提示
×
取消
确定
当前位置:首页 > 新闻资讯
当之无愧的棉花田“守护神”二甲戊灵,今年其价格也被推到近几年高点
来源:农化专利网   发布时间:2022-12-13 08:21
简述
一、合成工艺及原药生产情况二、制剂生产情况截止到2022年12月1日,制剂登记证共计230张,其中单剂登记合计141个,含量和剂型以330克/升乳油、450克/升微囊悬浮为主。

图片

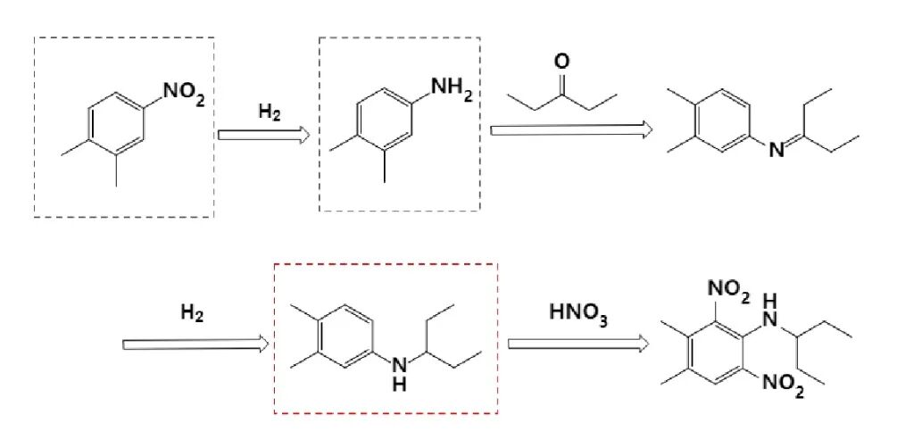
一、合成工艺及原药生产情况

图片

图片

二、制剂生产情况

截止到2022年12月1日,制剂登记证共计230张,其中单剂登记合计141个,含量和剂型以330克/升乳油、450克/升微囊悬浮为主;复配登记合计89个,复配产品主要有乙氧氟草醚、乙草胺、噁草酮、丙炔氟草胺、异丙甲草胺等;剂型:可湿性粉剂15个;乳油168个;水乳剂2个;微囊悬浮剂20个;微乳剂1个;悬浮剂 22个;悬乳剂2个;微囊悬浮剂20个。

图片


来源:中农立华原药