提示
×
取消
确定
当前位置:首页 > 专利专论
新型烟酰胺类杀菌剂啶酰菌胺及合成路线简析
来源:李祝明微信公众号   发布时间:2024-06-25 09:17
简述
啶酰菌胺(boscalid)是德国巴斯夫公司于1992年开发的吡啶甲酰胺类杀菌剂,2002年在智利、韩国和英国首登,主要用于包括油菜、葡萄、果树、蔬菜和大田作物等防治灰霉病、白粉病、菌核病、早疫病等真菌病害,具有杀菌谱广、作用机理独特、高效低毒、内吸性和渗透性好、持效期长、兼容性好等优点,啶酰菌胺全球专利期已于2012年届满。

啶酰菌胺(boscalid)是德国巴斯夫公司于1992年开发的吡啶甲酰胺类杀菌剂,2002年在智利、韩国和英国首登,主要用于包括油菜、葡萄、果树、蔬菜和大田作物等防治灰霉病、白粉病、菌核病、早疫病等真菌病害,具有杀菌谱广、作用机理独特、高效低毒、内吸性和渗透性好、持效期长、兼容性好等优点,啶酰菌胺全球专利期已于2012年届满。


                                     产品简介

英文名称:boscalid

中文名称:啶酰菌胺 
其他名称:凯泽、白克列、Cantus、Endura、Filan、Nicobifen
化学名称:2-氯-N-[2-(4-氯苯基)苯基]吡啶-3-甲酰胺 
分子式:C18H12Cl2N2O
相对分子质量:343.207 
CAS登录号:188425-85-6 
结构式:

图片


三维结构式:

图片


理化性质:原药为白色无臭晶体;熔点:142.8~143.8℃;蒸气压:7.2 × 10-7Pa (20℃);分配系数:Kow logP = 2.96;亨利常数:5.178 ×10-5Pa·m3·mol-1;相对密度:1.381 (20℃)。溶解度:在水中的溶解度为4.6 mg/L (20℃);在正庚烷中<10g/L,甲醇中为40~50g/L,丙酮中为160~200 g/L (均为20℃)。稳定性:pH值为 4, 5, 7和9时,在水中稳定;在水溶液中不光解。

                                     作用机理

啶酰菌胺(boscalid)属于琥珀酸脱氢酶抑制剂,通过抑制琥珀酸基质的氧的呼吸,从而妨碍病原菌的能量代谢以呈现杀菌活性。

啶酰菌胺(boscalid)具有保护+治疗的作用,在灰霉病生活环境中,啶酰菌胺对孢子的萌发具有极强的抑制作用。另外,它能有效地阻止芽管伸长、附着器形成,故呈现了优异的预防效果。由于抑制了灰霉病菌的菌丝伸长及孢子形成,故能防止发病后的二次感染。

植物叶片经啶酰菌胺处理后,可由叶表吸收,并经蒸腾流随叶内水分向叶尖及边缘部移行扩散。由于此特性,使药剂不仅能防止病菌感染,并且呈现了卓越的耐雨性和持效性。

啶酰菌胺(boscalid)具有的吡啶结构,显示出较好的内吸性,即可叶面用药,也可作为土壤处理或种子处理。

                                       应用

应用:因较多菌灵、腐霉利、嘧霉胺等常规老品价格高、目前主要用于高附加值的经济作物。

靶标:终端应用中还是主要用来防治灰霉病,同时对菌核病、白粉病、根腐病等表现出霉层的真菌性病有效。

使用方法:在复配情况下使用剂量为0.25 kg(a.i)/hm2,或将50%制剂稀释1000~1500倍。叶面喷雾。应注意在高温、干燥条件下避免发生烧叶、烧果现象,不易与强内吸产品或渗透剂复配。

常见剂型:30 %啶酰菌胺SC、50 % 啶酰菌胺WDG

                                      登记情况

国内啶酰菌胺的原药登记有30个。制剂单剂登记为40个,单剂常见剂型SC和WDG。复配制剂为86个,常见复配有腐霉利、吡唑醚菌酯、异菌脲、咯菌腈、嘧菌酯和乙嘧酚等。原药登记情况如下。


图片

图片


                                      合成情况

目前国内报道的啶酰菌胺的合成路线及优化方案较多,主要由联苯胺类化合物与吡啶酰氯进行酰胺化反应生成啶酰菌胺,可参照原研企业BASF国内专利CN101133016B、CN1317269C分别报道了该两类化合物的制备。笔者精选了几条比较有代表性的路线。

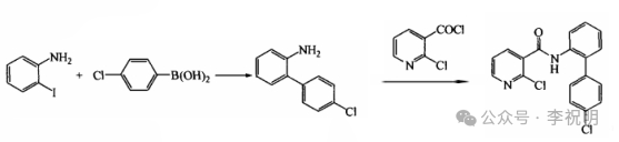
路线一(CN104725303A):以邻氯硝基苯为原料,首先与对氯苯硼酸发生Suziki反应,生成中间体4’-氯-2-硝基联苯,之后经还原生成中间体4’-氯-2-氨基联苯(也叫2-(4-氯苯基)苯胺),最后与2-氯烟酰氯(2-氯烟酰氯由2-氯烟酸制得,2-氯烟酸也是合成除草剂吡氟酰草胺的中间体)缩合制得目标产物啶酰菌胺,反应式如下:

图片


路线二(江苏利民路线):以邻碘苯胺为原料,首先与2-氯烟酰氯反应,再与对氯苯硼酸发生Suzuki反应得目的产物啶酰菌胺,反应式如下:

图片


路线三:迟会伟在《啶酰菌胺的合成与生物活性研究》中报道了以对氯苯硼酸和邻碘苯胺(价格较高)为原料,经Suzuki偶合制得联苯胺,再与2-氯烟酰氯反应得到目标产物啶酰菌胺,收率71.2%。反应式如下:

图片


路线四:CN104016915A中报道了以2-乙酰氨基溴苯和对氯苯硼酸为起始原料,在碱与季铵盐存在下,Pd(OH)2/C作为催化剂通过Suzuki反应得到中间体4’-氯-2-乙酰氨基联苯,所述中间体在浓盐酸存在下脱保护后与2-氯烟酰氯缩合,反应达到目标产物啶酰菌胺,收率88%(以4’-氯-2-乙酰氨基联苯计)。反应式如下:

图片


路线五(江苏七洲路线):2-氯烟酸和4’-氯-2-氨基联苯在有机溶剂、碱与甲基磺酰氯的存在下反应生成目标产物啶酰菌胺,改路线减少了2-氯烟酸酰氯化的步骤,缩短了缩合时间。反应式如下:

图片


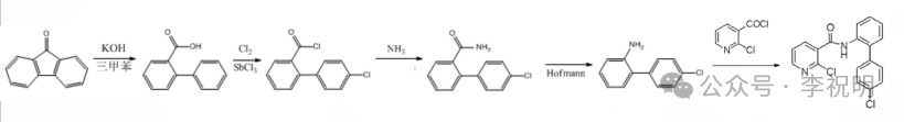
路线六(安徽丰乐路线):采用9-芴酮为原料,经开环、氯代、酰氨化、重排降解四步反应得到2-(4-氯苯基)苯胺,2-(4-氯苯基)苯胺与2-氯烟酰氯缩合制得目标产物啶酰菌胺。

图片


文献CN111662184A、CN113831280A在路线六的基础上,对2-(4-氯苯基)苯胺合成进行了优化,其中CN111662184A避免使用了昂贵的催化剂钯,CN113831280A中催化剂选用三氯化铁来替代昂贵的钯催化剂。合成路线同路线六。

                                      复配推介

啶酰菌胺复配推广的方向主要有灰霉病、白粉病、稻瘟病;以及菌核病、根腐病和白绢病等土传病害。

啶酰菌胺+嘧菌环胺:用于防治灰霉病、白粉病、黑星病、叶斑病、盈枯病以及小麦眼纹病等,特别是白粉病和灰霉病。

啶酰菌胺+井冈霉素/春雷霉素/稻瘟酰胺:具有很强的增效效果,对水稻纹枯病和水稻稻曲病的防治效果好,经田间试验其防治率可达到95%以上,持续性强。

唑胺菌酯+啶酰菌胺:对黄瓜灰霉病、白粉病;小麦白粉病具有很好的防治效果,防效达90%以上。

啶酰菌胺+乙嘧酚磺酸酯或乙嘧酚:用于蔬菜、小麦、果树、花卉等作物的白粉病防治。

啶酰菌胺+茵陈二炔酮:防治农作物上灰霉病、菌核病等病害效果优秀,持效期长,对农作物安全。

啶酰菌胺+噻呋酰胺:两种成分组合用于防治花生、烟草、茄子白绢病、油菜菌核病等。

小结


啶酰菌胺作为SDHI(琥珀酸脱氢酶抑制剂)类杀菌剂的代表,其对于灰霉病、白粉病、菌核病和稻瘟病等都具有很好的防治效果,并且持效期长、耐冲刷、应用方式灵活、复配性好、安全性高,从合成路线看其原料易得、合成路线短。这些优势都符合一个终端大品的特性,虽然也有抗性报道,但其复配制剂仍有很大的可开发空间。




有关农药行业更多科技创新、专利保护等内容,敬请关注第十三届农药知识产权与科技创新大会,五大价值五大收获等着你!


图片