提示
×
取消
确定
当前位置:首页 > 专利专论
四唑虫酰胺等四唑类化合物在农药领域的应用研究进展
来源:《化学工程师》2025,(11)   发布时间:2025-11-28 10:02
简述
本文按四唑类化合物的农药生物活性进行分类,综述了四唑类化合物在杀菌、除草、杀虫和杀螨、植物生长调节剂方面的应用,并对该类化合物的发展趋势进行了展望。01 基本信息四唑是一类四氮五元杂环化合物,其环上氮原子分布只有一种形式:1,2,3,4-四唑(I),此外,还有衍生结构——四唑啉酮(II),它们的结构式见图1。

本文按四唑类化合物的农药生物活性进行分类,综述了四唑类化合物在杀菌、除草、杀虫和杀螨、植物生长调节剂方面的应用,并对该类化合物的发展趋势进行了展望。


01 基本信息


四唑是一类四氮五元杂环化合物,其环上氮原子分布只有一种形式:1,2,3,4-四唑(I),此外,还有衍生结构——四唑啉酮(II),它们的结构式见图1。


微信图片_2025-11-28_100358_983.jpg


图1 四唑的结构式


四唑基因含有氮原子,有一定酸性,其可作为杂环吡唑、三氮唑的生物电子等排体,由于合成有一定难度,直至20世纪中叶,在有机化学领域,合成的含四唑类化合物仅有300余种。在20世纪冷战时期,四唑类化合物因其含有多个氮原子,可以短时间内释放大量能量,主要应用于多种类型炸药,如火炸药、高能炸药等。


目前,国内外农药公司近十年来开发出含四唑的农药品种,涉及杀菌,除草和杀虫领域,这些企业的创制新农药思路主要还是将四唑基团引入一些药效团化合物中,而以四唑类化合物作为药效团的农药品种较少。目前已在国外取得登记的如拜耳公司的杀虫剂——四唑虫酰胺;日本拜耳化学开发的水稻田除草剂——四唑酰草胺和曹达株式会社的新颖杀菌剂——四唑吡氨酯。其结构式见图2。


微信图片_2025-11-28_100402_520.jpg


图2 含有四唑结构的农药


在除草剂方面,四唑酰草胺最初是由北兴化学株式会社设计和合成,属于四唑啉酮类,后主要由日本拜耳作物科学深入开发和销售。该品种是目前唯一一种以四唑基为药效团的农药,主要用于防除水稻田杂草的一年生禾本科杂草,对抗性稗草或马唐有较好防治效果,使用剂量在250~300g·hm-2,该药已于2000年上市,制剂为可湿性粉剂。


该药已于1994年2月25日在中国申请了化合物专利,即CN1045958C,专利名称为“四唑啉酮类化合物及其制备方法、含其的除草组合物和其作为除草剂的用途”,已于2014年到期,目前国内还没有该化合物的原药登记。


在杀菌剂方面,日本曹达株式会社开发的杀菌剂picarbutrazox,中文通用名:四唑吡氨酯,用于防治卵菌纲真菌引起的病害,应用于园艺、瓜果和蔬菜等经济作物领域,尤其对番茄等蔬菜上的霜霉病、疫霉病和腐霉病,具有卓越的防效。picarbutrazox与琥珀酸脱氢酶抑制剂,甲氧基丙烯酸酯类杀菌剂无交互抗性,用于叶面喷施和种子处理,目前其作用机理尚不明确,FRAC杀菌剂抗性委员会将其归为U17类,该品种在国内已取得原药与制剂登记。


02 不同药效的四唑类化合物


——具有杀菌活性的四唑类化合物


住友化学株式会社报道了一类将吡唑醚菌酯的吡唑醇与四唑啉酮拼接的系列化合物(结构式见图3),并测试了其对多种代表性真菌的抑制活性,在浓度为12.5mg·L-1时,化合物A对小麦叶锈病的抑制率为70%。


微信图片_2025-11-28_100405_635.jpg


图3 化合物A、B、C的结构式


国内的东莞东阳光药物研发有限公司于2017年设计的化合物B和C(结构式见图3),在浓度为500mg·L-1时,对黄瓜霜霉病和黄瓜灰霉病菌的抑制率达100%。此外,该公司还设计了含有苯并噁唑基的系列四唑肟基化合物,在浓度为500mg·L-1时,化合物D和E(结构式见图4)对黄瓜霜霉病的抑制率为100%,活性与四唑吡氨酯相当。


微信图片_2025-11-28_100408_753.jpg


图4 化合物D、E的结构式


进一步地,将磺酸酯基引入四唑肟母核中,在浓度为500mg·L-1时,化合物F和G(结构式见图5)对黄瓜霜霉病的抑制率为100%,活性与四唑吡氨酯相当。


微信图片_2025-11-28_100411_833.jpg


图5 化合物F、G的结构式


BEIER C等报道的化合物H(结构式见图6)对黄瓜霜霉病和晚疫病有较好的防治效果,可与其他杀菌剂复配,制成多种剂型。曹达株式会社报道的化合物H在浓度为1mg·L-1时对瓜果腐霉菌抑制率大于50%。


微信图片_2025-11-28_100415_177.jpg


图6 化合物H的结构式


——具有除草活性的四唑类化合物


现代农药特别是除草剂,要求绿色和低毒,对环境友好,在此背景下,含四唑基的化合物在除草剂的毒性降解领域备受关注,如杜邦公司将氯磺隆进行改造,引入四唑基团设计的四唑嘧磺隆I对水稻田的抗性单子叶杂草和阔叶杂草具有快速的除草活性,其在植物体内可迅速分解为无除草活性的代谢产物磺酰胺和嘧啶胺,改善了磺酰脲类化合物的毒性,并具有低毒、环保的绿色农药特点,目前该药尚未在我国国内取得登记。


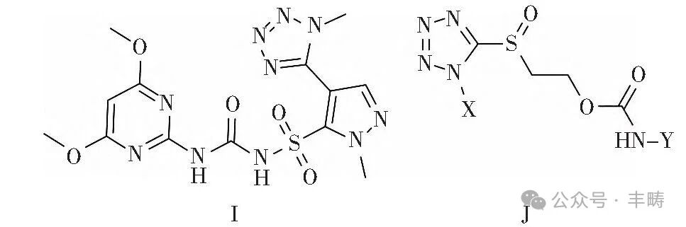
化合物J由TOTH J等报道,其在浓度为100mg·L-1时对双子叶杂草茎叶处理后有较好的防治效果(结构式见图7)。


微信图片_2025-11-28_100418_519.jpg


图7 化合物I、J的结构式


冯桂荣等人报道的含脲基的四唑类化合物K,利用平皿法进行测试。化合物K在100mg·L-1剂量时对稗草的抑制率可达89.6%(结构式见图8)。


微信图片_2025-11-28_100421_404.jpg


图8 化合物K、L的结构式


拜耳作物科学报道的化合物M为一种含四唑基的苯甲酰胺类化合物(结构式见图9),在80g·hm-2剂量下对几种阔叶杂草有很好的防效。目前该化合物已经进入大田实验,拜耳作物科学还报道了其几种晶体结构;化合物M在320g·hm-2剂量下对茎蓼的茎叶处理抑制率达100%。


微信图片_2025-11-28_100424_337.jpg


图9 化合物M的结构式


——具有杀虫和杀螨活性的四唑类化合物


华中师范大学报道的含三唑啉酮的化合物N对朱砂叶螨具有较强的抑制活性,对螨卵也有较好的抑制活性。其在浓度500mg·L-1时对朱砂叶螨抑制率为100%(结构式见图10)。


微信图片_2025-11-28_100427_693.jpg


图10 化合物N、O的结构式


目前也有文献报道了通过引入四唑基团于酰胺类母体中,如拜耳作物科学报道的化合物O是一种引入四唑基的氯虫酰胺类似物(结构式见图10),在100g·hm-2剂量下对桃蚜和草地贪夜蛾的抑制率达100%,在国内目前草地贪夜蛾对玉米田防治难度大的情况下,该化合物具有广阔的应用前景。拜耳公司通过大量活性结构优化并筛选,得到一种邻甲酰氨基苯甲酰胺类杀虫剂——四唑虫酰胺(te-traniliprole,结构式见图11),也是迄今为止唯一成功开发的含四唑结构的杀虫剂品种,又名氰氟虫酰胺,CAS登录号1229654-66-3。与氯虫苯甲酰胺和溴氰虫酰胺等同类品种相比,四唑虫酰胺在作用机制和化学结构等方面存在诸多相似性,但也具有一些突出的特点,如其对辣根猿叶甲(Phaedon cochleariae)幼虫、草地贪夜蛾(Spodoptera frugiper-da)和小地老虎(Agrotis ypsilon)等害虫的杀虫活性较高,优于同剂量下的氯虫苯甲酰胺。


微信图片_2025-11-28_100430_733.png


图11 化合物P的结构式


河南农业大学刘佳等人利用多样性导向合成的方法,设计合成的化合物Q、R和S是一类独特的含磷酸酯的四唑类化合物,具有很好的杀线虫活性,化合物Q在浓度为50mg·L-1时对烟草根结线虫的抑制率达90%;化合物R在浓度为50mg·L-1时对小麦胞囊线虫的抑制率达80%;化合物S在相同浓度时对甘薯茎线虫抑制率达92%(结构式见图12)。


微信图片_2025-11-28_100433_827.jpg


图12 化合物Q、R、S的结构式


DEKEYSER MA报道的化合物T对烟青虫具有一定抑制活性;化合物U由BUSHELL M J报道,其在浓度为50mg·L-1时对德国小蠊有较好杀灭作用;化合物V由先正达公司报道,其在较低剂量(50mg·L-1)时对夜蛾有较好的杀灭作用(结构式见图13)。


微信图片_2025-11-28_100437_903.jpg


图13 化合物T、U、V的结构式


——具有植物生长调节活性的四唑类化合物


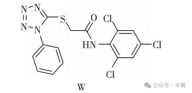
魏太保等报道的硫代四唑类化合物W(结构式见图14)对油菜种子和小麦种子具有促进增长作用。在1mg·L-1的剂量下,对油菜的促进生长率为67.2%。


微信图片_2025-11-28_100440_689.jpg


图14 化合物W的结构式


03 结论


通过对一些农药母核进行修饰,在合理位置引入四唑基,可得到多种具有多样性的农药生物活性化合物,但这类化合物的作用机制尚不明确。此外,在药物设计方面,合理运用四唑基结构,设计合成高效低毒的绿色农药候选品种,是四唑类化合物在农药领域的重要研发方向之一。


纵观我国在新农药的创制领域,主要是由大学和研究所进行设计和开发的品种,企业很少进行创制,而我国已经上市的40余种品种中,大部分属于结构类似药物,药效与跨国公司同类产品相当,缺乏市场竞争力。目前属于我国唯一自主开发的先导性化合物优化而来的品种是浙江化工研究院开发的丙酯草醚,但在含唑类,特别是四氮唑领域,国内尚无新品种上市。


未来我国农药的发展应着重从以下两方面进行深入研究:(1)朝着超高效、低毒、低残留且对环境友好的研发方向发展,对一些四唑基先导化合物进行进一步研究;(2)通过天然产物研究,可以将四唑基与天然植物源成分结构结合,寻找对环境友好的绿色农药。


作者:姜婷婷; 李国涛; 杨子辉; 等