1.一种丁硫残杀威的合成方法
申请公布号:CN118324677A
申请人:江苏三吉利化工股份有限公司
专利摘要:本发明公开了一种丁硫残杀威的合成方法,属于杀虫剂技术领域,合成方法过程如下:首先由一氯化硫合成双二正丁胺二硫,然后,双二正丁胺二硫再与磺酰氯反应生成二正丁胺基氯化硫,最后,二正丁胺基氯化硫与残杀威反应合成丁硫残杀威。本发明提供的合成方法具有步骤简单、污染小、纯度高等优点,同时,本发明进一步改进了二正丁胺基氯化硫与残杀威反应合成丁硫残杀威过程中杂质残杀威的脱除工艺,进一步提高了丁硫残杀威的纯度,具体的,本发明利用磁性分子印记的方法自制了磁性除杂颗粒,将磁性除杂颗粒进行粗品中残杀威的脱除,能显著提升产品纯度。
2.一种防控草地贪夜蛾的复合杀虫剂及筛选方法
甲维盐+虫螨腈
申请公布号:CN118318841A
申请人:河南省科学技术交流中心
专利摘要:本发明提供了一种防控草地贪夜蛾的复合杀虫剂及筛选方法,涉及害虫化学防治技术领域。本发明通过浸叶法室内测定不同种类化学农药和生物农药对草地贪夜蛾的防治效果,筛选出单药剂毒力最好的,然后采用共毒因子法和共毒系数法相结合的复配方法,筛选得到增效作用的防控草地贪夜蛾的复合杀虫剂。本发明提供的复合杀虫剂为配比为1-5:1-5的甲维盐和虫螨腈组成,所述复合杀虫剂毒力效果最好,是防治草地贪夜蛾的理想复配药剂。
3.一种防治芋田红蜘蛛且含苦参碱的杀虫组合物
乙唑螨腈+苦参碱
申请公布号:CN118303416A
申请人:广西壮族自治区农业科学院
专利摘要:本发明属于农药技术领域,具体属于一种防治芋田红蜘蛛且含苦参碱的杀虫组合物。一种防治芋田红蜘蛛且含苦参碱的杀虫组合物,其由乙唑螨腈和苦参碱二元复配而成。本发明杀虫组合物中乙唑螨腈和苦参碱杀虫机理不同,复配施用时,可以从不同的作用位点作用于害虫,有利于降低抗性风险,延缓害虫抗药性产生。另外,本发明杀虫组合物中乙唑螨腈和苦参碱复配时,在一定质量比范围内对芋田红蜘蛛的共毒系数高于120,具有显著的增效作用,可以提高对红蜘蛛的防除效果,有利于减少农药的施用剂量,降低农药残留和防治成本,可以为开发新型药剂提供支持。
4.一种防治芋田红蜘蛛且含环氧虫啶的杀虫组合物
乙唑螨腈+环氧虫啶
申请公布号:CN118303417A
申请人:广西壮族自治区农业科学院
专利摘要:本发明属于农药技术领域,具体属于一种防治芋田红蜘蛛且含环氧虫啶的杀虫组合物。一种防治芋田红蜘蛛且含环氧虫啶的杀虫组合物,其由乙唑螨腈和环氧虫啶二元复配而成。本发明杀虫组合物中乙唑螨腈和环氧虫啶的杀虫机理不同,复配施用时,可以从不同的作用位点作用于害虫,有利于降低抗性风险,延缓害虫抗药性产生。另外,本发明杀虫组合物中乙唑螨腈和环氧虫啶复配时,在一定质量比范围内对芋田红蜘蛛的共毒系数高于120,具有显著的增效作用,可以提高对红蜘蛛的防除效果,有利于减少农药的施用剂量,降低农药残留和防治成本,可以为开发新型药剂提供支持。
5.一种复合型呋虫胺·唑虫酰胺悬浮剂及其制备方法
呋虫胺+唑虫酰胺
申请公布号:CN118303421A
申请人:山东邹平农药有限公司
专利摘要:本申请涉及农药技术领域,具体公开了一种复合型呋虫胺·唑虫酰胺悬浮剂及其制备方法。一种复合型呋虫胺·唑虫酰胺悬浮剂包括如下重量份原料:呋虫胺10-30份、唑虫酰胺20-45份、丙烯酸酯2-4份、分散剂5-10份、防腐剂0.05-0.1份、抗氧化剂0.5-0.8份;其制备方法为:取呋虫胺和唑虫酰胺混合均匀得到混合粉末;将分散剂、防腐剂和抗氧化剂溶解于适量水中,得到混合溶液;将混合粉末与丙烯酸酯缓慢倒入混合溶液中,高速搅拌;将得到的悬浮液进行均质化处理,调整悬浮液的pH至5-7,将调整pH后的悬浮液过滤、灌装、密封。本申请的组合物可用于防治飞虱、跳甲、蚜虫、蓟马、斑潜蝇等多种害虫,具有防治效果好的优点。
6.含三氟吡啶胺和氨基寡糖素的高效杀线虫剂组合物及应用
三氟吡啶胺+氨基寡糖素
申请公布号:CN118303409A
申请人:好品(山东)纳米科技有限公司
专利摘要:本发明(CN118303409A)涉及一种杀线虫组合物,属于农药技术领域,该杀线虫组合物的有效成分(活性成分)含有三氟吡啶胺与氨基寡糖素,活性质量比为5:1~1:5。该杀线虫组合物中有效成分百分含量为1~60%。本发明组合物适用范围增加,适用于防治禾谷类、瓜果或蔬菜作物根结线虫。
7.含三氟吡啶胺和氟噻虫砜的高效杀线虫剂组合物及应用
三氟吡啶胺+氟噻虫砜
申请公布号:、CN118303412A
申请人:好品(山东)纳米科技有限公司
本发明(CN118303412A)涉及一种含三氟吡啶胺和氟噻虫砜的高效杀线虫剂组合物及应用,属于农药技术领域,所述组合物有效成分包括三氟吡啶胺与氟噻虫砜,且三氟吡啶胺与氟噻虫砜的重量比为5:1~1:5,本发明高效杀线虫剂组合物适用范围广、成本低、效果好。
8.一种含氟吡菌酰胺与三唑磷的防治线虫的农药组合物
氟吡菌酰胺+三唑磷
申请公布号:CN118303423A
申请人:山东农业大学
专利摘要:本发明属于农药技术领域,涉及一种防治根结线虫病的农药组合物。有效成分为氟吡菌酰胺与三唑磷,所述氟吡菌酰胺与三唑磷的质量比为1:19-19:1。本发明以氟吡菌酰胺与三唑磷为有效成分进行复配,对防治根结线虫具有明显的增效作用,这种作用尚未见报道。含有该组合物的制剂产品可提高对根结线虫病的防效,具有开发潜力。氟吡菌酰胺与三唑磷的作用机制不同,持效期长,可减少用药次数,并可延缓抗药性的产生。主要用于防治蔬菜及其他作物的根结线虫病。
9.一种农药组合物及其应用
唑虫烟酰胺+嗪虫唑酰胺/双噻唑虫/吲唑虫酰胺/氟虫碳酸酯
申请公布号:CN118285388A
申请人:江西海阔利斯生物科技有限公司
专利摘要:本发明属于农药杀虫杀螨技术领域,公开了一种农药组合物及其应用,所述的农药组合物包含活性成分A和活性成分B,所述的活性成分A为nicofluprole,所述活性成分B为dimpropyridaz、fenmezoditiaz、indazapyroxamet或flometoquin中的任一种。所述的活性成分A与活性成分B的质量比为1:30~30:1。本发明的农药组合物对植物害虫及害螨具有优异的防治效果,对作物安全。
10.一株阿氏普利斯特氏菌HN02及其在防治植物根结线虫病中的应用
申请公布号:CN118291324A
申请人:中国农业科学院烟草研究所(中国烟草总公司青州烟草研究所)
专利摘要:本发明提供了一株阿氏普利斯特氏菌HN02及其应用,其命名为阿氏普利斯特氏菌HN02(Priestiaaryabhattai),其保藏编号为CGMCC NO.28379。该菌株对根结线虫二龄幼虫及卵有很好毒杀效果,是对植物寄生线虫具有高毒力的生防菌株,不但丰富植物寄生线虫生防菌资源,更重要的是对开发杀线虫绿色农药或药肥具有十分重要的意义。
11.一种取代的苯酰胺异噁唑啉化合物和包含取代的苯酰胺异噁唑啉化合物制剂用于防治害螨、降低害螨繁殖力的用途
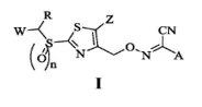
申请公布号:CN118290356A
申请人:海利尔药业集团股份有限公司
专利摘要:本发明属于农药技术领域,具体涉及了一种取代的苯酰胺异噁唑啉化合物用于防治害螨、降低害螨繁殖力的用途,所述的取代的苯酰胺异噁唑啉化合物为具有式(1)结构的化合物:所述的式(I)化合物对害螨具有优异的防治效果,且对作物和捕食螨安全。

12.用于农业和园艺应用的有害生物防除剂组合物和应用该组合物的方法
申请公布号:CN118266473A
申请人:日本农药株式会社
专利摘要:本发明涉及用于农业和园艺应用的有害生物防除剂组合物和应用该组合物的方。本发明提供用于防除有害生物的农业园艺剂组合物,其能够有效地防除难于通过用单一活性成分处理而防除的有害生物。本发明的农业园艺有害生物防除剂包含由下式[1]表示的化合物(I):或其盐、和选自化合物(l)以外的农业园艺剂的一种或多种化合物。

13.一种含四氯虫酰胺的杀虫组合物及其用途
四氯虫酰胺+氟噁唑酰胺/异噁唑虫酰胺
申请公布号:CN118252149A
申请人:沈阳中化农药化工研发有限公司;江苏扬农化工股份有限公司
专利摘要:发明CN118252149A属于杀虫剂领域,涉及一种含四氯虫酰胺的杀虫组合物及其用途。组合物为按重量份数比为1:80-80:1的活性成分A和活性成分B,所述的活性成分A选自四氯虫酰胺,活性成分B选自氟噁唑酰胺或异噁唑虫酰胺。本发明杀虫组合物具有明显增效作用,可以减少施用量,降低使用成本,本发明组合物两种化合物作用机制不同,两者复配能够在一定程度上缓解害虫抗药性的发生和发展。
14.一种含四氯虫酰胺的杀虫组合物及其用途
四氯虫酰胺+溴虫氟苯双酰胺
申请公布号:CN118252150A
申请人:沈阳中化农药化工研发有限公司;江苏扬农化工股份有限公司
发明CN118252150A属于杀虫剂领域,涉及一种含四氯虫酰胺的杀虫组合物及其用途。组合物为按重量份数比为1:80-80:1的活性成分A和活性成分B,所述的活性成分A选自四氯虫酰胺,活性成分B选自溴虫氟苯双酰胺。本发明杀虫组合物具有明显增效作用,可以减少施用量,降低使用成本,本发明组合物两种化合物作用机制不同,两者复配能够在一定程度上缓解害虫抗药性的发生和发展。
15.一种N-取代的苯基吡唑衍生物及其制备和应用
申请公布号:CN118221639A
申请人:顺毅股份有限公司
专利摘要:本发明涉及一种N-取代的苯基吡唑衍生物及其用途。具体地,本发明涉及作为N-取代的苯基吡唑衍生物的式(1)化合物或其同位素标记化合物、或其光学异构体、几何异构体、互变异构体或异构体混合物、或其农药学上可接受的盐,以及所述化合物在制备用于害虫防治的杀虫剂中的用途。此类化合物能够以更低的剂量达到更好的害虫防治效果,特别是针对鳞翅目、鞘翅目、同翅目、半翅目、缨翅目、等翅目、双翅目、膜翅目、食毛目、虱目、直翅目、蜚蠊目、蚤目、蜱螨目、线虫纲等害虫。
16.一种增效复配卫生杀虫组合物及其应用
一种胡椒酸衍生物类化合物+残杀威
申请公布号:CN118216513A
申请人:江苏扬农化工股份有限公司
专利摘要:本发明公开了一种增效复配卫生杀虫组合物及其应用,活性成分总含量为2%-70%,余量为助剂;活性成分由活性成分A和活性成分B组成,活性成分A为胡椒酸衍生物类化合物,活性成分B为残杀威;活性成分A、B的重量比的重量比为15:1~1:15;卫生杀虫组合物的剂型为悬浮剂、油悬浮剂、悬浮乳剂、微囊悬浮-悬浮剂、干悬浮剂、可湿性粉剂和水分散粒剂。本发明中的卫生杀虫组合物,一方面环境相容性好,降低了农药使用量,另一方面从作用机制来看,活性成分A、B的作用机制不同,不存在交互抗性,提高了防效,两者不同作用机理的杀虫剂复配也能延缓害虫抗药性,有利于害虫的抗性治理。
17.一种含Pyflubumide的农药组合物
Pyflubumide+氟菌螨酯/三氟杀线酯
申请公布号:CN118216512A
申请人:江西海阔利斯生物科技有限公司
专利摘要:本发明属于农药技术领域,涉及一种含Pyflubumide的农药组合物;所述农药组合物的有效成分包含活性成分A和活性成分B;所述活性成分A为Pyflubumide,所述活性成分B选自氟菌螨酯、三氟杀线酯中的任一种。本发明的农药组合物或其制剂能够增强药效、扩大杀螨谱、降低使用成本、减少用药量、延长持效期和延缓抗药性发展。
18.一种含丙溴磷的农药组合物及其应用
下式I化合物+丙溴磷
申请公布号:CN118216501A
申请人:海利尔药业集团股份有限公司
专利摘要:本发明属于农药杀螨技术领域,公开了一种含丙溴磷的农药组合物及其应用,所述的农药组合物活性成分包含式I化合物:(式I)和丙溴磷,所述的式I化合物与丙溴磷的质量比为1:45~50:1;本发明的所述的农药组合物对农作物常见害螨具有优异的增效作用,杀螨效果显著,能够有效降低农药的使用剂量,减缓害螨抗药性发展。

19.一种含氟铃脲的水产杀虫剂及其应用
氟铃脲+香芹酚
申请公布号:CN118217268A
申请人:湖南坤源生物科技有限公司
专利摘要:本发明属于水产养殖领域,具体涉及一种含氟铃脲的水产杀虫剂及其应用,包含活性成分和增效剂;所述活性成分为氟铃脲,所述增效剂为香芹酚;活性成分和增效剂的质量配比为5-25:1-5。氟铃脲中添加增效剂香芹酚,可以显著提升氟铃脲对锚头鳋的防治效果;特别是氟铃脲与香芹酚的质量配比为10:1时,防效进一步增强。药剂对鱼类安全,没有出现药害。
20.一种含甲氨基阿维菌素苯甲酸盐杀螨剂农药组合物
甲维盐+氯唑螨酯
申请公布号:CN118203013A
申请人:浙江省化工研究院有限公司;中化蓝天集团有限公司
专利摘要:本发明公开了一种含有A、B两种活性成分的杀螨组合物,活性成分A为甲氨基阿维菌素苯甲酸盐,活性成分B为氯唑螨酯,且A、B两种活性组分之间的重量比为1~50:50~1。本发明还提供了一种含有所述杀螨组合物的农药制剂。本发明提供的杀螨组合物和农药制剂适合于防治农作物中常见的害螨,在速效性和持效性方面均优于单剂,且降低了农药的使用剂量和用药成本,有利于环境保护和农业害螨的综合治理。
21.一种含甲氰菊酯农药组合物及其应用
甲氰菊酯+氯唑螨酯
申请公布号:CN118203015A
申请人:浙江省化工研究院有限公司;中化蓝天集团有限公司
专利摘要:本发明公开了一种含有A、B两种活性组分的杀螨组合物,活性组分A为甲氰菊酯,活性组分B为氯唑螨酯,且A、B两种活性组分之间的重量比为1~50:50~1。本发明还提供了一种含有所述杀螨组合物的农药制剂。本发明提供的杀螨组合物和农药制剂适合于防治农作物中常见的害螨,在速效性和持效性方面均优于单剂,且降低了农药的使用剂量和用药成本,有利于环境保护和农业害螨的综合治理。
22.一种2-硫醚-4-氨基取代嘧啶类衍生物及其制备和应用
申请公布号:CN118206494A
申请人:沈阳中化农药化工研发有限公司
专利摘要:本发明属于杀虫剂、杀螨剂领域,具体涉及一种2-硫醚-4-氨基取代嘧啶类衍生物及其制备和应用。如通式I所示,式中各取代基团定义见说明书。通式化合物I具有优异的杀虫、杀螨活性,可用于防治虫害、螨害。式中各取代基团的定义见说明书。

23.一种S-烯虫酯水分散体制剂及其制备方法和应用
申请公布号:CN118203001A
申请人:湖北中烟工业有限责任公司
专利摘要:本发明涉及生物杀虫剂的技术领域,具体涉及一种S-烯虫酯水分散体制剂及其制备方法和应用,所述制备方法,包括以下步骤:S1.将S-烯虫酯与载体在醇溶剂中完全溶解制备醇相;S2.将水溶性助剂在水中完全溶解或分散制备水相;S3.在搅拌的条件下,将所述醇相加到所述水相中,除去体系中的醇后得到S-烯虫酯水分散体制剂;其中,所述步骤S1中的所述载体包括醇溶性聚合物;所述步骤S2中的所述水溶性助剂包括水溶/分散聚合物。本发明通过使S-烯虫酯以微小颗粒的形式均匀的分散于水中,从而能够得到绿色安全、制备简单、分散性和稳定性俱佳、具有缓释效果、有效成分利用率高的S-烯虫酯水分散体制剂。
24.一种含有印楝素与鱼藤酮的生物农药杀虫组合物
印楝素+鱼藤酮
申请公布号:CN118177209A
申请人:海南博士威生物科技有限公司
专利摘要:本发明涉及一种含有印楝素与鱼藤酮的植物提取物的生物农药杀虫组合物,其有效成分为印楝素、鱼藤酮,二者配比为(1~3):(3~9)。本发明以鱼藤酮、鱼藤酮为有效成分的复配杀虫剂具有明显的增效作用,速效性和持效性良好,有效成分用药量较少,降低了生产成本和使用成本,特别适用于防治蚜虫。
25.一种用于防治红火蚁的增效组合物及应用
溴虫氟苯双酰胺+呋虫胺
申请公布号:CN118177213A
申请人:中国农业科学院植物保护研究所
专利摘要:本发明涉一种用于防治红火蚁的增效组合物及毒饵诱杀剂应用,其有效成分为溴虫氟苯双酰胺和呋虫胺二元复配,其中溴虫氟苯双酰胺和呋虫胺的质量比为1:20~20:1,其余为辅助成分。本发明所述杀虫组合物的剂型为毒饵诱杀剂,本发明涉及的一种毒饵诱杀剂的组分和各组分质量占比为:药剂1:0.005%-0.1 %;药剂2:0.005 %-0.1 %;豆油:5%-10%;白糖:0.5%-2.0%;米醋:1.5%-6%;玉米粒:900g。本发明主要用于防治红火蚁。本发明具有显著的增效作用,杀虫活性比单剂明显增强,减少了农药用药量,减轻了环境污染。
26. 一种活性复配杀虫剂及其在抗虫害中的用途
异落叶松树脂醇+阿维菌素/氟硅菊酯
申请公布号:CN118177211A
申请人:河南省拜欧农业科技有限公司
专利摘要:本发明属于农药杀虫剂技术领域,具体涉及一种活性复配杀虫剂及其在抗虫害中的用途。一种活性复配杀虫剂,所述活性复配杀虫剂的有效成分由异落叶松树脂醇和阿维菌素或氟硅菊酯按1‑100:100‑1的质量比复配而成。本发明将植物源杀虫成分异落叶松树脂醇与阿维菌素或氟硅菊酯进行合理复配,在一定质量比范围内对杀灭靶标害虫表现出增效作用,可以提高对植物害虫的防治效果,有助于降低杀虫剂单位面积的使用量,从而可以在一定程度上缓解环境污染和农药残留的问题,为农业的可持续发展提供支持。而且,将2种杀虫成分进行复配,可以延缓抗虫抗药性产生的速度。
27. 一种含有茚虫威的杀虫组合物
茚虫威+哒螨灵
申请公布号:CN118140917A
申请人:安徽广信农化股份有限公司
专利摘要:本发明公开了一种含有茚虫威的杀虫组合物,属于杀虫剂生产技术领域,本发明提供的杀虫组合物由以下重量份原料组成:15%‑35%茚虫威、15%‑35%哒螨灵、5%‑20%溶剂、2%‑12%表面活性剂、2%‑6%抗冻剂、0.2%‑4%增稠剂和0.1%‑1%消泡剂,余量为纯水。经试验检测,本发明制备的杀虫组合物对茶小绿叶蝉的防效达到98.91%。本发明在制备改性壳聚糖的过程中,首先利用氯乙酸对壳聚糖进行羧甲基化处理,提高所制备的表面活性剂的表面活性,同时,本发明再利用阳离子醚化剂对羧甲基壳聚糖进行阳离子化,制备改性活性剂。经试验检测,本发明制备的杀虫组合物对茶小绿叶蝉的防效达到98.91%。
28. 一种含杀线虫剂的组合物及其用途
一种含有胡椒酸衍生物类化合物+噻唑膦/氟吡菌酰胺/…
申请公布号:CN118160730A
申请人:沈阳中化农药化工研发有限公司; 江苏扬农化工股份有限公司;江苏优嘉植物保护有限公司
专利摘要:本发明公开了一种含有胡椒酸衍生物类化合物的杀虫剂增效组合物及其应用,所述组合物由化合物A和化合物B两种活性成分组成,所述组分B选自杀线虫剂中的任意一种或两种;所述的杀线虫剂包含噻唑膦、氟吡菌酰胺、氯化苦、棉隆、氨基寡糖素、淡紫拟青霉等;所述的化合物I‑72具有如下结构:本发明的组合物具有增效明显、延缓抗性等优点,可用于防治各类线虫病害,并对鳞翅目、缨翅目、双翅目、半翅目等多种害虫有良好的防治作用。
29. 一种含有溴氰虫酰胺和新烟碱类杀虫剂的卫生杀虫组合物
溴氰虫酰胺+新烟碱类杀虫剂
申请公布号:CN118160734A
申请人:江苏扬农化工股份有限公司; 辽宁优创植物保护有限公司
专利摘要:本发明公开了一种含有溴氰虫酰胺和新烟碱类杀虫剂的卫生杀虫组合物,有效成分为溴氰虫酰胺和新烟碱类杀虫剂,按重量计,溴氰虫酰胺和新烟碱类杀虫剂两者占卫生杀虫组合物总重量的2%‑50%,余量为助剂;所述的新烟碱类杀虫剂选自:氟啶虫胺腈、吡虫啉、呋虫胺、啶虫脒、噻虫胺、噻虫啉、烯啶虫胺、噻氯啉和哌虫啶中的任意一种;所述的卫生杀虫组合物的剂型为悬浮剂、油悬浮剂、悬浮乳剂、微囊悬浮‑悬浮剂、可湿性粉剂、水分散粒剂和干悬浮剂。所述的组合物有明显增效,杀虫谱广的特点,能有效防治多种卫生害虫,具有高效、速效、持效期长等优点。此外两者不同作用机理的杀虫剂复配也能延缓抗性产生,为防治卫生害虫提供了一种新的方法。
30. 一种含有倍硫磷的复配杀蚊幼虫组合物及其应用
倍硫磷+呋虫胺/噻虫嗪
申请公布号:CN118140938A
申请人:江苏扬农化工股份有限公司
专利摘要:本发明公开了一种含有倍硫磷的复配杀蚊幼组合物及其应用,活性成分由倍硫磷和呋虫胺或噻虫嗪组成,倍硫磷和呋虫胺的重量比为1:8~8:1,倍硫磷和噻虫嗪的重量比为1:10~10:1;所述的含有倍硫磷的复配杀蚊幼组合物的剂型为颗粒剂,按占颗粒剂总重量的百分比计,由1%~5%的活性成分、1%~5%的液体原药吸附剂、2%~9%的缓释包衣剂(含1%~5%分散剂、0.5%~2%润湿剂、0.5%~2%粘结剂)和余量载体组成。本发明的杀虫剂通过将倍硫磷和呋虫胺或噻虫嗪复配,加工成颗粒剂,用于蚊幼虫防治,致死效果好,持效期长,具有缓释作用,降低了人工成本;可广泛应用于污水沟,下水道等场所,对防治蚊幼虫有特效。
31. 联苯三氟乙硫醚化合物及其应用
申请公布号:CN118164880A
申请人:沈阳中化农药化工研发有限公司; 江苏扬农化工股份有限公司
专利摘要:本发明提供一种对植物病虫害具有优异防治效力的化合物,具体涉及一种式I所示的联苯三氟乙硫醚化合物及其应用。式I化合物具有优异的杀螨和杀菌活性,可用于防治各种害螨和病菌。

32. 一种噻唑肟醚类化合物及其用途
申请公布号:CN118164922A
申请人:沈阳中化农药化工研发有限公司; 江苏扬农化工股份有限公司
专利摘要:本发明公开了一种结构新颖的噻唑肟醚类化合物,结构如通式I所示,式中各取代基的定义见说明书。通式I化合物具有优异的生物活性,对植物细菌病害和真菌病害具有良好的防治效果,同时对农业害虫也具有良好杀虫活性,本发明包括通式I化合物在农业和其它领域中用作杀菌剂和杀虫剂用途。

33. 一种苯并五元杂环类化合物及其应用
申请公布号:CN118164923A
申请人:沈阳中化农药化工研发有限公司; 江苏扬农化工股份有限公司
专利摘要:本发明属于杀虫剂领域,具体涉及一种苯并五元杂环类化合物及其应用。结构如通式I所示,式中各取代基定义见说明书。通式I化合物具有优异的杀虫活性,可用于防治各种害虫。

34. 一种酰胺类化合物及其应用
申请公布号:CN118164924A
申请人:沈阳中化农药化工研发有限公司; 江苏扬农化工股份有限公司
专利摘要:本发明属于杀虫剂领域,具体涉及一种酰胺类化合物及其应用。结构如通式I所示,式中各取代基定义见说明书。通式I化合物具有优异的杀虫活性,可用于防治各种害虫。

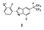
35. 一种2-(7-苯并噻唑基)苯并杂环类化合物及其应用
申请公布号:CN118164976A
申请人:沈阳中化农药化工研发有限公司; 江苏扬农化工股份有限公司
专利摘要:本发明属于杀虫剂领域,具体涉及一种2‑(7‑苯并噻唑基)苯并杂环类及其应用。结构如通式I所示,式中各取代基定义见说明书。通式I化合物具有优异的杀虫活性,可用于防治各种害虫。

36. 一种含三氟杀线酯的农药组合物
下式I化合物+三氟杀线酯
申请公布号:CN118140932A
申请人:潍坊中农联合化工有限公司
专利摘要:本发明涉及含有生物学有效量的化合物I和化合物II的增效组合物,所述化合物II为三氟杀线酯,以及它们用于防治农学和非农学环境中害虫的方法。本发明的增效组合物,具有以下优点:1)具有协同增效作用,可提高防治效果;2)扩大杀虫谱,田间虫害多混合发生,对多种害虫均具有较高活性;3)两种有效成分作用机理不同,混配使用可延缓害虫抗药性的产生;4)降低施药量,减少使用次数,降低使用成本;化合物I结构式如下所示:

37. 一种含喹诺酮类化合物的杀菌杀虫组合物及其应用
申请公布号:CN118140927A
申请人:潍坊中农联合化工有限公司
专利摘要:本发明涉及一种含喹诺酮类化合物的增效组合物及其应用。所述组合物包括有效活性成分,所述有效活性成分包括化合物I和化合物II,所述化合物I为7‑氯‑1‑环丙基‑6‑氟‑4‑氧代‑1,4‑二氢喹啉‑3‑羧酸‑2‑甲氧基乙酯,所述化合物II为杀菌剂和杀虫剂中的一种。本发明的组合物具有以下优点:1)具有协同增效作用,可提高防治效果;2) 扩大杀菌杀虫谱,田间病害多混合发生,化合物I和化合物II混用可兼防作物病害以及虫害,病虫兼防、效果更佳;3)两种有效成分作用机理不同,混配使用延缓病原菌和害虫抗药性的产生;4)降低施药量,减少使用次数,降低使用成本。
38. 一种亚硫酸酯类化合物、其制备方法及其应用
申请公布号:CN118146122A
申请人:山东德瑞克化工科技有限公司
专利摘要:本申请涉及一种亚硫酸酯类化合物、其制备方法及其应用。本申请尤其涉及一种亚硫酸酯类化合物作为杀虫剂和/或杀螨剂的应用,其中所述亚硫酸酯类化合物的结构如式(I)所示,各取代基的定义详见说明书。

39. 一种含有溴虫氟苯双酰胺和嗪虫唑酰胺的农药杀虫剂
溴虫氟苯双酰胺+嗪虫唑酰胺
申请公布号:CN118120752A
申请人:上海沪联生物药业(夏邑)股份有限公司
专利摘要:本发明公开了一种含有溴虫氟苯双酰胺和嗪虫唑酰胺的农药杀虫剂,所述农药杀虫剂包括活性成分,所述活性成分为溴虫氟苯双酰胺和嗪虫唑酰胺;所述溴虫氟苯双酰胺和所述嗪虫唑酰胺的质量比为1:20至20:1。由于特定地选择溴虫氟苯双酰胺、嗪虫唑酰胺进行复配,二者能够产生增效作用,继而使得形成的农药杀虫剂具有良好的杀虫效果,且有较大的防治谱,特别地对于鳞翅目害虫小菜蛾、美国白蛾、双翅目淡色库蚊等害虫都有良好的防治效果。
40. 一种用于防治水稻病虫害的组合物
双丙环虫酯+黄芩素
申请公布号:CN118120756A
申请人:黑龙江省农业科学院水稻研究所
专利摘要:本发明属于农用组合物技术领域,涉及一种用于防治水稻病虫害的组合物。本发明提供了一种用于防治水稻病虫害的组合物,其有效成分由双丙环虫酯和黄芩素构成。本发明试验发现,双丙环虫酯和黄芩素组合后在一定浓度范围内,黄芩素能有效增效双丙环虫酯对水稻常见害虫的防治效果,特别是稻纵卷叶螟。本发明提供了黄芩素作为双丙环虫酯的增效剂,其对害虫没有直接的毒杀效果,但与双丙环虫酯组合使用,可以大幅度降低农药的有效成分用量,充分发挥双丙环虫酯药效,尽可能减缓害虫产生抗药性几率,提高双丙环虫酯的效果,表现出协同增效的作用。
41. 一种含有两种活性组分的增效二元组合物及其应用
申请公布号:CN118104660A
申请人:沈阳中化农药化工研发有限公司; 江苏扬农化工股份有限公司;江苏优嘉植物保护有限公司
专利摘要:本发明属于农药领域,涉及一种含有两种活性组分的增效复配组合物。含有A、B两种活性组分,组分A选自下述结构化合物,组分B选自植物生长调节剂、昆虫引诱剂、趋避剂或其它杀虫剂和无机物;组分A、B两种活性组分的重量份数比为1:50至50:1;本发明组合物具有明显的增效作用,可用于防治多种害虫、害螨。

42. 一种含有两种活性组分的增效复配组合物和应用
申请公布号:CN118104661A
申请人:沈阳中化农药化工研发有限公司; 江苏扬农化工股份有限公司;江苏优嘉植物保护有限公司
专利摘要:本发明属于农药领域,涉及一种含有两种活性组分的增效复配组合物。含有A、B两种活性组分,组分A选自下述结构化合物,组分B选自昆虫生长调节剂类的杀虫、杀螨剂;组分A、B两种活性组分的重量份数比为1:50至50:1;本发明组合物具有明显的增效作用,可用于防治多种害虫、害螨。

43. 一种含有酰胺类杀虫剂的增效复配组合物及其应用
申请公布号:CN118104671A
申请人:沈阳中化农药化工研发有限公司; 江苏扬农化工股份有限公司;江苏优嘉植物保护有限公司
专利摘要:本发明属于农药领域,涉及一种含有两种活性组分的增效复配组合物。含有A、B两种活性组分,组分A选自下述结构化合物,组分B选自酰胺类杀虫剂;组分A、B两种活性组分的重量份数比为1:50至50:1;本发明组合物具有明显的增效作用,可用于防治多种害虫。

44. 一种两种活性组分的增效复配二元组合物及应用
申请公布号:CN118104672A
申请人:沈阳中化农药化工研发有限公司;江苏扬农化工股份有限公司;江苏优嘉植物保护有限公司
专利摘要:本发明属于农药领域,涉及一种含有两种活性组分的增效复配组合物。含有A、B两种活性组分,组分A选自下述结构化合物,组分B选自吡蚜酮(pymetrozine)、氟啶虫酰胺(flonicamid)、双丙环虫酯(afidopyropen)、啶喃环丙虫酯、吡氟喹虫唑(pyrifluquinazon)、三氟苯嘧啶(triflumezopyrim)、fluhexafon、benzpyrimoxan、tyclopyrazoflor;组分A、B两种活性组分的重量份数比为1:50至50:1;本发明组合物具有明显的增效作用,可用于防治多种害虫。
45. 一种含有菊酯类杀虫剂的增效复配组合物及其应用
申请公布号:CN118104673A
申请人:沈阳中化农药化工研发有限公司;江苏扬农化工股份有限公司;江苏优嘉植物保护有限公司
专利摘要:本发明属于农药领域,涉及一种含有两种活性组分的增效复配组合物。含有A、B两种活性组分,组分A选自下述结构化合物,组分B选自拟除虫菊酯类杀虫剂;组分A、B两种活性组分的重量份数比为1:50至50:1;本发明组合物具有明显的增效作用,可用于防治多种害虫、害螨。

46. 一种含氨基甲酸酯类杀虫剂的增效组合物及其应用
申请公布号:CN118104674A
申请人:沈阳中化农药化工研发有限公司; 江苏扬农化工股份有限公司;江苏优嘉植物保护有限公司
专利摘要:本发明属于农药领域,涉及一种含有氨基甲酸酯类杀虫剂的增效复配组合物。含有A、B两种活性组分,组分A选自化合物I‑72,组分B选自氨基甲酸酯类的杀虫、杀螨剂;组分A、B两种活性组分的重量份数比为1:99至99:1;其中,化合物I‑72结构式如下,本发明组合物具有明显的增效作用,可用于防治多种害虫、害螨。

47. 一种烷基磺酰基苯并咪唑类化合物的制备方法与应用
申请公布号:CN118108680A
申请人:广东方中高新材料有限公司
专利摘要:本发明公开了一种烷基磺酰基苯并咪唑类化合物或其盐及其在农药中的应用,属于农药杀虫、杀螨领域。本发明解决的技术问题是提供一种可以在农药中作为杀虫剂尤其是杀螨剂的新化合物。该化合物的结构式通式为式Ⅰ所示。该化合物结构新颖,合成简单,原料廉价来源广泛,有极好的杀虫性能尤其是杀螨性能,尤其是在将本发明的烷基磺酰基苯并咪唑类化合物,进行两个或以上搭配使用时,即使在很低的施药量的情况下,也能具有高效的杀虫杀螨效果。式Ⅰ。
48. 含氟噁唑酰胺的杀虫组合物、杀虫农药及应用
氟噁唑酰胺+虱螨脲/氟铃脲/除虫脲
申请公布号:CN118104680A
申请人:泰安市农业科学院(山东省农业科学院泰安市分院)
专利摘要:本发明公开了一种含氟噁唑酰胺的杀虫组合物、杀虫农药及应用,属于杀虫农药技术领域。本发明含氟噁唑酰胺的杀虫组合物为氟噁唑酰胺和虱螨脲、氟噁唑酰胺和氟铃脲、氟噁唑酰胺和除虫脲中的一种组合。本发明的杀虫组合物中氟噁唑酰胺和苯甲酰脲类杀虫剂的作用机理完全不同,复配可对害虫协同增效,提高防效,降低农药使用量,延缓抗药性的产生,降低抗性风险。将本发明的组合物制备成农药制剂,可用于蔬菜、果树等园艺作物、玉米、棉花、水稻等大田作物的鳞翅目害虫和刺吸式口器害虫的防治。
49. 一种吡唑啉-1,3,4-噁二唑硫代乙酰胺衍生物的制备方法及其作为杀虫剂的应用
申请公布号:CN118126030A
申请人:贵州大学
专利摘要:本发明公开了一种结构新颖的吡唑啉‑1,3,4‑噁二唑硫代乙酰胺类化合物及其制备方法和作为农用杀虫剂的应用,其结构如通式Ⅰ所示。式中,通式I中,R1选择H、乙酰基、C1~C3烷基;R2选自H、卤素、卤代烷基、硝基、甲基,且可单个或多个在苯环上任意位置取代;Z选自于C1‑C10的烷胺基、C1‑C4的卤代烷胺基、取代芳胺基。通式I所示的化合物具有防治农业害虫的作用,可以用来防治小菜蛾、草地贪夜蛾等农业重大害虫。