提示
×
取消
确定
当前位置:首页 > 新闻资讯
康宽以及甲维盐的好伙伴——甲氧虫酰肼简析
来源:农化专利网   发布时间:2021-08-24 08:21
简述
甲氧虫酰肼(methoxyfenozide,RH一2485)是由罗姆——哈斯公司(Rohm-Hass)于1990 年发现的酰基肼类杀虫剂,通过作用于蜕皮激素受体而导致昆虫致死性蜕皮。
甲氧虫酰肼(methoxyfenozide,RH一2485)是由罗姆——哈斯公司(Rohm-Hass)于1990 年发现的酰基肼类杀虫剂,通过作用于蜕皮激素受体而导致昆虫致死性蜕皮。
甲氧虫酰肼的通用名称为methoxyfenozide,商品名称为“雷通”,化学名为N-叔丁基-N'-(3-甲氧基-邻甲苯酰基)-3,5-二甲苯酰肼,结构式如下:



 图片


发现过程


上世纪80年代美国罗姆-哈斯公司开发了双酰肼类杀虫剂的第1个产品—RH-5849(抑食肼),该药剂对多种鳞翅目、双翅目和鞘翅目害虫有比较高的活性。随后,在抑食肼的结构基础上进行改造,开发得到了虫酰肼和甲氧虫酰肼。这2种药剂对鳞翅目害虫杀虫活性高而对非鳞翅目害虫活性低,且甲氧虫酰肼的杀虫活性高于虫酰肼。



理化性质



该化合物为白色粉末状,熔点为206.1℃~208℃,比重为0.740± 0.0081。在 25℃、35℃和 45℃下蒸发压均小于1.33×10- 5 Pa;在室温pH=5~9 条件下,对酸或碱催化反应稳定。



毒性


原药为低毒,大鼠急性经口LD50为5000mg/kg,急性经皮LD50>2000mg/kg。



作用机理


昆虫蜕皮激素的调控:
 
昆虫生长发育过程中受20E、保幼激素以及几丁质酶等的调控,昆虫通过改变体内各种激素含量进而调控生长发育历期。在幼虫期保幼激素含量较高,蜕皮激素和几丁质酶含量低,当幼虫进行蜕皮生长发育时,昆虫前胸腺就会分泌大量的蜕皮激素而停止保幼激素的分泌,从而蜕皮激素含量上升,保幼激素含量下降,促使幼虫成功完成蜕皮进入下一生长阶段。蜕皮激素能够与蜕皮激素受体EcR-超气门螺旋蛋白USP相互作用形成二聚体(EcR-USP),蜕皮激素受体和超气门螺旋蛋白对完成昆虫的蜕皮、变态和繁殖等生长发育具有十分重要的作用。
 

  甲氧虫酰肼的作用:
 
甲氧虫酰肼与20E争夺蜕皮激素受体EcR-USP结合位点,从而启动蜕皮,诱导蜕皮反应提前,实现调节昆虫生长达到杀虫目的。



靶标


甲氧虫酰肼选择性强,对鳞翅目害虫高效,可用于谷物、大豆、棉花、葡萄、柑橘、蔬菜、玉米和观赏植物等作物上防治广泛的鳞翅目害虫,如夜蛾科、菜粉蝶、黏虫、卷叶蛾和二化螟等。甲氧虫酰肼没有渗透作用及韧皮部内吸活性,主要通过胃毒作用致效,同时也具有一定的触杀及杀卵活性。其缺点是速效性差, 优点是持效期长。


抗性风险


甲氧虫酰肼和其他酰基肼类杀虫剂类似,由于其独特的作用机理,其昆虫抗药性发展缓慢,但目前在实用过程中还是出现田间应用存在抗药性及交互抗性风险,虽然抗药性发展较慢,但是仍然存在着风险。


专利


2012年11月23日,甲氧虫酰肼在美国的专利到期;2013年11月7日和22日,其在欧洲和中国的专利保护先后到期。2010年7月4日,甲氧虫酰肼在美国的登记资料保护期满;其在欧盟的登记资料保护至2015年3月31日。也就是说,甲氧虫酰肼已经并正在卸去大部分保护。



  国内登记


国内共计有17个甲氧虫酰肼原药的登记。



图片



其单剂登记仅有19个,主要剂型为甲氧虫酰肼 24%悬浮剂。用于甘蓝甜菜夜蛾,水稻二化螟等传统鳞翅目害虫的防治。
 
其复配共有42个,主要是与甲维盐,阿维菌素,乙基多杀菌素,茚虫威等鳞翅目害虫防治药剂复配,以弥补其速效性不足的缺点。



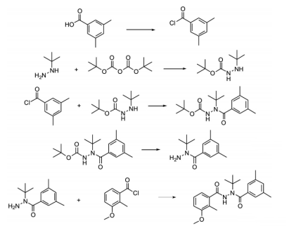
合成工艺


 3,5-二甲基苯甲酸为起始原料制备甲氧虫酰肼。



图片



总结



预防和治理昆虫抗药性的策略有2种:

一是延缓昆虫抗药性的产生,延长农药的使用寿命;

二是寻求合适的途径使已产生抗药性的昆虫回到敏感状态。达到昆虫抗药性治理目标的关键在于降低农药对害虫的选择压力。目前甲氧虫酰肼在市场上遇到的主要问题就是缓慢增长的抗药性以及速效性差的问题。

其最好的解决方法是可以采取多种药剂轮换使用以及混配使用,如甲氧虫酰肼可与毒死蜱、辛硫磷、灭多威、溴氰菊酯、高效氯氰菊酯、虫螨腈、虱螨脲、甲氨基阿维菌素苯甲酸盐、氟啶脲和氟铃脲等轮换使用或以复配的形式使用。

另有研究表明甲氧虫酰肼与氯虫苯甲酰胺混配使用对甜菜夜蛾有增效作用,因此,氯虫苯甲酰胺可以用于防治对甲氧虫酰肼产生抗性的甜菜夜蛾。随着氯虫苯甲酰胺已过专利期,氯虫苯甲酰胺非专利产品的推广,甲氧虫酰肼的使用量也会有大幅提升。



值得一提的是, 河北冠龙已经拿到了该产品的登记证, 用于水稻二化螟的防治。



图片



来源:磊子侃农药