氨唑草酮是1988年由拜耳公司推出的一种新型、高效的三唑啉酮类除草剂,其作用机制是通过抑制有害植物的光合作用来使有害植物停止生长、使其组织逐渐枯黄直至死亡。该除草剂用量少、效果好,且除草范围广、难以产生耐药性的特点。
氨唑草酮(BAY 314666,amicarbazone),CAS[129909–90–6],1999年在英国布莱顿世界植保大会上推出。2004年,Arysta公司转让拜耳公司技术。
氨唑草酮的化学名称为:4-氨基-N-特丁基-4,5-二氢-3-异丙基-5-氧-1-H-1,2,4-三唑-酰胺。
剂型:70%水分散粒剂(WG)。
纯品为无色结晶,原药为白色粉末,熔点137.5℃,溶解度:水在20℃(4600毫克每升)相对密度:1.27g/cm3,难溶于有机溶剂。
化学结构式为:

氨唑草酮为光合作用抑制剂,敏感植物的典型症状为褪氯、停止生长、组织枯黄直至最终死亡,与其它光合作用抑制剂 (如三嗪类除草剂) 有交互抗性,主要通过根系和叶面吸收。氨唑草酮可以有效防治玉米和甘蔗上的主要一年生阔叶杂草和甘蔗上许多一年生禾本科杂草。
在玉米上,对苘麻、藜、野苋、宾州苍耳和甘薯属等具有优秀防效,施药量500g ai/hm2;还能有效防治甘蔗上的泽漆、甘薯属、车前臂形草和刺蒺藜草等,施药量500g~1200g ai/hm2。其触杀性和持效性决定了它具有较宽的施药适期,可以方便地选择种植前或芽前土壤使用,用于甘蔗时,也可以芽后施用。用于少免耕地,其用药量大约为阿特拉津的 1/3~1/2。
雌大鼠急性经口LD50>1015mg/kg,大鼠急性经皮LD50>2000mg/kg,无致畸、致癌、致突变作用与再生毒性。
鹌鹑的急性经口LD50>2000mg/kg,蓝鳃鱼LC50(96h)>129mg/L,蜜蜂经口 LD50>24.8µg/蜂。
国内有原药登记的厂家共4个:

主要登记的单剂为:70%水分散粒剂

30%&20%可分散油悬浮剂

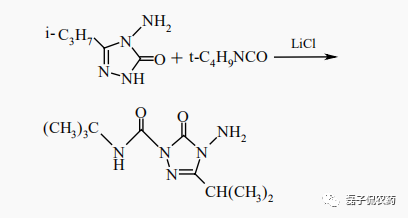
合成工艺:
关键中间体为:4-氨基-3-异丙基-5-氧-1-H-1,2,4-三唑 (三唑啉酮), 三唑啉酮合成常见以下三种路线:

用甲基异丙基酮保护三唑啉酮上的氨基,再和特丁基异氰酸酯缩合后,加盐酸去除保护基得到氨唑草酮。收率 70%~75%。

氨唑草酮是用于取代莠去津的优异玉米田除草剂之一,其上市已经超过20年时间。
由于莠去津仍然广泛使用,硝磺草酮和烟嘧磺隆仍然是市场主流。近年来苯唑草酮、异噁唑草酮、噻酮磺隆、氟噻草铵等玉米田除草剂不断上市。玉米田除草剂近乎饱和,那氨唑草酮是否可以换个赛道在甘蔗田有所作为呢?