氟唑菌酰胺(fluxapyroxad)是巴斯夫公司2006年开发的吡唑酰胺类杀菌剂,于2012年上市,是巴斯夫继啶酰菌胺之后推出的第2个SDHI类杀菌剂。氟唑菌酰胺具有高效、广谱、选择性强等特点,具有很好的预防和治疗活性,用于如谷物、大豆、棉花、果蔬等作物防治真菌性病害,即可叶面喷施也可做种子处理。其专利期将于2026年2月届满。
现:转让氟唑菌酰胺改进工艺,原料成本对比报道的原研工艺可降低30%左右。详加文末作者微信。
中文名称:氟唑菌酰胺
英文名称:Fluxapyroxad
其他名称:氟克殺
化学名称:3-(二氟甲基)-1-甲基-N-(3',4',5'-三氟联苯-2-基)吡唑-4-甲酰胺
CAS登录号:907204-31-3
化学式:C18H12F5N3O
相对分子质量:381.30
结构式:

三维结构式:

理化性质:唑菌酰胺纯品为无色晶体。熔点:156.8℃;沸点:沸腾前分解;相对密度:1.42(20~25℃);蒸气压:2.7×10-9 Pa(20℃);亨氏常数:3.03×10-7 Pa·m3/mol。溶解度(20℃):在水中的溶解度为3.44 mg/L;在有机溶剂中的溶解度:丙酮250 g/L,乙酸乙酯123.3 g/L,甲醇53.4 g/L,甲苯20 g/L。稳定性:在pH 4~9时稳定,不会水解;在中性水中使用人造光照射,不会光解;在空气和光中稳定。pKa为2.58(计算值)。
氟唑菌酰胺为琥珀酸脱氢酶抑制剂(SDHI)类杀菌剂,为病原菌呼吸作用抑制剂,通过抑制呼吸电子传递链复合物Ⅱ的琥珀酸脱氢酶,阻止其产生能量,抑制病原菌生长,最终导致其死亡。氟唑菌酰胺能抑制孢子发芽、芽管伸长、菌丝生长和孢子形成。
国际杀菌剂抗性行动委员会(FRAC)将其归类为C2组,因SDHI类杀菌剂作用位点单一,需和其他作用机理的杀菌剂复配使用。
氟唑菌酰胺具有出色的向顶传导性,被植物快速吸收后,在叶片内持续扩散,并不断向植物新生组织输送。这一特性,使得氟唑菌酰胺适用于病害防治的多个阶段,在未发病时用药,药剂可以充分发挥对植株的持续保护作用;对已经发病的植株,可迅速发挥治疗作用。
应用作物:谷物、大豆、玉米、油菜、果树、蔬菜、甜菜、花生、棉花、草坪和特种作物等
防治病害:由壳针孢菌、灰葡萄孢菌、白粉菌、尾孢菌、柄锈菌、丝核菌、核腔菌引发的病害,如:豆科植物的灰霉病、锈病、白粉病;棉花立枯病;向日葵和油籽菜上由链格孢菌引起的病害。马铃薯早疫病;黄瓜、西瓜、草莓白粉病;番茄叶霉病;黄瓜、番茄、草莓灰霉病;辣椒炭疽病;马铃薯黑痣病;芒果炭疽病、葡萄白粉病、葡萄灰霉病、香蕉黑星病等。
常见剂型:6 %氟唑菌酰胺+6 %氟环唑乳油;7 %氟唑菌酰胺+5 %苯醚甲环唑悬浮剂;21.2 %氟唑菌酰胺+21.2 %吡唑醚菌酯悬浮剂等
国内登记情况
截至2024年9月,共有18个氟唑菌酰胺产品获得我国登记。其中,原药产品3个,单剂产品1个,为巴斯夫欧洲公司登记的300g/L氟唑菌酰胺悬浮剂,用于防治小麦白粉病和水稻纹枯病,喷雾施用,制剂用量在20~30mL/亩。复配制剂复配品种包括:戊唑醇、氯氟醚菌唑、苯醚甲环唑、吡唑醚菌酯等;




美国登记情况:

加拿大登记情况:

英国登记情况:

2006年,巴斯夫公司申请了关于氟唑菌酰胺的化合物专利,包括PCT、欧洲专利、美国专利、中国专利等。
PCT专利:WO2006087343,2006年2月15日申请,2026年2月14日期满
欧洲专利:EP1856055,2006年2月15日申请,2026年2月14日期满。
美国专利:US8008232,2006年2月15日申请,2026年2月15日期满。
中国专利:CN101115723B,2006年2月15日申请,2026年2月14日期满;发明名称:吡唑甲酰苯胺、其制备方法以及用于防治有害真菌的包含它们的试剂。
国内目前关于合成氟唑菌酰胺的文献不多,总体来看,相关文献的合成路线有四种方法。
路线一:以硼酸三甲脂与3,4,5-三氟溴苯为起始原料,二者发生格氏反应,生成3,4,5-三氟苯硼酸,放入钯催化剂,让3,4,5-三氟苯硼酸与2-溴苯胺偶连,得到3,4,5-三氟-2’-氨基联苯,然后由1-甲基-3-二氟甲基-1H-吡唑甲酰氯(实际生产中可直接购买吡唑酸合成)与3,4,5-三氟-2’-氨基联苯发生酰胺化反应,这个反应需要己三胺的介入,最终生成氟唑菌酰胺。

路线二:用3,4,5-三氟苯胺和浓盐酸以及冰醋酸5ml然后加亚硝酸钠的水溶液反应生成3,4,5-三氟氯化重氮苯,将3,4,5-三氟氯化重氮苯和SnCl2,浓盐酸反应生成3,4,5-三氟苯肼;3,4,5-三氟苯肼在二氧化锰的催化下与苯胺,乙腈反应生成3,4,5-三氟-2’-氨基联苯,然后进行酰胺化反应生成最终产物氟唑菌酰胺。

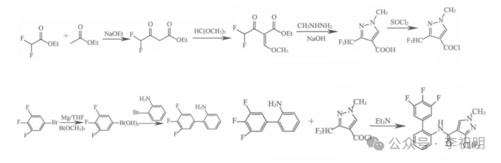
路线三:由乙酸乙酯和乙醇钠与二氟乙酸乙酯缩合得到二氟乙酰乙酸乙酯,二氟乙酰乙酸乙酯与原甲酸三甲酯发生化学反应,得到2-甲氧基亚甲基-4,4-二氟-3-氧代丁酸乙酯,由2-甲氧基亚甲基-4,4-二氟-3-氧代丁酸乙酯与甲基肼环化、水解和酰化得到的中间体1-甲基-3-二氟甲基-1H吡唑-4-甲酰氯;
用原料3,4,5三氟溴苯,通过格式反应生成3,4,5三氟硼酸,接着让3,4,5三氟硼酸与2-溴苯胺在钯催化作用下偶连得到3,4,5-三氟-2’-氨基联苯。然后1-甲基-3-二氟甲基-1H吡唑-4-甲酰氯与3,4,5-三氟-2’-氨基联苯发生酰胺化反应,最终生成氟唑菌酰胺。

路线四:以原甲酸三乙酯与二氟乙酰乙酸乙酯为开始原料,一共经缩合、合环、水解、酰氯化、氨解等六步反应生成得到产物氟唑菌酰胺。

氟唑菌酰胺有着及其优异的特性,它高效,适用性强,作用范围广,不仅适用于果树、稻谷、大豆、玉米、油菜、花生和蔬菜等上由壳针孢菌、灰葡萄孢菌、柄锈菌、白粉菌、丝核菌、尾孢菌、核腔菌等引起的病害,还适用于非农领域草坪褐斑病和钱斑病等的防治,且对纹枯病、灰霉病、叶枯病和夏斑病等也具有一定的防治作用。巴斯夫预测,氟唑菌酰胺的年峰值销售额可达10.00亿欧元。虽然SDHI类杀菌剂的市场存在激烈的竞争,新化合物不断被开发,但氟唑菌酰胺无论在活性、多功能性以及应用基础和应用前景方面均具有一定的优势。