氟唑环菌胺(Sedaxane)
氟唑环菌胺,英文通用名:Sedaxane,中文IUPAC化学名:2-顺式异构体与2-反式异构体的混合物(1 : 6):2'-[(1RS,2RS)-1,1'-双向环丙-2-基]-3-(二氟甲基)-1-甲基吡唑-4-碳酰苯胺;2'-[(1RS,2SR)-1,1'-双向环丙-2-基]-3-(二氟甲基)-1-甲基吡唑-4-碳酰苯胺。氟唑环菌胺(开发代号SYN524464)是先正达发现、开发和生产的吡唑酰胺类杀菌剂,是公司开发的专用种子处理剂中的第1个有效成分。它能预防土壤中的多种病害。尤其是对病原菌丝核菌,这些病菌难以被检测到又具有一定的侵袭性,氟唑环菌胺对其都有特效。基于氟唑环菌胺的杀菌种子处理剂Vibrance系列将成为先正达的重要增长品种之一,是先正达确立其在种子处理剂领域领先地位的重要产品。2011 年氟唑环菌胺上市,随后陆续在多个国家登记以及上市,其中包括加拿大、美国、阿根廷、智利和中国等多个农业大国。两年后,氟唑环菌胺的Vibrance 系列产品开始狂销全球市场,整个2013年的第一季度,该系列品种仅在北美市场的销售额就已经超过0.5 亿美元,迅速占据领军位置。到了2014 年,它的首季度销售额更是翻了一番达到了1 亿美元。杀菌种子处理剂Vibrance系列已经成为先正达的主要增长品种之一,凭此先正达确立其在种子处理剂领域的领先地位。

2、适用范围
氟唑环菌胺高效、广谱、内吸,具有保护和治疗作用,以保护作用为主。适用于谷物、大豆、玉米、蔬菜、甘蔗、葡萄、马铃薯、棉花、梨果和油菜等众多作物,防治多种土传和种传病害,也可防治早期叶面病害,对丝核菌引起的病害和丝黑穗病防效优异。氟唑环菌胺能促进作物根系生长,降低非光化学淬灭,使作物增产。
3、作用机制/靶点信息
与其它SDHI类杀菌剂作用机理一样,氟唑环菌胺通过作用于细菌体内连接氧化磷酸化与电子传递的枢纽之一---琥珀酸脱氢酶(Succinate dehydrogenase,SDH),导致三羧酸循环(tricarboxylic acid cycle)障碍,阻碍其能量的代谢,进而抑制病原菌的生长,导致其死亡,从而达到防治病害的目的。
4、 登记查询
4.1 中国登记信息:

4.2 欧盟登记信息:
2014年2月1日,氟唑环菌胺被列入欧盟农药登记条例(1107/2009)已登记有效成分名单,有效期至2024年1月31日。法国为文件起草国。截至2019年10月底,氟唑环菌胺已在欧盟17个成员国取得登记,分别为:奥地利、捷克、法国、意大利、波兰、英国、比利时、爱沙尼亚、西班牙、芬兰、匈牙利、爱尔兰、立陶宛、拉脱维亚、荷兰、瑞典、斯洛文尼亚。


4.3 美国登记信息:








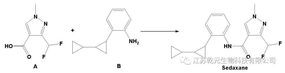
6、合成路线简介
与之前介绍的氟唑菌酰胺(链接)类似,氟唑环菌胺的合成以中间体-A:1-甲基-3-二氟甲基-1H-吡唑-4-甲酸 与中间体-B: 2-(双环丙基)苯胺 进行酰胺化得到。

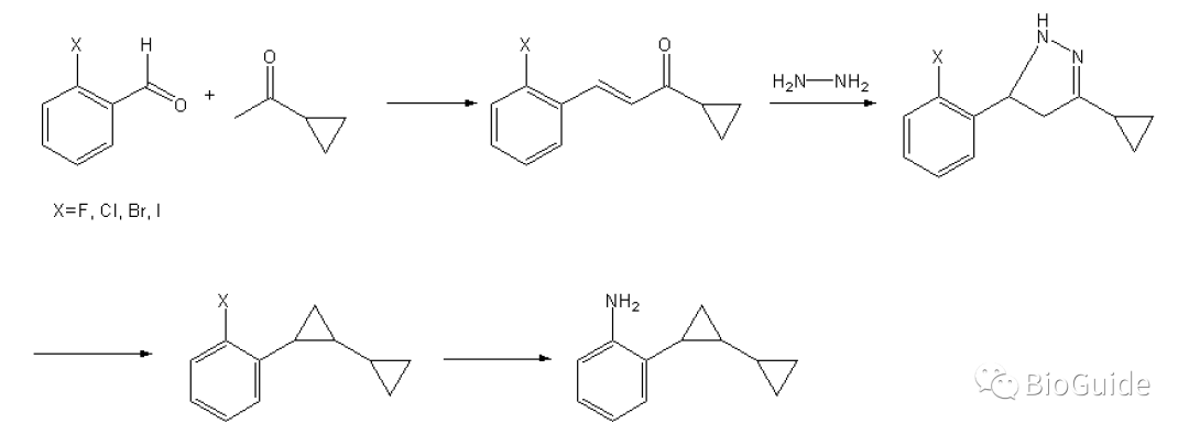
而该产品的工艺中,苯胺片段的合成则是需要攻克的难题,目前该片段的合成路线主要有如下几条:




7、原药预分析及杂质剖析
日前,BioGuide收到了春节前定制的公斤级原药,通过对定制的氟唑环菌胺原药样品采用液质联用进行分析并根据合成工艺解析质谱数据后,发现样品中含有的可能杂质如下:


③ 2,6-二异丙基苯胺带来的杂质:

④ 乙酰化杂质:
