咯菌腈 (fludioxonil),由诺华公司开发和生产,是一种具有划时代意义的新型非内吸性杀菌剂,是一种高效、安全、新型杀菌剂,它是目前全球销量最大的种子处理剂之一。由于其用量少,毒性极微,且持效期长,被美国环保局局评为零风险产品,其市场前景极其广阔。

LD50(mg/kg)大鼠(小鼠)急性经口LD50雄或雌>5000,野鸭和鹌鹑的急性经口 >2000, 大鼠急性经皮LD50>2000,本品对兔眼睛和皮肤无刺激。鱼毒(96h,mg/L)LC50大翻车鱼0.31、鲤鱼1.5,虹蹲鱼0.5,对蜜蜂无毒,水蚤 LC50(48h)1.lmg/L。Ames等试验结果表明,不致畸、不发生突变、不致癌。
通过抑制菌体葡萄糖磷酰化有关的转移,并抑制真菌菌丝体的生长,最终导致病菌死亡。作用机理独特,与现有杀菌剂无交互抗性。咯菌睛是全球为数不多获得美国环保局EPA "低风险"认证的产品之一。
用于小麦、大麦、玉米、豌豆、油菜、水稻、蔬菜、葡萄、草坪、观赏作物叶面处理,防治雪腐镰孢菌、小麦网腥黑腐菌、立枯病菌等,对灰霉病有特效;对谷物和非谷物种子处理,防治种传和土传病菌,如链格孢属、壳二孢属、曲霉属、镰孢菌属、长蠕孢属、丝核菌属及青霉属菌。
01.咯菌腈是一种新型吡咯类非内吸性,触杀性广谱杀菌剂。作为种子处理杀菌剂,悬浮种衣剂能够防治很多种病害。应用结果表明,咯菌腈灌根或土壤处理对各种作物的立枯病、根腐病、枯萎病、蔓枯病等许多根部病害都有非常好的效果。另外,咯菌腈还可以用作喷雾防治各种作物的灰霉病和菌核病。
02.有效成分对子囊菌、担子菌、半知菌的许多病原菌有非常好的防效。当处理种子时,有效成分在处理时及种子发芽时只有很少量内吸,但却可以杀死种子表面及种皮内的病菌。与现行的所有杀菌剂没有交互抗性。
03.咯菌腈用于种子处理成膜快、不脱落,有效成分在土壤中不移动,因而在种子周围形成一个稳定而持久的保护圈。持效期长达4个月以上,既可供农户简易拌种使用,又可供种子行业批量机械化拌种处理。
04.对作物种子安全性极好,不影响种子出苗,并能促进种子提前出苗,出苗齐,长势壮。对人和动物非常安全,是化学合成的仿生制剂,其毒性比食盐还低,非常适合无公害蔬菜的生产。
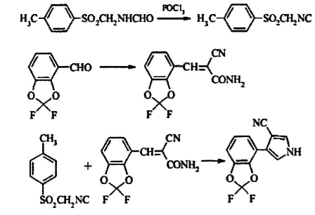
01.以取代的苯甲醛为起始原料,经缩合、闭环即得目的物。反应式如下:

02.以硝基苯酚为原料,经醚化、氟化、还原制得中间体取代苯胺,再经重氮化与丙烯腈反应,最后闭环得咯菌腈。制备方法二以取代的苯甲醛为起始原料,经缩合、环合得咯菌腈。反应式如下:

03.以氟化的环醚为起始原料,与丁基锂反应生成有机金属化合物,再与丙烯腈反应,最后闭环即得目的物。反应式如下:
04.以氟化的环醚或其衍生物为起始原料,经过Heck反应与丙烯腊作用,最后闭环即得目的物。反应式如下:
路线一:由4-氨基-2, 2-二氟邻苯二酚缩甲醛经重氮化,与丙烯腈反应,碱性条件下脱HCI得到不饱和的肉桂腈类,然后不饱和键与连有亚甲基的异腈基团在碱性条件下发生Michael加成以得到所需的吡咯环,从而生成了最终产物。
此路线作为早期的经典路线,具有较强的可操作性,但也存在明显不足;(1) 收率偏低,总收率在40%以下。(2) 甲苯酰基甲胖(Tosmic)要求无水环境,且热稳定性差,在温度高时明显分解影响转化率,另外其对人的皮肤和眼睛有刺激作用。因而不适合工业化生产。
路线二:可以看作是对路线一的优化。采用a-氰基肉桂酰胺衍生物与自制的甲苯酰基甲肤(Tosmic)反应液在碱性条件下通过Michael加成得到最终产物。根据文献其收率要好于路线1。但是其合成路线存在明显问题既选用的合成原料取代的苯甲醛是很难合成的。
路线三:虽然路线比较短,但是要用到的正丁基锂价格昂贵,且反应要在非常低的温度下进行(-60℃以下)。这显然不适合工业化生产。
路线四:主要用苯的衍生物通过Heck反应得到肉桂腊。与前几条路线得到肉桂腈相比相对简洁,而且可得到较高的收率,从而保证了下一步原料的纯度,降低了下一步对碱和温度的要求。此两点都可使总的收率有所提高。但是反应用到正丁基锂,且反应要在非常低的温度下进行。而采用三氟甲磺酸酯则成本过高。此外Heck反应所用到昂贵的催化剂醋酸钯及催化剂回收困难都是制约其工业化生产的重要因素。
综上所述,路线一还是比较可行且相对适合工业化生产的工艺,其中4-氨基-2,2-二氟邻苯二酚缩甲醛是合成咯菌腊的重要中间体。因而该中间体的合成成为咯菌晴制备的关键。
国内咯菌腈原药登记证,共26个,制剂登记证,以与嘧菌酯,精甲霜灵,噻虫嗪复配偏多,国内多用于悬浮种衣剂,用于种子处理。2019年,中国出口咯菌腈原药约22吨,以韩国,比利时,以色列,土耳其,智利为主;制剂出口,以拉脱维亚,乌克兰,巴拉圭,乌拉圭,秘鲁为主。
目前,国内还很少有合规生产合成咯菌腈的企业,但是随着对其毒理、安全性的评价和抑菌、杀菌方面的进一步研究,咯菌腈作为一种新型的高效、低毒、低残留仿生杀菌剂,在我国农业生产中将逐渐受到关注。
来源:农博在线