中文别名:乐斯本,氯吡硫磷, O,O-二乙基 O-3,5,6-三氯-2-吡啶基硫代磷酸酯。分子式为C9H11Cl3NO3PS。

毒死蜱为触杀、胃毒作用杀虫剂,由于挥发度相对较高,所以也有熏杀作用。毒死蜱是一种神经毒剂,抑制乙醜胆碱酷酶活性,使神经突触部位大量乙酷胆碱积聚,致使突触后膜不断激活,神经纤维长期处于兴奋状态,正常的神经传导受阻,从而使昆虫中毒致死。具有触杀、胃毒、熏蒸三重作用方式。
毒死蜱是广谱性杀虫剂,作为卫生杀虫剂在家庭中用来防治白蚁和蟑螂等;作为农用杀虫剂,可有效防治水稻、苹果、蔬菜等方面的螟虫、韭蛆等 100 余种害虫。
1.用40.7%乳油兑水100-150ml喷雾,防治菜青虫,小菜蛾、斜纹夜蛾等害虫;
2.用40.7%乳油60-120ml兑水喷雾,防治稻纵卷叶螺、稻飞風、稻瘿蚊等水稻害虫;
3. 40.7%乳油50-75ml兑水喷雾,防治粘虫等小麦害虫;
4.果树防治:乳油40.7%稀释1000-2000倍,喷雾防治柑橘潜叶蛾、红蜘蛛;稀释倍喷雾防治桃小食心虫、山楂红蛛、苹果红蛛等。
截止1995年,美国环保局(USEPA)收到249起关于毒死蜱污染事件的案件,投诉者认为他们的症状与毒死蜱有关。2000年,根据美国环保局的环保新标准,毒死蜱逐渐在住宅中被淘汰使用。2008年,美国国家海洋渔业局为了保护濒临灭绝的鲑鱼和虹鳟鱼,特将这些物种的栖息地约1000英尺的范围划分为缓冲区,禁止这块区域内毒死蜱农药的空中喷洒。
随着我国2008年1月彻底停止甲胺磷、对硫磷、甲基对硫磷、久效磷和磷胺等5种高毒有机磷农药的生产、流通和使用,毒死蜱作为替代高毒有机磷类农药的主要有机农药品种,在我国应用日益广泛。虽然毒死蜱属于中毒农药,但对于多数水生生物仍属于高毒性物质。对于毒死蜱残留危害的评价以及如何从环境中去除一直是农药行业的热点问题。
和其他有机磷农药不同,它在一定浓度范围内一般不会产生迟发性神经毒性,故具有相对安全性。
但作为使用最为广泛的有机磷类杀虫剂,毒死蜱对生态环境仍然具有潜在的危险性,甚至被认为具有干扰内分泌的功能。因此,毒死蜱对环境及生物的安全性越来越成为人们关注的焦点。外界各种因素如光、水、微生物等均可影响自然环境中的毒死蜱降解。
虽然毒死蜱是代替高毒有机磷农药的最佳选择,但其毒性仍不容忽视。 目前,关于毒死蜱的生态毒性研究报道很多:不同浓度的毒死蜱溶液对草履虫的生长有极显著影响,浓度越高毒性作用越大,死亡率增加;毒死蜱对蜜蜂、家蚕、鱼类、鸟类、赤眼蜂、蛙类属高毒农药,但对蚯蚓、土壤微生物是安全的,属于低毒农药。

毒死蜱对人体也产生一定程度的危害。毒死蜱能引起人体胆碱酯酶的抑制,蓄积于神经系统后导致恶心、头晕、甚至神志不清,高浓度暴露可造成呼吸麻痹和死亡,对儿童有潜在的健康危害。因此,2000年,美国采取一系列行动限制其使用。
但是不可否认的是毒死蜱仍然是一种高效、安全和广谱的含氮杂环类杀虫杀螨剂,仍被广泛应用于农业生产病虫害的防治中。国家发改委和农业部甚至将毒死蜱列为取代高毒农药的重要品种(主要是氟虫腈),并被农业部推荐用于无公害农产品生产的专用杀虫杀螨剂。
成本低廉,对环境威胁较小是它相对于其他有机磷类杀虫剂的优势,新剂型的开发(水乳剂、微乳剂、微胶囊悬浮剂)和环保生产工艺的改进将是毒死蜱未来的发展趋势。
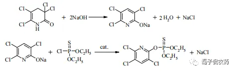
毒死蜱是通过 3,5,6-三氯吡啶-2-醇钠(简称三氯吡啶醇钠)和 O,O-二乙基硫代磷酰氯,在催化剂如4-二甲氨基吡啶(DMAP)、三乙基苄基氯化物(TEBAC)、聚乙二醇(PEG)或三乙胺(TMA)等作用下发生亲核取代制备的。根据反应的溶剂不同,目前合成毒死蜱的方法主要分为双溶剂法和水相法。

毒死蜱是我国的重要出口农药产品之一,2019年我国共出口毒死蜱225100000美元,其中越南是最大的进口国,共进口毒死蜱30810000美元;其次是巴西,共计进口21350000美元,第三名是印度尼西亚,共计进口15390000美元。乌克兰,泰国,巴基斯坦,孟加拉,埃及,以色列,墨西哥分列第4-10位。
97%的乳油为出口最多的品种,为117510000美元,第二是40%毒死蜱乳油,为18000000美元。
来源:磊子侃农药