请公布号:CN118285399A
申请人:浙江省桐庐汇丰生物科技有限公司
专利摘要:本发明公开了一种含中生菌素的杀菌组合物及应用,该杀菌组合物含有活性成分中生菌素和纳米银。还公开该含中生菌素的杀菌组合物在防治白菜软腐病及柑橘溃疡病上的应用。本发明杀菌组合物中中生菌素和纳米银的作用机理不同,二者混配协同增效明显,能够大幅度提高药效,降低农药使用量和用药成本,达到媲美化学农药的防治效果,又具有生物农药微毒甚至是无毒的优势。
12、苯甲酰肼类化合物及其合成方法和应用
申请公布号:CN118290298A
申请人:南京农业大学
专利摘要:本发明涉及农药杀菌剂领域,公开了苯甲酰肼类化合物及其合成方法和应用。该苯甲酰肼衍生物具有式I所示的结构。本发明的苯甲酰肼类衍生物具有结构新颖、低毒和高效的杀菌活性的优点,作为杀菌剂具有极大的应用前景。

13、一种防治花生叶斑病的杀菌剂组合物
昆布多糖+双炔酰菌胺/烯唑醇/环酰菌胺
申请公布号:CN118285386A
申请人:开封市农林科学研究院
专利摘要:发明CN118285386A属于农药技术领域,具体涉及一种防治花生叶斑病的杀菌剂组合物。一种防治花生叶斑病的杀菌剂组合物,其活性成分由昆布多糖与双炔酰菌胺、烯唑醇或环酰菌胺二元复配而成。本发明将昆布多糖与双炔酰菌胺、烯唑醇或环酰菌胺合理复配,复配配方对花生叶斑病病原菌具有增效作用,与单一有效成分相比,可以提高对花生叶斑病的防治效果。另外,本发明的杀菌剂组合物中含有2种有效成分,可以延缓病原菌抗药性的产生和积累。可为开发防治花生叶斑病的高效药剂提供支撑。
14、一种防治花生根腐病的杀菌增效组合物
联苯吡嗪菌胺+小檗碱/氟吡菌酰胺
申请公布号:CN118285389A
申请人:开封市农林科学研究院
发明CN118285389A属于农药技术领域,具体属于一种防治花生根腐病的杀菌增效组合物。一种防治花生根腐病的杀菌增效组合物,其活性成分由联苯吡嗪菌胺与小檗碱或氟吡菌酰胺复配而成。本发明将联苯吡嗪菌胺与小檗碱或氟吡菌酰胺进行合理复配,复配配方对抑制花生根腐病菌尖孢镰孢菌孢子的萌发具有增效作用,与单一有效成分相比,可以提高防治效果,这对开发防治花生根腐病的高效、绿色和环保的药剂具有重要意义。
15、一种油橄榄叶枯病的防治方法
吡唑醚菌酯/苯醚甲环唑
申请公布号:CN118252054A
申请人:甘肃省白龙江林业科学研究所
专利摘要:本发明属于植物病害防治技术领域,具体涉及一种油橄榄叶枯病的防治方法。本发明提供的一种油橄榄叶枯病的防治方法,包括:采摘油橄榄果实后,去除油橄榄病枝病叶,施加波尔多液;翌年油橄榄新叶长出后,施用杀菌剂;所述杀菌剂为吡唑醚菌酯杀菌剂或苯醚甲环唑杀菌剂。本发明通过对油橄榄病株施用吡唑醚菌酯或苯醚甲环唑,在物理去除病枝病叶的基础上结合施药措施,能有效抑制油橄榄叶枯病菌生长,降低油橄榄植株的病害指数,实现对油橄榄叶枯病的高效防治。
16、一种氟吡菌酰胺悬浮剂及其制备方法
申请公布号:CN118266472A
申请人:江苏艾津作物科技集团有限公司
专利摘要:本发明涉及一种氟吡菌酰胺悬浮剂及其制备方法。所述氟吡菌酰胺悬浮剂包括如下组分,以重量份计:氟吡菌酰胺20~50份,湿润分散剂2~5份,聚乙烯醇2~5份,增稠剂2~5份,防冻剂1~3份,消泡剂0.1~0.5份,稳定剂0.01~0.1份,水20~70份。本发明将聚乙烯醇和十八烷基二甲基苄基氯化铵进行配伍可得到高粘附高湿润性水基型农药增效助剂,实现了表面活性剂对湿润粘附过程的有效调控,提高药液在植物叶片上附着,减少农药用量。
17、一种含氟吡菌酰胺和三氟咪啶酰胺的杀线虫组合物、制剂及应用
氟吡菌酰胺+三氟咪啶酰胺
申请公布号:CN118252148A
申请人:利民化学有限责任公司
专利摘要:本发明涉及一种含氟吡菌酰胺和三氟咪啶酰胺的杀线虫组合物、制剂及应用,其中,所述组合物包括活性组分A、活性组分B;所述活性组分A为氟吡菌酰胺,所述活性组分B为三氟咪啶酰胺,还包括增效剂多巴胺及其衍生物,其中增效剂优选2-异丙基-5-甲基环己基(3,4二羟基苯甲基)氨基甲酸酯。本发明极大地提高了三氟咪啶酰胺的杀线虫效果,降低了三氟咪啶酰胺的用药量。
18、一种含地衣芽孢杆菌的增效杀菌组合物及其制备方法
地衣芽孢杆菌+烯酰吗啉
申请公布号:CN118235762A
申请人:江苏东宝农化股份有限公司
专利摘要:一种含地衣芽孢杆菌的增效杀菌组合物及其制备方法,涉及农药的生产技术领域。先将地衣芽孢杆菌、烯酰吗啉、助剂和填料在搪瓷搅拌釜中充分混合均匀后,取得增效杀菌组合物;投料时,所述地衣芽孢杆菌占组合物总质量的2~30%,烯酰吗啉占组合物总质量的1~50%,助剂占组合物总投料质量的2~25%。该杀菌组合物采用生物农药地衣芽孢杆菌和低毒高效农药烯酰吗啉这两种农药的合理组合,能够延缓病害抗药性的产生,使用简单,安全,防治效果好,残留量低对环境安全,促进农作物安全和优质生产,对农业增产增收起到重要作用。
19、一种含fluoxapiprolin的杀菌组合物及其应用
噁唑菌酮+fluoxapiprolin
申请公布号:CN118235770A
申请人:青岛海利尔生物科技有限公司
专利摘要:本发明属于农药杀菌剂技术领域,公开了一种含fluoxapiprolin的杀菌组合物,包括活性成分A和活性成分B,所述的活性成分A为噁唑菌酮,所述的活性成分B为fluoxapiprolin;且活性成分A和活性成分B的重量比为1:40~50:1。本发明组合物对多种作物上的多种病害都有较高活性,并且有明显的增效作用,杀菌谱广。
20、一种含有氟唑菌酰羟胺和氯吲哚酰肼的杀菌组合物
氟唑菌酰羟胺+氯吲哚酰肼
申请公布号:CN118216511A
申请人:山东京博农化科技股份有限公司
专利摘要:本发明属于新型农药领域,提供了一种含有氟唑菌酰羟胺和氯吲哚酰肼的杀菌组合物,该组合物以氟唑菌酰羟胺和氯吲哚酰肼杀菌为有效成分,同时加入增效剂聚马来酸酐十六醇酯,且有效成分占整个组合物重量的百分比为1%-50%;其对灰霉病病菌的防治增效作用显著,且对染病作物的生长具有明显的促进作用,同时该组合物优化剂型为悬浮剂,水作为介质,无有机溶剂,无粉尘污染,生产工艺简单,包装、运输安全,对环境及接触者安全;且用药次数由传统3次用药降为两次用药,用药频次降低1/3;真正做到绿色、环保,安全,高效。
21、一种防治柑橘白癞病的农药组合物
榄香素+环丙酰菌胺/肟醚菌胺
申请公布号:CN118216515A
申请人:广西壮族自治区农业科学院
专利摘要:本发明属于农药技术领域,具体涉及一种防治柑橘白癞病的农药组合物。一种防治柑橘白癞病的农药组合物,其活性成分由榄香素与环丙酰菌胺复配而成、或由榄香素与肟醚菌胺复配而成。本发明榄香素与环丙酰菌胺或肟醚菌胺复配时,在一定质量比范围内表现出增效的杀菌作用,安全高效,可有效防治柑橘白癞病,进而可以降低农药用量,缓解环境压力,减少农药残留量。同时,可以延缓病原菌抗药性的产生与发展。
22、制备异丙噻菌胺的方法和中间体
申请公布号:CN118159518A
申请人:安道麦马克西姆有限公司
专利摘要:本申请涉及新型中间体、其制备方法以及生产异丙噻菌胺的方法。本申请还涉及新型中间体在制备异丙噻菌胺的用途。本申请还涉及使用该新型中间体制备异丙噻菌胺的一些其他中间体的方法。
23、一种氟唑菌酰胺的多晶型及其制备方法和应用
申请公布号:CN118221588A
申请人:华东理工大学
专利摘要:本发明公开了一种氟唑菌酰胺的多晶型及其制备方法和应用,所述的多晶型为式I所示化合物的多晶型物,所述多晶型物为亚稳晶型。本发明的多晶型物是在有机酸存在的情况下诱导形成氟唑菌酰胺的多晶型物,适合用于制备抑制有害微生物的农药组合物,对子囊菌纲、担子菌纲、半知菌纲等真菌门所引起的褐斑病、纹枯病、灰霉病、雪霉叶枯病等大部分病害有更好的防效。

24、一种防治柠檬煤烟病的杀菌组合物
氟唑菌酰羟胺+蛇床子素/苦参碱
申请公布号:CN118160737A
申请人:广西壮族自治区亚热带作物研究所(广西亚热带农产品加工研究所)
专利摘要:本发明属于柠檬煤烟病防治技术领域,具体涉及一种防治柠檬煤烟病的杀菌组合物。一种防治柠檬煤烟病的杀菌组合物,所述防治柠檬煤烟病的杀菌组合物由氟唑菌酰羟胺和蛇床子素组成,或由氟唑菌酰羟胺和苦参碱组成;其中,所述氟唑菌酰羟胺和蛇床子素的增效质量比为1-8:20-1;所述氟唑菌酰羟胺和苦参碱的增效质量比为1-7:9-1。本发明将氟唑菌酰羟胺和其他杀菌活性成分蛇床子素、苦参碱进行复配,与单一成分相比可以提高对柠檬煤烟病的防治效果;同时,还可以降低单一杀菌成分的抗药性风险,这对开发直接防控柠檬煤烟病的杀菌剂具有重要意义。
25、一株贝莱斯芽孢杆菌F046、其微生物菌剂及其应用
申请公布号:CN118222458A
申请人:青岛农业大学
专利摘要:本发明公开了一种贝莱斯芽孢杆菌F046、其微生物菌剂及其应用,该菌株F046被保藏于中国微生物菌种保藏管理委员会普通微生物中心,保藏登记号:CGMCC No.27763。菌株F046对葡萄白绢病具有良好防治效果且对多种经济作物病害病原菌具广谱拮抗性,可广泛应用在经济作物的病害防治中。所述微生物菌剂的活性成分包括前述的贝莱斯芽孢杆菌F046。上述贝莱斯芽孢杆菌F046及其微生物菌剂不仅可应用在植物病害的防治、多种致病病原菌的抑制上,还可应用于促进植物生长方面,其应用绿色环保,有利于减少化学农药和肥料的使用,具有广泛的应用前景。
26、多杀菌素农药组合物
多杀菌素+…
申请公布号:CN118215397A
申请人:特瑞美睿股份有限公司
专利摘要:提供了农药组合物,其包含多杀菌素活性成分和能够溶解该多杀菌素活性成分的水杨酸酯溶剂。所述农药组合物可包含乳剂和/或乳油(EC)并且可包含乳化剂。所述农药组合物可包含载体油(例如中性油)例如来限制由水杨酸酯溶剂诱导的潜在植物毒性。所述农药组合物可包含可溶解在水杨酸酯溶剂和/或载体油中的油溶性饱和或不饱和脂族酸。所述农药组合物可包含一种或更多种稀释剂、芳香添加剂、紫外光阻断剂和/或其他添加剂。所述农药组合物可包含多杀菌素活性成分与水杨酸酯溶剂的溶液剂、乳剂、乳油和/或任何其他合适的组合物。
27、5-((2-Br苄基)硫代)-3-脱氢枞基-1H-1,2,4-三唑的合成及应用
申请公布号:CN118206502A
申请人:西北农林科技大学
专利摘要:本发明公开了一种5‑((2‑Br苄基)硫代)‑3‑脱氢枞基‑1H‑1,2,4‑三唑的合成及应用,其结构式如式1所示。本发明5‑((2‑Br苄基)硫代)‑3‑脱氢枞基‑1H‑1,2,4‑三唑是基于巯基改性制备而成的化合物,是一种全新的化合物,制备过程安全简易、制备周期短、产率高;对苹果腐烂真菌具有较好的抑制效果,为植物源农药的研发和创制提供了科学的依据。

28、杀菌组合物、含有其的制剂和应用
哈茨木霉菌DS‑10+撕裂蜡孔菌GXMS1
申请公布号:CN118203023A
申请人:安徽丰乐农化有限责任公司
专利摘要:本发明公开了一种杀菌组合物、含有其的制剂和应用,所述杀菌组合物的活性成分为哈茨木霉菌DS‑10与撕裂蜡孔菌GXMS1,所述哈茨木霉菌DS‑10与撕裂蜡孔菌GXMS1的孢子浓度比为(1~29):(1~21)。本发明还提供了含有该杀菌组合物的农药制剂,该杀菌组合物和农药制剂在防治小麦霜霉病上具有优异的效果,减少了常规化学药剂的用量,减缓抗性产生,安全性较高,对环境无污染风险,从而为小麦霜霉病的防治提供了新的生物药剂。
29、一种含植物源活性成分的杀菌剂
藁本内酯+氟吡菌酰胺/苯醚甲环唑
申请公布号:CN118203007A
申请人:刘敏洁
专利摘要:本发明属于农药技术领域,具体涉及一种含植物源活性成分的杀菌剂。一种含植物源活性成分的杀菌剂,其活性成分由藁本内酯与氟吡菌酰胺或苯醚甲环唑以1‑80:80‑1的质量比复配而成。本发明将植物活性成分藁本内酯与化学活性成分氟吡菌酰胺或苯醚甲环唑复配时,共毒系数大于120,表现为增效作用,可以提高对农作物真菌性病害的防治效果,有利于降低农药的使用量;同时,可以延缓农作物真菌性病害病原菌的抗药性产生和发展,进而可以降低抗药性风险。
30、用于防治玉米白斑病的杀菌组合物、制剂及其应用
三氟吡啶胺+叶菌唑
申请公布号:CN118203008A
申请人:安徽丰乐农化有限责任公司
专利摘要:本发明公开了一种用于防治玉米白斑病的杀菌组合物、制剂及其应用,该杀菌组合物包括三氟吡啶胺和叶菌唑,其对于防治高粱附球菌浸染引起的玉米白斑病具有明显的协同效果。此外,本发明还公开了一种含有上述杀菌组合物的制剂,其在保证药剂防治玉米白斑病药效的同时,能够极大降低农药有效活性成分的使用量,从而让效果最大化,环境风险降到最低,且作物无药害症状。
31、一种苯醚间酰胺类化合物及其应用
申请公布号:CN118184577A
申请人:山东省农药科学研究院
专利摘要:本发明公开一种苯醚间酰胺类化合物及其应用,属于农用杀菌剂领域,该化合物结构如通式I所示:,本发明以作物常见病害的致病菌黄瓜灰霉病菌、水稻纹枯病菌、水稻稻瘟病菌、小麦赤霉病菌、番茄早疫病菌、油菜菌核病菌等病原菌为测试靶标,开展新型化合物的生物活性筛选研究。结果表明,22个新化合物在低浓度剂量下对6种病原真菌的抑制效果突出。

32、联苯三氟乙硫醚化合物及其应用
申请公布号:CN118164880A
申请人:沈阳中化农药化工研发有限公司; 江苏扬农化工股份有限公司
专利摘要:本发明提供一种对植物病虫害具有优异防治效力的化合物,具体涉及一种式I所示的联苯三氟乙硫醚化合物及其应用。式I化合物具有优异的杀螨和杀菌活性,可用于防治各种害螨和病菌。

33、一种噻唑肟醚类化合物及其用途
申请公布号:CN118164922A
申请人:沈阳中化农药化工研发有限公司; 江苏扬农化工股份有限公司
专利摘要:本发明公开了一种结构新颖的噻唑肟醚类化合物,结构如通式I所示,式中各取代基的定义见说明书。通式I化合物具有优异的生物活性,对植物细菌病害和真菌病害具有良好的防治效果,同时对农业害虫也具有良好杀虫活性,本发明包括通式I化合物在农业和其它领域中用作杀菌剂和杀虫剂用途。

34、一种硫代酰胺类化合物及其用途
申请公布号:CN118164881A
申请人:沈阳中化农药化工研发有限公司; 江苏扬农化工股份有限公司
专利摘要:本发明公开了一种结构新颖的硫代酰胺类化合物,结构如通式I所示,式中各取代基的定义见说明书。通式I化合物具有优异的杀菌活性,对植物细菌病害和真菌病害具有良好的防治效果,本发明包括通式I化合物在农业和其它领域中用作杀菌剂的用途。

35、一种含有联苯吡菌胺的农药组合物及其应用
氟唑环菌胺+…
申请公布号:CN118160745A
申请人:安徽省四达农药化工有限公司
专利摘要:本发明公开了一种含有联苯吡菌胺的农药组合物及其应用,属于农药生产技术领域。所述农药组合物包括质量份为5~10%的氟唑环菌胺和1~5%的改性银桶助剂。本发明通过设计构建的改性银通过与氟唑环菌胺的复配,在低浓度下二者协同增效,实现了高杀菌性能,同时还意外地发现二者的协同增效实现了本发明农药组合物的杀菌时效的延长,这对通过减少农药使用次数来降低农药带来的环境污染具有实际应用价值。
36、含氮杂环结构的吡咯并[2,3-d]嘧啶类化合物及制备方法与应用
申请公布号:CN118146226A
申请人:贵州大学
专利摘要:本发明涉及药物化学技术领域,具体涉及含氮杂环结构的吡咯并[2,3‑d]嘧啶类化合物及制备方法与应用。具体技术方案为:该化合物是以吡咯并[2,3‑d]嘧啶结构为先导化合物,引入含氮杂环片段,合成含氮杂环结构的吡咯并[2,3‑d]嘧啶类化合物。该类化合物对植物病原细菌如水稻白叶枯病菌、柑橘溃疡病菌、猕猴桃溃疡病菌、烟草青枯病菌,对真菌性病害如葡萄座腔菌、尖孢镰刀菌、茄病柱盘孢菌、胶孢炭疽菌、茶树炭疽菌、高粱刺盘孢菌、烟草赤星病菌、茄子黄萎病菌、辣椒枯萎病菌、烟草枯萎病菌和烟草镰刀根腐病菌具有优异的抑制效果,为新农药的研发和创制提供重要的科学基础。
37、农药组合物及其在防治真菌病害中的应用
氯吲哚酰肼+春雷霉素
申请公布号:CN118120753A
申请人:山东京博农化科技股份有限公司
专利摘要:本发明涉及一种农药组合物及其在防治真菌病害中的应用,涉及农药领域,所述农药组合物包括氯吲哚酰肼和春雷霉素,氯吲哚酰肼和春雷霉素的重量比为1:10~10:1。优选地所述真菌病害为番茄叶霉病。本发明的氯吲哚酰肼与春雷霉素在一定比例范围内对番茄叶霉病防治具有协同增效作用。春雷霉素与氯吲哚酰肼复配,减少了农药使用量,降低了使用成本、减轻了对环境的污染、延缓了病害抗药性的产生、增加了农药的使用寿命。
38、一种大环内酯类化合物及其制备方法和应用
申请公布号:CN118108776A
申请人:中国热带农业科学院热带生物技术研究所; 海南大学;桂林医学院
专利摘要:本发明公开了一种大环内酯类化合物及其制备方法和应用,属于天然产物及生物农药技术领域。所述大环内酯类化合物具有式1所示结构。所述大环内酯类化合物为本发明首次发现和制备得到。本发明所述大环内酯类化合物对香蕉枯萎病菌4号小种(Foc TR4)具有显著的抑制活性,可作为香蕉枯萎病化学防治药物先导化合物。本发明为制备防治香蕉枯萎病菌的天然抗菌剂提供了新思路。
