环磺酮(Tembotrione)是由拜耳公司2007年研制的三酮类对-羟苯基丙酮酸双氧化酶(HPPD)抑制类除草剂,据统计,环磺酮杀草谱广,对115种杂草防效均在90%以上,近100种有75%的防除效果。环磺酮以有效成分100g/ha的剂量下,对甜菜、欧洲油菜、多叶藜、大爪草、鼬瓣花等10多种杂草的防效为100%;对稗草、马唐、龙葵、败酱草等20多种杂草的防效高达95%以上;对野芝麻、野油菜、鹅肠菜等10多种杂草的防效大于90%。环磺酮也凭借活性高、残留低、对哺乳动物安全和对环境友好等特点,成为玉米除草剂市场上炙手可热的产品,因此对环磺酮的合成工艺研究具有现实意义。
中文名称:环磺酮
英文名称:Tembotrione
化学名称:2-{2-氯-4-甲磺酰基-3-[(2,2,2-三氟乙氧基)甲基]苯甲酰基}环己烷-1,3-二酮
CAS登录号:365400-11-9
分子式:C17H16ClF3O6S
相对分子质量:440.8
结构式:
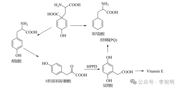
理化性质:原药为米黄色粉末;熔点:123℃(纯度98.9%);蒸气压:1.1×10-5mPa(20℃);正辛醇/水分配系数:logP=-1.37(pH9.0,23℃),-1.09(pH 7.0,24 ℃), 2.16(pH 2.0,23℃);亨利常数:1.71×10-10Pa•m3•mol-1;密度:1.56(20℃);溶解性:水0.22(pH4),28.3(pH7)(克/升,20℃),二甲亚砜和二氯甲烷>600,丙酮300~600,乙酸乙酯180.2,甲苯75.7,己烷47.6,乙醇8.2(mg/L,20℃);pKa:3.2。环磺酮式HPPD(对羟基苯基丙酮酸双氧化酶)抑制剂,靶标杂草HPPD受到抑制后,杂草分生组织中酪氨酸积累和质体醌缺乏,3~5天后,杂草出现黄化症状,最终蔓延至整株,杂草白化最终在2周内死亡。对羟基苯基丙酮酸双氧化酶(HPPD)是上世纪90年代初发现的新除草剂作用靶标。在植物体类,HPPD是合成质体醌(PQ)的一种成分。HPPD酶是一种铁-酪氨酸蛋白,HPPD抑制剂实际上抑制的是对羟基苯基丙酮酸,使其无法生成尿黑酸。在植物体内,如果抑制了对羟基苯基丙酮酸双氧化酶,就会阻碍合成PQ和生育酚(Vitamin E)的原料即尿黑酸无法被生成出来,从而导致对羟基丙酮酸和酪氨酸含量增多而质体醌缺乏。光合反应中电子转移也需要用到PQ和生育酚,因此,HPPD抑制药品同时是光合反应中电子转移的抑制药物。此外,PQ是八氢番茄红素去饱和酶发挥其催化作用必不可少的协同因子,所以PQ的枯竭会导致这种酶的催化功能受到限制,进一步限制了类胡萝卜素的生成,使得野草会逐渐出现白化病症,最终死亡。
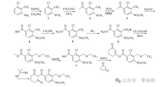
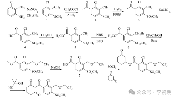
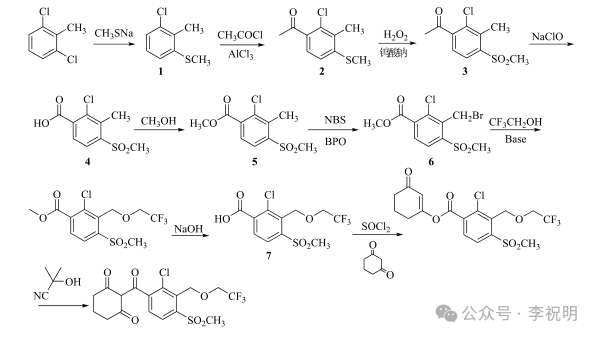
靶标杂草:一年生狗尾草属和野藜属杂草。同时对蓟属、旋花属、婆婆纳属、辣子草属、尊麻属、春黄菊和猪殃殃等多种杂草有很强的灭杀作用。特别是对抗性马唐和牛筋草效果显著。专利情况:截至2019年10月7日,环磺酮的欧洲专利EP1117639、世界专利WO0021924、中国专利CN1269800C和美国专利US6376429都已到期,SPC专利保护期到2021年。目前报道的有关环磺酮合成方法较多,比较有代表性的是拜耳公司专利苯甲酰环己二酮的制备方法和左静发表的论文《除草剂Tembotrione的合成研究》。分别是以2,6-二氯甲苯和3-氯-2-甲基苯胺为起始原料的合成路线的代表。路线一(拜耳路线):拜耳专利DE19846792A1公布了苯甲酰环己二酮类化合物的制备方法,专利中对环磺酮原药和各个中间体的合成方法进行了保护。该路线以2,6-二氯甲苯为起始原料,首先甲硫醇钠和2,6-二氯甲苯经醚化反应,生成中间体1;经傅克酰基化反应生成中间体2;中间体2被双氧水氧化,生成中间体3;中间体3和次氯酸钠发生卤仿反应生成中间体4;中间体4和甲醇经酯化反应生成中间体5;中间体5和NBS在过氧化苯甲酰(BPO)引发下发生自由基溴取代反应生成中间体6;中间体6经Williamson醚合成反应和酯水解反应生成中间体7;中间体7经酰氯化后和1,3-环己二酮发生缩合反应,最后重排得环磺酮。合成路线如下:该合成路线采用甲硫醇钠气味比较大,废水中的硫醇难于处理,造成环境污染,同时从反应位点考虑,2,6-二氯甲苯上的两个氯取代基都可以和甲硫醇钠发生取代反应,生成单取代和双取代甲硫化的化合物,增加分离工作难度。采用N-溴琥珀酸亚胺作溴化剂,该溴化剂昂贵。生产成本过高。路线二(武汉工程大学):武汉工程大学在专利CN104292137A中报道了新的合成路线,在拜耳专利的基础上采用甲磺酰氯替代甲硫醚的氯取代反应,革除了硫醚的过氧化氢氧化步骤;在2-氯-3-溴甲基-4-甲磺酰基苯甲酸甲酯中间体的制备过程中,使用溴素代替昂贵的NBS进行侧链甲基的溴化,使得生产成本降低。合成路线如下:路线三:以3-氯-2-甲基苯胺为起始原料,经重氮化、傅克酰基化、氧化、卤仿、酯化、自由基溴代、缩合、水解、酰氯化、缩合和重排反应合成目标化合物环磺酮。该路线以重氮化的方法合成中间体1,避免了双甲硫化杂质的生成,合成路线如下:路线四:在路线三的基础上,使用二甲基二硫为甲硫化试剂代替甲硫醇钠。合成路线如图下:其他合成路线:其他报道的都是在中间体6后面的环节进行优化,CN108409616公布了间接溴代合成环磺酮中间体6的方法。该方法利用溴酸钠和溴化钠在酸性环境下发生氧化还原反应,在反应体系的原位生成溴素,随后生成的溴素在BPO作用下发生自由基溴取代反应。CN109678767A公布的方法和CN108409616的方法相似,都是通过氧化还原反应产生的溴素作为溴代试剂,CN109678767A选择了双氧水和氢溴酸的反应体系,反应的副产物为水,减少了后处理的难度。拟定合成路线如下:环磺酮自上市以来,一直受到用户的青睐,销售额一路攀升,已发展成为HPPD抑制剂类除草剂中的第三大产品。它的活性更高,用药量少,更环保,疏水性好,抗雨水冲刷能力更好,对爆裂玉米、甜玉米均安全。目前为止仍是拜耳公司最为畅销的产品之一。可以预见,环磺酮的销售额仍会有较大的上升空间。环磺酮国内登记开发新的剂型和混配的空间依然很大,与此同时环磺酮的合成工艺仍有可优化空间,未来成本有望进一步降低。有关农药行业更多科技创新、专利保护等内容,敬请关注第十三届农药知识产权与科技创新大会,五大价值五大收获等着你!
