2025年1月4日,山东省联合农药工业有限公司的喹啉酮类杀菌剂的新通用名称获得批准,开发代码为 LH-363,中文通用名为氟喹菌酯,该产品于2024年7月临时批准。山东省联合农药工业有限公司成立于1995年,是山东中农联合生物科技股份有限公司的全资子公司。
中文化学名称:7-氯-1-环丙基-6-氟-4-氧亚基-1,4-二氢喹啉-3-(2-甲氧乙基)羧酸酯
CAS名称:2-Methoxyethyl 7-chloro-1-cyclopropyl-6-fluoro-4-oxo-1,4-dihydroquinoline-3-carboxylate
CAS登记号:2408468-30-2
分子式:C16H15ClFNO4
活性:杀菌剂
结构:

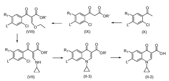
涉及专利CN109942488、CN117362227,基本合成路线如下:



