提示
×
取消
确定
当前位置:首页 > 新闻资讯
纳米乳剂在农药领域的应用研究进展与前景展望,目前还没有纳米乳剂农药剂型获得登记
来源:农化专利网   发布时间:2022-12-12 10:28
简述
农药是控制有害生物危害的重要手段,通过先进的剂型加工方法可以改善农药的使用性能,充分发挥农药有效成分的生物活性,提高农药利用率。近年来,我国农药剂型的加工获得了长足发展,环境友好型新剂型逐渐成为剂型加工的主要发展方向。
农药是控制有害生物危害的重要手段,通过先进的剂型加工方法可以改善农药的使用性能,充分发挥农药有效成分的生物活性,提高农药利用率。近年来,我国农药剂型的加工获得了长足发展,环境友好型新剂型逐渐成为剂型加工的主要发展方向。水基化、粒性化和缓控释成为农药制剂发展主流,悬浮剂、水乳剂、微乳剂、水分散粒剂和微囊悬浮剂等大批新剂型也逐渐进入到市场并占据重要地位。

近年来,纳米技术的迅猛发展为现代植物保护开辟了新的应用前景。纳米尺度的材料因其尺寸小、结构特殊而具有许多新的理化特性,如大比表面积、高反应活性、小尺寸效应和量子效应等。利用纳米材料与技术发展纳米农药新剂型,是应用领域研究热点之一。利用纳米材料与技术构建纳米载药系统,可有效提高农药利用率,降低农药残留与环境污染。

纳米乳剂是在表面活性剂等功能助剂作用下,将不溶于水的农药以纳米尺度增溶于水中形成的乳状液体制剂。与微乳剂相比,纳米乳剂处于热力学亚稳定状态,具有更低的表面活性剂添加浓度,其质量分数一般为5%~10%(但低能量法制备的纳米乳剂往往需要大量的表面活性剂来稳定液滴)。除此之外,纳米乳剂还减少有机溶剂的使用量,降低对环境带来的风险。

纳米乳剂特有的理化特性可改善农药制剂性能,提高农药活性成分兑水使用时的分散性,产生低表面张力和较好的润湿性,进一步提高农药在靶标表面的附着、沉积和渗透。纳米乳剂中水包油或油包水微细液滴还可以对农药有效成分形成包裹层,提供更好的光降解保护以及缓释增效的作用,可有效提高农药利用率,从而减少农药的使用量。


纳米乳剂因其优异的特性受到国内外研究人员的广泛关注,目前已有大量研究人员对不同载药体系的纳米乳剂进行了制备以及研究。2019年,纳米农药被国际纯粹与应用化学联合会(IUPAC)评为将改变世界的十大化学新兴技术之首,美国环保署(EPA)、欧盟以及联合国经济合作与发展组织(OECD)等国际组织和机构已经陆续颁布了关于纳米农药生产、使用及安全性评价等方面的管理规则。


在我国,截至目前,尽管还没有纳米乳剂农药剂型获得登记,但已有大量关于纳米乳剂载药体系的研究论文以及专利发表,为推进我国农药减量提效、减量控害目标发挥重要作用。目前纳米乳剂已广泛应用于医药、石油、日用化工、农药等领域,已有前人对纳米乳剂在医药、石油等领域的应用进行了综述,而在农药领域中相关综述较少,鉴于近年来农药纳米乳剂发展迅速,笔者对纳米乳剂在农药领域的应用进行综述,并对该领域的发展前景进行展望,以期为纳米乳剂在农药中的应用提供参考和指导。


一、农药纳米乳剂的组成


纳米乳剂配方主要由4部分组成:有效成分、溶剂或助溶剂、乳化剂或助乳化剂和水,一般是先将有效成分、溶剂或助溶剂、部分乳化剂或助乳化剂混合形成油相,部分乳化剂或助乳化剂与水混合形成水相,再进行混合加工即可形成纳米乳剂。存在于纳米乳剂体系中的两个不相容的相(油相和水相)被表面活性剂形成的界面分开。纳米乳剂有3种类型:水包油(O/W)型、油包水(W/O)型(图1),以及双连续型(W/O型与O/W型之间的过渡状态,实际应用比较少)。


当乳化剂亲水亲油平衡值(HLB)为7~18,亲水性强、亲油性弱时,一般会形成水O/W型乳状液,这也是农药中最常见的乳液类型。当乳化剂的HLB值为3~6,亲水性弱、亲油性强时,形成W/O型乳状液,这在农药中很少使用。双连续型纳米乳剂的任一部分油相在形成液滴被水连续相包围的同时,与其他油滴一起组成连续相包围介于油相中的水滴,由于表面活性物质组成的界面不断波动,使双连续相纳米乳亦具有各向同性。双连续相结构中,水相与油相皆非球状,而类似于海绵状的结构。根据药物性质的不同,制备适当类型的纳米乳剂。

图片

图1  不同类型纳米乳剂的结构

1. 水相


水相与油相在乳化剂的作用下形成弯曲的油水界面膜,进而包裹农药活性成分。水质对纳米乳剂加工和储存稳定性影响较大,一般选用蒸馏水或去离子水。


2. 油相

选用合适的有机溶剂作为油相是纳米乳剂形成的关键部分之一,因为它与对农药活性成分的溶解能力密切相关。例如:与十六烷等长链油相比,当以花生油为油相时,纳米乳剂的形成更为困难。因为油在体系中的不溶性增加了纳米乳剂的稳定性,为奥斯特瓦尔德(Ostwald)熟化提供了动力学障碍,而Ostwald熟化是纳米乳剂不稳定的主要原因,是纳米乳剂破乳的主要机制。
Ostwald熟化是指油在较小液滴中通过连续相向较大液滴的净输送。油的碳氢链长度越短,越有利于有机相更深入地穿入界面膜,纳米乳剂就越稳定,但增长碳氢链则有助于增加对药物的溶解性。因此,纳米乳剂油相的选择,应结合药物的溶解情况进行综合考虑。

纳米乳剂中溶剂油的选择种类多样,具有丰富的生物学特性,其应用于纳米乳剂中可以提高细胞毒性、遗传毒性和对病原体的抗菌活性。其中不同化学成分的植物精油也会影响其对有害生物的生物行为。近年来,有研究发现,安尼樟精油(aniba essential oils)通过触发更多的核酸和蛋白质的产生,可破坏包括黄曲霉、黑曲霉和茄病镰刀菌在内的8种植物病原菌的细胞膜。香菊油(asteriscus graveolens oil)可抑制引起枣树枯萎病的尖孢镰刀菌。黄荆精油(Vitex negundo essential oil)通过降低杂草的有丝分裂指数和染色体畸变百分比对杂草产生毒性,可用来防治野燕麦和稗草。精油还因其具有挥发性适合熏蒸而被用于控制昆虫。一些研究还发现,荷荷巴油(jojoba oil)浓度的增加会导致水稻象甲成虫死亡率的上升。除此之外,在印楝油(neem oil)纳米乳剂和柑橘油(Citrus sinensis oil)纳米乳剂中使用较高的表面活性剂浓度后也会增加蚊子幼虫的死亡率。由此可见,在农药制剂中不仅仅是农药有效成分对靶标生物有活性,其他成分也会有一定的影响。
溶剂油的选择除了能对农药有效成分起到溶解作用之外,还有可能达到协同增效的效果,从而减少化学农药的用量,这也是农药纳米乳发展的方向之一。

3. 乳化剂

纳米乳剂中的另一个重要成分是乳化剂,乳化剂能够降低表面张力,促使纳米乳剂的形成。乳化剂在体系中先在气液界面上定向排列,即极性基的一端插入水相,非极性基的一端插入气相,形成单分子膜。当乳化剂的浓度达到临界胶束浓度(CMC)后,开始转移到溶液中,形成大量分子有序聚集体即胶束。在水包油体系的胶束中,乳化剂的疏水基聚集成胶束内核,亲水的极性基团构成胶束外层。乳化剂的浓度只有在临界胶束浓度以上才能实现乳化作用。

乳化剂主要有4种类型:阳离子型、阴离子型、两性离子型和非离子型。在配制农药纳米乳剂中,非离子表面活性剂通常会被包裹到纳米乳剂中,是因为它们受pH和离子强度的影响较小。而对于阴离子表面活性剂而言,它可以与溶液之间发生黏合,这可以改变纳米乳剂的稳定性和尺寸。除此之外,表面活性剂的选择也与其HLB值有关。HLB值越高,表明表面活性剂在水中的溶解度越高,这有利于农药制剂的O/W配方,反之,则有利于W/O配方。在制备动力学稳定的纳米乳液时,表面活性剂的HLB值是要考虑的最重要的参数之一。

表面活性剂的添加量(质量分数)通常在1.5%~10%之间,制备纳米乳剂时普遍用量为5%。离子型表面活性剂的使用被认为改变了纳米乳剂中的静电电荷,从而导致低聚集。对比单一和复合表面活性剂对纳米乳剂形成的影响发现,混合表面活性剂能够产生更好的亲水-亲油平衡,增强表面活性剂层的柔韧性,并能在较高程度上分配到油水界面。研究还表明,非离子表面活性剂的混合不仅能产生理想的HLB值,而且对纳米乳剂的稳定性也有协同作用。

表面活性剂的存在降低了叶片的接触角,增加了叶片的润湿性。有研究表明,在农药制剂中使用较高浓度的表面活性剂,并不能保证在叶片上有较好的接触角,由于表面活性剂的性质不同,最佳润湿面积和接触角可能会有所不同。适当的表面活性剂含量可以形成最佳的粒径尺寸、稳定性、黏度特性和抗菌活性,这些都是对实际生产应用有研究价值的。

然而,在浓度非常高的情况下,过量的表面活性剂可能会产生毒性效应。为了更好地与带负电荷的植物叶片相互作用,离子液体已被确定为制备带正电荷纳米乳剂体系的新型表面活性剂。叶片的吸附机制对纳米乳剂的制备性能有重要参考意义,以便更精准的适应大田生产应用。


4. 助乳化剂


助乳化剂可以插入到乳化剂的界面膜中,降低界面张力,增大乳化剂的溶解度,有利于稳定纳米乳剂。理想的助乳化剂可调节乳化剂的HLB值,降低油水界面张力,使乳剂形成更小的液滴,从而提高纳米乳剂体系的稳定性。此外,助乳化剂的选择有时还决定纳米乳剂体系的毒性、药物动力学和药效学。其常常被用来作为乳化剂的补充,因为它们在胶束界面结构较弱的区域之间适当地匹配,强化了界面膜。常用助乳化剂有乙醇、乙二醇、丙二醇、丙三醇和聚甘油酯等。


二、纳米乳剂的制备


纳米乳剂一般由有效成分、溶剂或助溶剂、乳化剂或助乳化剂和水组成。当油、乳化剂和助乳化剂被确定之后,根据组分的性质以及所制备的纳米乳剂类型,可绘制出准确可靠的伪三元相图来确定各个组分的比例。若配方组成及比例不恰当,就不能很好地形成纳米乳剂。除此之外,纳米乳剂制备工艺也很重要,因为它能影响到所制备的纳米乳剂的粒径和性质,尤其是纳米乳剂的稳定性。现制备工艺主要分为高能乳化法和低能乳化法。

1. 高能乳化法


高能乳化法(High-energy emulsification method)需要外加能量,通过机械装置提供强大的破坏力来减小尺寸。高能乳化法有超声法、高压均质法和剪切搅拌法等。其主要缺点是仪器成本高,且产生的操作温度高,较高的温度有时不适用于不耐热农药活性成分的加工。


(1)超声法


超声法(Ultrasonic emulsification method)是采用探头超声仪,通过控制超声的频率和时间调节乳滴分散度,制备出不同粒径的纳米乳剂。在机械搅拌下,将油相加入到水相中,先制得粗乳液;然后在不同的超声振幅下对乳液进行短时间的超声处理,直至得到具有理想性能的纳米乳剂。
一般超声时间越长,乳化液的动能越大,颗粒尺寸越小。同时,表面活性剂的疏水性越强‚所需超声的时间越长。与其他高能乳化法相比,超声法所需的能量最少,但该技术的一个严重缺点是探头发热会产生铁屑并进入药液,从而引起污染,并且该方法只适合少量样品的制备。


(2)高压均质法


高压均质法(High pressure homogenization method)是利用高速均质机使粗乳液在高压下通过指定的阀门,在高压力的狭小空间内,通过高速撞击、剪切和空穴作用使油相和水相两相混合,制备得到粒径适宜的纳米乳剂。此方法高效且制备的纳米乳剂有良好的均一性,适用于工业生产,其不足之处在于能耗大,且由于在生产过程中会产生较高的温度,所以不利于不耐热的农药活性成分的加工。


(3)剪切搅拌法


剪切搅拌法(High-shear stirring method)是利用高剪切均质乳化机特殊设计的转子和定子,在它们之间的小间隙处,通过电机的高速驱动使液滴高速流动产生剪切力,从而生成纳米乳剂。由于操作简单、能耗低,剪切搅拌法比高压均质法更具优势。剪切搅拌法可以很好的控制粒径,且配方组成有多种选择。


2. 低能乳化法


低能乳化法(Low-energy emulsification method)不需要外加大量能量,是利用体系中各组分之间的内部相互作用,通过助剂改变界面能来使乳滴自发分散,从而形成纳米乳剂。这取决于乳化过程中表面活性剂的行为,减轻了制备过程中对农药活性成分的损失。低能乳化法所消耗的能量相比于高能乳化法要小的多,不仅节能,而且还缩短冷却时间,从而提高了乳化的效率。低能乳化法应用广泛,有很大的发展前景。不过低能乳化法有时会受溶剂类型和可供使用的乳化剂种类的限制。低能乳化法主要包括相转变温度法、相转变组成法、逐滴滴加法、自发乳化法等。


(1)相转变温度法


相转变温度法(Phase inversion temperature method,PIT)是利用表面活性剂在水/油中的溶解度随温度变化而变化,最终形成纳米乳剂的方法。它涉及从W/O到O/W乳状液通过中间双连续相的有序转化或相反转化。首先将水相和油相一次性混合,再利用非离子型乳化剂在不同温度下的疏水性和亲水性不同而形成的不同的乳液。通常这类乳化剂的疏水性随着温度的升高而增强,当温度低于体系的相转变温度时,非离子型乳化剂亲水性增强,从而形成O/W型乳液;当温度高于体系的相转变温度时,乳液发生相反转,则变成W/O型乳液。由于该方法需要改变体系温度,所以对温敏农药活性成分不能使用,相应的只适用于对温度敏感的表面活性剂,如聚氧乙烯类表面活性剂。同时良好的水、油、表面活性剂和农药活性成分的互溶性是促进相变顺利进行的前提。此外,除了温度,其他参数如盐的浓度及pH值亦会对乳化产生影响。


(2)相转变组成法


相转变组成法(Phase inversion composition method,PIC)是温度不变,通过改变体系中水相和油相的组成而形成纳米乳剂。任何表面活性剂都可以应用于PIC法。乳液制备初始的体系为油相,之后把水相持续地加入到油相中,当油相过剩时即形成W/O型乳剂。之后随着水相的持续添加,比例增大,表面活性剂的曲率(指弯曲程度的数值,曲率越大,表明弯曲程度越大)改变,水滴逐渐聚结在一起,在相转化点时,表面活性剂会形成层状结构,此时的表面张力最小,有助于形成非常小的分散乳滴。
在乳剂相转化点过后,随着水相的进一步增加形成O/W型乳剂。对于相转变组成法,在适当的温度、搅拌速率及滴加速度情况下,纳米乳剂粒径基本取决于乳化剂与油的比例。


(3)逐滴滴加法


逐滴滴加法(Dropwise addition method)指温度一定的情况下,将乳液的内相逐渐滴加到体系中,与PIC法操作类似,但是滴加的是内相,因此滴加过程中体系不会发生相反转,最终能制得内相含量很低的纳米乳剂。


(4)自发乳化法


自发乳化法(Spontaneous emulsification method)是将油相加入到水相中,充分混合后,再经过减压蒸馏去除有机溶剂,形成纳米乳剂。
这是一种由溶剂或表面活性剂的快速扩散而引发的组分之间的相互作用,该过程不改变体系中表面活性剂的曲率。在制备过程中,因油相和表面活性剂的浓度不同可生成基于表面活性剂、水和油3个组分的三元相图。三元相图所示的各向同性区域表示配方的各种组合。相图中所有可以形成纳米乳剂的区域中,选择表面活性剂浓度最小的点为最佳配方。油相和表面活性剂的性质以及油相与水相的混溶性等均会影响自乳化的过程,不同的体系会通过不同的机制形成纳米乳剂。除此之外,油的黏度、表面活性剂的HLB值和油相与水相的混溶性等是决定自发乳化法制备纳米乳剂质量的重要因素。自发乳化法操作简单、经济实用,但也有一定局限性,比如它要求油的含量低(一般是1%)、溶解油相的溶剂可以以任何比例与水混溶、油相中的溶剂能够除去等。


三、纳米乳剂的应用


1. 杀虫剂

杀虫剂在我国农药使用所占份额最大,高达38%,但是杀虫剂在防治农作物虫害中却存在一系列问题。首先,农药使用者在传统农药″除虫务尽″的害虫防治思想影响下,大多选择广谱、高效的农药品种,导致其在杀死靶标生物的同时对非靶标生物也造成了不同程度的伤害。
除此之外,由于杀虫剂的持效期短,有些农药使用者为达到理想的防治效果,随意加大用药量、任意增加施药次数,最终导致农药残留严重超标,同时加速了害虫抗药性的产生。另外,杀虫剂的许多剂型对害虫体壁的穿透效果不佳,从而影响药效的发挥,尽管乳油剂型对蜡质层较厚的昆虫体壁穿透效果较好,但却存在环境不友好、易产生药害等缺点。纳米乳剂在杀虫剂上的应用可有效应对上述挑战,它的小尺寸致使表面积增加,增强了纳米杀虫剂对幼虫的渗透性,提高了其功效。有些纳米乳剂还具有缓释性,可有效延长杀虫剂的持效期,并且对非靶标生物毒性大大降低。


Nisha等使用超声乳化法制备了蓖麻油O/W型纳米乳剂,用于防治疟疾载体库态按蚊Anopheles culicifacies,发现当蓖麻油含量(质量分数,下同)为10%、丙二醇为5%、表面活性剂Tween-80为14%、Span-20为4%以及蒸馏水为67%时,所制备出的纳米乳剂性能优异,平均粒径为114 nm,多分散度指数(PDI)为0.2,多分散度较低,表明所制备的纳米乳剂具有长期稳定性。此外,该蓖麻油纳米乳剂对库态按蚊的LC50值为3.4 mg/L,活性优于普通乳液的52.31 mg/L,这是因为纳米乳剂的小尺寸导致其总表面积增加,其对幼虫的渗透增强,提高了杀虫功效。Mishra等通过超声乳化法在制备氯菊酯O/W纳米乳剂时,将氯菊酯溶解于十烷酸甲酯等有机溶剂中作为有机相,以乳化剂(Tween-80)和超纯水的混合物作为水相,经组合试验发现,当有机相和水相的最终质量比为1∶3时,所制备的纳米乳剂平均粒径和zeta电位分别为(12.4±1.13)nm和(−20.4±0.56)mV,其在外部环境中的稳定时间为4 d,表现最佳。此外,在灭蚊浓度下其对非靶标生物,如斑马鱼的安全性较高。


为了防治储粮害虫赤拟谷盗Tribolium castaneum Herbst,Pant等通过低能乳化法,以质量分数(下同)为60%的卡兰贾树与麻风树凝胶的水滤液作为水相,以12%丙二醇、10%桉树油以及15%Tween-80作为油相制备了O/W纳米乳剂,平均粒径77 nm;同时发现用60%的卡兰贾树与麻风树凝胶的水滤液代替蒸馏水作为水相,可使桉树油的保质期延长,且制备的纳米乳剂的平均粒径显著降低,含滤液与不含滤液的纳米乳剂对赤拟谷盗的LC50值分别为0.1646和5.4872 mg/L,前者大大提高了对靶标害虫的生物活性。

He等首先合成了植物油基醇酸树脂(AR),再用原位反相乳化法制备了高效氯氟氰菊酯/醇酸树脂(LC/AR)纳米乳剂(图2),并研究了其性能。结果表明,LC/AR纳米乳剂的粒径为50~150 nm,最大载药量(质量分数)高达40.9%,包封率>90%;通过室温储存6个月、不同温度和离心方式等3个方面进行测试,发现其稳定性良好。与LC商业配方相比,LC/AR纳米乳剂表现出更好的控制释放特性,其释放受到LC含量、温度以及pH值的影响。此外,由于其具有较低的表面张力,制备的纳米乳剂与叶片有更强的相互作用,可观察到更强的黏附性。


图片
图2  高效氯氟氰菊酯/醇酸树脂(LC/AR)纳米乳剂的制备示意图


Feng等用质量分数为30%的吡丙醚和6%的不同乳化剂溶解于5%的烃类溶剂(S-100)中形成油相,先在磁力搅拌器上将去离子水滴入油相中,再在1,000 r/min下搅拌18 min,制备的吡丙醚纳米乳剂以用于防治家蝇。结果显示:以EL-20为乳化剂制备的吡丙醚纳米乳剂的外观均匀,粒径最小,稳定性最好(图3);与其水乳剂和乳油相比,吡丙醚纳米乳剂具有更持久的防治效果;吡丙醚纳米乳剂具有较高的化蛹抑制率和100%羽化抑制率;在7和14 d时,吡丙醚纳米乳剂对蚯蚓(实验动物)的LC50值分别为1,450.63和804.19 mg/kg,表明它们对蚯蚓的低急性毒性和环境友好性;吡丙醚纳米乳剂具有比水乳剂与乳油更低的细胞凋亡率(5.29%)。





Du等以月桂酸甲酯为油相,以烷基聚糖苷(APG)和聚氧乙烯-3-月桂醚醚(C12E3)为混合表面活性剂,形成了适合农药输送的生物相容性O/W型纳米乳剂。此外,他们还通过测量不同时间间隔的液滴尺寸,系统研究了APG和C12E3质量比、油重分数和总表面活性剂质量分数对纳米乳剂液滴尺寸分布和稳定性的影响,发现当APG和C12E3的质量比为6∶4时,所形成的纳米乳剂具有最低的液滴尺寸和较高的动力学稳定性。在此基础上,他们将水不溶性农药β-氯氰菊酯(β-CP)掺入到两种优化的纳米乳剂体系中,动态光散射(DLS)和透射电子显微镜(TEM)测定结果表明,β-CP的掺入对两种纳米乳剂的液滴尺寸(图4)和稳定性无显著影响。含β-CP的纳米乳剂在稀释后尽管液滴尺寸增加,但在整个稀释过程中乳液均匀保持稳定,从接触角和动态表面张力测量结果也可以看出稀释后的纳米乳剂在疏水表面具有良好的润湿和扩散性能。



图片

图3  不同乳化剂制备的吡丙醚纳米乳剂在显微镜下的照片


图片

图4  无β-氯氰菊酯(A和C)和载β-氯氰菊酯(B和D)纳米乳剂的透射电镜图



张红制备了聚氨酯负载非水溶性农药(如阿维菌素、高效氟氯氰菊酯等)的新型水性缓控释纳米乳剂,选择聚氨酯为载体是因为其所具备的特殊的硬段与软段可形成微区结构、可形成氢键、原料易得等,最终制备的缓控释农药纳米乳剂中载药微粒的平均水合粒径为20~300 nm,载药量可达60%,包封率不小于85%。乳剂体系稳定性和分散性好,缓释性突出,叶面沉积率高,农药活性高,药物流失率低,且载体可降解,对环境污染少,毒性低,安全、高效。覃和通过相反转和减压蒸馏处理制备了醇酸树脂/农药(非水溶性农药,如辛硫磷、氯吡硫磷等)纳米乳剂,其中非水溶性农药、醇酸树脂和水的质量比为(0.01~25)∶(9.99~49.99)∶(50~90)。


该纳米乳剂中载药微粒的水合粒径为30~250 nm,载药量为0.01%~50%,包封率不低于90%,制备的纳米乳剂具备良好的分散性和稳定性,其叶面附着性好、持效期长、生物利用率高,同时具有缓控释性能,且载体可生物降解、绿色环保、安全高效。Heydari等利用高能超声工艺制备了以野生薄荷油为油相、非离子表面活性剂(Tween-80)和水组成的O/W型纳米乳剂,采用了多元线性回归方法估计所选因素的模型系数,最终推断出纳米乳剂的制备主要取决于表面活性剂和精油的使用含量,优化后的配方为体积分数1%的薄荷精油和体积分数3%的非离子表面活性剂(Tween-80)。除此之外,他们对纳米乳剂的稳定性进行了长达1年时间的测试,发现所有配方的纳米乳剂均具有长期稳定性,通过生物测定发现,制备的纳米乳剂对棉蚜具有较高的触杀毒性。


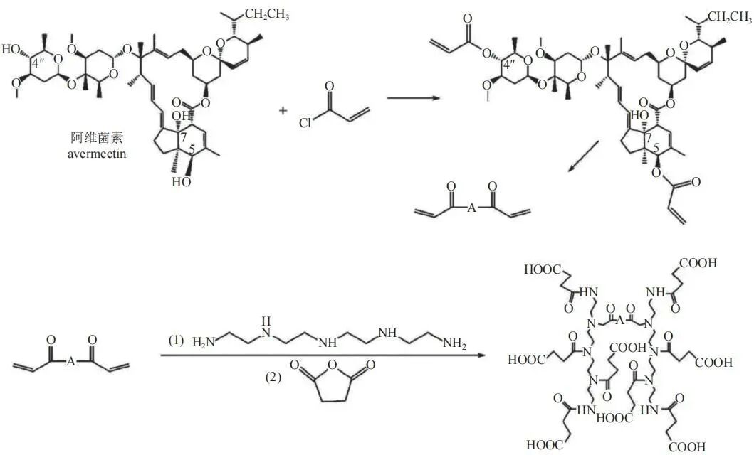
Feng等采用低能乳化法制备了阿维菌素O/W型纳米乳剂,通过改变表面活性剂的类型和浓度,研究了HLB值和表面活性剂用量对纳米乳剂形成和稳定性的影响,最终确定最佳配方(质量分数)为2%阿维菌素和质量分数5%蓖麻油聚氧乙烯醚(EL-40)溶于质量分数7.5%碳氢化合物溶剂(S-200)中,用去离子水补足至100%;由该配方制备的阿维菌素纳米乳剂表现出较小的动态接触角,从而具有良好的润湿性和扩散性;与阿维菌素乳油(EC)和微乳液(ME)相比,阿维菌素纳米乳剂对小菜蛾3龄幼虫的LC50值最低(0.0686 mg/L),不仅提高了杀虫活性,且对树状突细胞毒性较低。关文勋等利用阿维菌素的2个活性羟基,连续与丙烯酰氯、四乙烯五胺和琥珀酸酐反应,制备了带有酯键并对药物亲和性高的乳化剂前体,进一步制备出阿维菌素纳米乳剂(图5)。




图片

图5  乳化剂前体的合成工艺方法



纳米乳剂的粒径可以通过改变乳液载药量或乳化剂中和程度(乳化剂与三乙醇胺的比例)来调节。当n(乳化剂)∶n(三乙醇胺)=1∶12时,平均粒径小于100 nm,PDI值也明显减小。随着载药量的逐渐增大,乳液的平均粒径和PDI值也逐渐增大。所制备的阿维菌素纳米乳剂具有耐光解、低表面张力和高的叶面亲和性。在酯酶存在或强碱性条件下,乳化剂的酯键发生水解,从而促进阿维菌素从颗粒中的释放,其LC50值小于阿维菌素乳油的LC50值,故杀虫效果优于乳油剂型。

Ya-Ali等通过两段均质法制备防控四纹豆象Callosobruchus maculatus的塔斯马尼亚蓝胶(Tasmanian blue gum)精油纳米乳剂,分别以阿拉伯胶与Tween-80为表面活性剂和以Span-80与Tween-80为表面活性剂制备了两种纳米乳剂,二者均能使精油的稳定性显著增强。此外,精油在纳米制剂中的杀虫效果明显大于其直接使用的杀虫效果。Mossa等首次通过超声乳化法处理35 min制备了平均粒径为93.4 nm大蒜精油纳米乳剂,乳化液滴尺寸大小、稳定性与乳化时间、大蒜油和Tween-80的比例有关。该纳米乳剂对两种类型的橄榄螨A. Oleae和T. Hassani均有较高的杀螨活性,其LC50值分别为298.225和309.634μg/mg,且对大鼠等哺乳动物无毒。唐仕等通过乳化相转变法制备了O/W型联苯菊酯纳米乳剂,纳米乳剂体系的颗粒为球形,粒径主要分布在25~30 nm,在石蜡表面的接触角小于90°,表面张力低于40 mN/m,润湿性、乳化性以及稳定性好,提高了联苯菊酯的利用率。

2. 杀菌剂


植物病害化学防治的策略包含预防为主、综合防治和科学用药3个方面的核心内容,其中预防为主的策略就是要坚持在病原菌侵染之前或侵染后的早期使用杀菌剂,把病害的发生控制在较低水平,充分发挥化学防治的效果和延缓抗药性群体的形成。
要达到预防的目的,药剂就要均匀地施用于寄主植物或器官上,使植物表面形成一层药膜,进而阻止病菌侵染。将水溶性差的杀菌剂制备成纳米乳剂体系不仅可以提高其溶解度,还可以降低表面张力,增强在植物表面的润湿性,从而大大提高农药对叶片的附着力,提高防治效果。


Yang等使用高压微射流制备了丁香酚、香芹酚和桂皮醛O/W型纳米乳剂。以质量分数为2%的Tween-80去离子水溶液为水相,以m(丁香酚)∶m(香芹酚)∶m(肉桂醛)=1∶1∶1的混合物为油相,按m(油相)∶m(水相)=1∶9混合制备出O/W型纳米乳剂。结果表明:所制备的纳米乳剂粒径均一,具有良好的离心稳定性,其最低抑菌浓度(MIC,0.125 mg/mL)和最低杀菌剂浓度(MFC,0.25 mg/mL)值均具有显著的抑菌效果;经该纳米乳剂处理后,青霉Penicillium digitatum孢子萌发受到明显抑制,菌丝形态发生剂量依赖性改变,细胞膜通透性发生改变。此外,用该纳米乳剂进行涂膜处理,可降低柑橘果实腐烂率、失重率和呼吸速率;同时可溶性固形物、维生素C和可滴定酸含量降解延迟,抗氧化酶活性在采后贮藏过程中也明显升高。王泊理通过高压均质法结合纳米粒子包埋技术制得含三氟咪啶酰胺和氟吡菌酰胺的纳米乳剂。通过乳化剂的筛选和优化,最终确定乳化剂由硬脂酸钾和甲基葡萄糖苷倍半硬酯酸酯按2.5∶1~4∶1的质量比组成。制备的纳米乳剂分散均匀,稳定性好,能达到长效缓释的效果,对线虫的防治有明显的增效作用,既可以减少农药使用量,又可以减缓抗性,有利于节省农药成本、减轻对环境的污染。


Ali等通过自发乳化法先制备出O/W型印楝油初乳液与O/W型香茅油初乳液,发现表面活性剂与印楝油或香茅油比值的增加会导致粒径尺寸的减小,最终确定油、表面活性剂和蒸馏水制备初乳剂的最佳质量比例为0.50∶1∶8.50,再进一步制备添加不同比例香茅油的印楝纳米乳剂,其粒径在(11.23±3.86)nm和(17.80±4.52)nm之间,添加不同比例印楝油的香茅油纳米乳剂,其粒径在(8.12±2.80)nm和(12.04±3.74)nm之间。此外,通过对水稻纹枯病菌Rhizoctonia solani和白绢病菌Sclerotium rolfsii进行离体抗真菌试验,发现NNE10(印楝油初乳液+质量分数为5%香茅油)与CNE10(香茅油初乳液+质量分数为5%印楝油)的活性最强。


Septiyanti等通过高能乳化法制备了具有抗菌活性的丁香酚和长星花Isotoma longiflora提取物混合的纳米乳剂,研究了不同HLB(5~7)、不同的Span-85和Tween-80比例下丁香酚与长星花提取物配伍的纳米乳剂的稳定性。结果显示:最稳定配方(质量分数)为99%丁香酚与1%长星花提取物,表面活性剂为60%Span-85和40%Tween-80组合,溶剂为乙醇(比例1∶5),采用该配方制备的纳米乳剂粒径为(288.7±9.2)nm,PDI为0.339±0.055。Nandini等通过超声乳化法制备了以木霉膜质、非离子表面活性剂Tween-80和水等为原料的纳米乳剂,得到的粒径在5~51 nm之间;通过分析木霉膜质纳米乳剂对珍珠栗种子生长参数和诱导珍珠栗霜霉病抗病性的影响发现,纳米乳种子能引发显著自我保护和提高早期防御基因的表达水平。表明新型纳米乳剂配方所提供的保护是系统性和持久的,这为防治卵菌病害提供了一种新的可持续方法。


Kumari等以天然皂苷为表面活性剂通过超声法制备了稳定百里香酚的纳米乳剂(图6)。结果发现:与10、20、30和40 min的超声处理相比,50 min的超声处理可得到更为稳定的纳米乳剂,液滴平均粒径为(274±2)nm(图7),PDI为0.1,zeta电位为‒31 mV,表明超声时间可大大影响纳米乳剂的粒径、尺寸分布以及稳定性;所制备的百里酚纳米乳剂具有显著的抗菌作用和促进植物生长活性,能稳定贮存3个月。该研究结果也证明,纳米乳剂可用于提高脂溶性原药的有效输送和高效的生物利用度。



图片

图6  百里香酚纳米乳剂的假设模型


图片图7  百里香酚纳米乳剂在40000×(a)与80000×(b)下的Cryo-FESEM图




Pongsumpun等通过响应曲面法(RSM)测定了制备肉桂精油纳米乳剂最佳的配方和超声波条件。最终确定了采用超声探针(功率400 W,24 kHz)在超声时间为266 s、温度为4.82℃、Tween-80质量分数为3%时得到的肉桂精油纳米乳剂性能最佳,平均粒径为65.98 nm,PDI为0.15,黏度为1.67 mPa·s;在4、30和45℃下保存90 d,该纳米乳剂在粒径和PDI方面均具有良好的稳定性;与肉桂精油相比,肉桂精油纳米乳剂对黑曲霉、根霉、青霉等具有更好的抗真菌活性。Pandey等以去离子水作为水相,以质量分数为10%的薄荷油与5%的Tween-80混合物作为油相,通过高能超声法制备了薄荷油纳米乳剂,液滴呈球形,平均粒径小于100nm,其对番茄早疫病Alternaria solani的防治效果优于与化学杀菌剂多菌灵。


Long等通过超声法制备了功能性大蒜油纳米乳剂,用来防治意大利青霉菌Penicillium italicum。首先,通过对表面活性剂Tween-80和Span-80组合的筛选,确定制备大蒜油纳米乳剂的最佳HLB值为14。然后,按照中心组合设计法制备了大蒜油纳米乳剂,并通过测试不同制备参数对纳米乳剂的稳定性、抑菌活性和平均粒径的影响,最终选出大蒜油质量分数为5.5%、表面活性剂Tween-80和Span-80的混合质量分数为10%、超声时间为5 min、超声功率300 W为最优制备条件。该条件下制备的大蒜油纳米乳剂粒径最小,平均粒径为52.27 nm,且抗菌活性最好,稳定性最高,其对柑橘青霉的抑菌活性优于大蒜素,制备成纳米乳剂后大蒜素的MIC由3.7%变为0.013%,生物利用度提高约300倍。




Marei等首先通过高能超声法把低分子质量的壳聚糖和柠檬醛以不同比例混合,制备成粗乳液;再通过超声乳化最终制备了壳聚糖/柠檬醛纳米乳剂(图8),PDI为0.508~0.614,粒径为27~1,283 nm。壳聚糖和柠檬醛的质量比不同会显著影响乳剂粒径的大小。当壳聚糖与柠檬醛的质量比为1.0∶0.1时,纳米乳剂的粒径最小(平均液滴粒径为27.0 nm),抗菌活性最高,其对胡萝卜软腐欧文氏菌Erwinia carotovora、黑曲霉菌Aspergillus niger和匍枝根霉菌Rhizopus stolonifer的EC50值分别为23、278和221 mg/L。Abd-Elsalam等通过高能超声法制备了由水、Tween-20和丁香酚油组成的纳米乳剂,用于防治棉花枯萎病。在透射电镜下显示,丁香酚油纳米乳剂呈球形,液滴的平均粒径为80 nm。在室温(25℃)下,纳米乳剂的物理稳定性可达30 d以上。生物测定结果表明,丁香酚纳米乳剂对棉花枯萎病菌Fusarium oxysporum f. sp. vasinfectum具有明显的抑制作用。


图片

图8  壳聚糖/柠檬醛纳米乳剂的制备示意图



3. 除草剂

随着植物生理、生化技术、化工合成等领域的发展,除草剂发展也十分迅速,与其他农药一样,除草剂高频率、高剂量地使用,会伴随产生许多不利的影响,诸如除草剂对环境的污染、对当茬或后茬作物的药害、作物上的残留、杂草的抗药性等。近年来抗药性杂草种群的蔓延以及药害问题,给农业生产带来较大的影响。通过前人的研究发现,把除草剂加工成纳米乳剂可以增强除草剂在杂草中的渗透性,进而提高除草活性,减少农药的使用量。在农药减施增效的大背景下,纳米乳剂有望在除草剂绿色防控与精准除草方面发挥重大作用。

Lim等制备了草甘膦异丙胺盐纳米乳剂,粒径小于200 nm,已被证明能增强药物在给药系统中的渗透性。对制备的纳米乳剂生物活性研究,发现在匍匐狐狸草(creeping foxglove,2.9~3.5 ng/cm2)、细长纽扣杂草(slender button weed,2.6~2.9 ng/cm2)和水牛草(buffalo grass,1.8~2.4 ng/cm2)上的沉积量显著低于朗达普(Roundup,市售商品,3.7~5.1 ng/cm2),但在处理后14 d后,纳米乳剂处理的杂草损伤率与朗达普相当,其防控范围为86.67%~96.67%。由此推测,具有相同损伤率的喷雾沉积量的显著差异可归因于纳米乳剂生物活性的增强。

Zainuddin等通过高能乳化法制备了棕榈油负载银胶菊粗提取物的纳米乳剂。首先,利用混合实验设计法对其进行配方优化,确定最佳配方组成(质量分数)为棕榈油为30.91%、混合表面活性剂(Tensiofix与Tween-80的质量比值为8∶2)28.48%、水28.32%和银胶菊粗提取物12.29%。在最优条件下,得到的纳米乳剂粒径为140.10 nm,其在离心和不同贮藏条件下(25℃±5℃和45℃)均表现出良好的稳定性(无相分离);在离体萌发试验中,与银胶菊粗提取物(10 g/L)相比,银胶菊纳米乳剂在较低质量浓度下(5 g/L)即可对聚角草种子有完全抑制作用。Balah等首先分别制备了野生型百里香精油、栽培型百里香精油以及马乔莲精油的粗乳液;然后通过添加助表面活性剂及经过多次涡旋和超声处理后得到了相应的呈透明或半透明状的纳米乳剂,粒径分别为12.0、22.4和5.3 nm,除草活性测试结果表明,马乔莲精油纳米乳剂对田旋花表现出较强的除草活性。这表明纳米乳剂在多年生杂草防治上具有一定的应用前景。

4. 其他

除了在杀虫剂、杀菌剂、除草剂等有较多应用之外,纳米乳剂在农药其他方面也有所应用,如植物生长调节剂。植物生长调节剂具有天然激素生理活性,是用于调节植物生长发育的一类农药,具有用量小、效益高、毒性低和残留少等优势。纳米乳剂在植物生长调节剂中的应用研究报道较少,但纳米乳剂较好的润湿性、渗透性、环境友好性以及缓释增效等特点,可有效提高农药利用率,给纳米乳剂在植物生长调节剂上的应用提供了广阔的前景。Surendhiran等通过高压均质法,在不同高压均质条件下制备了原料为甲基纤维素(可降解聚合物)、维生素E和表面活性剂Tween-80的纳米乳剂,发现在40,000 MPa下所制备的纳米乳剂的粒径最小,为157.5 nm;用不同浓度的甲基纤维素纳米乳剂对种子进行浸泡处理,发现40mL/kg纳米乳剂包衣种子具有较高的吸胀率、出苗速度、发芽和活力指数。



表1  纳米乳剂在农药上的应用实例

图片


四、总结与展望

图片


纳米农药具有纳米尺寸、低表面张力、高渗透性等优点,可以提高药效,改善农药活性成分的稳定性,促进对靶沉积,减少有效成分的流失,提高农药利用率。利用纳米技术制备出高效、安全、低残留的纳米农药已成为绿色农药创新发展的必然趋势。针对水溶性差甚至疏水性农药可制备成纳米乳剂,有利于提高难溶药物的溶解度从而实现活性成分的有效输送。

除此之外,配合特殊的表面活性剂以及制备工艺,还可以使一些易光解农药耐光解,且起到缓释作用,具有减少农药的施药次数、提高农药的持效期、减少对环境的污染以及降低对非靶标生物的危害等优点。在农业农村部提出农药零增长行动方案的背景下,开发出提高药效与控制释放相结合的功能化、智能化纳米乳剂,使农药的释放剂量与病虫害防治剂量需求基本一致,是当前提高农药利用率、降低环境污染的一个重要且有前景的发展方向。

目前,国内外针对纳米乳剂农药的研究已经取得了一定的进展,同时也存在一系列问题亟待解决。笔者对国内外农药纳米乳剂载药体系的构建进行了综述,但是同为纳米级别的剂型,纳米乳剂与微乳剂之间的界限目前还存在较大争议。如前人研究所言,微乳剂是热力学稳定体系,且制备方法简单,只需简单搅拌即可形成。而纳米乳剂是热力学亚稳定状态,其制备方法有高能法与低能法。除此之外,两者的粒径大小也有差异,微乳剂的粒径一般界定为1~100 nm,而纳米乳剂的粒径范围有较大争议。

有学者认为纳米乳剂的粒径在20~500 nm之间,也有学者认为其粒径大小与微乳剂相当,目前国内外研究人员制备的农药纳米乳剂体系大多在20~500 nm之间。但笔者认为纳米乳剂在农药领域的田间应用需要兑水稀释,应着重关注其兑水稀释后的粒径大小更为合适。有些纳米乳剂体系出于增强其体系稳定性等原因,研究人员可能会在配方中添加增稠剂如黄原胶等,笔者曾研究过加入黄原胶对纳米乳剂体系粒径的影响,结果是黄原胶的加入会明显改变体系的粒径大小以及PDI,但几乎不影响兑水稀释后的粒径尺度。笔者认为纳米乳剂兑水稀释后粒径尺度范围的规定要根据最佳生物效应粒径尺寸而定,可能并不是粒径越小越好。但国内外研究人员所构建的农药纳米乳剂载药体系大多缺乏稀释稳定性数据,所以稍有不足。

如上所言,讨论纳米乳剂与微乳剂实质区别要结合行业领域从实际应用去分析。如在医药领域,若静脉注射给药,当药物进入到血液中会遇到稀释以及温度变化等情况,对于微乳剂而言,其对温度以及稀释敏感,当温度达到微乳剂稳定的极限或药物被稀释导致油和表面活性剂的相对浓度降低,最终导致微乳体系被破坏,就会造成药物在血管中沉淀。而纳米乳剂对温度不敏感且稀释后仍保持稳定,所以纳米乳剂在注射给药方面可发挥重要作用。在食品领域,纳米乳剂体系的构建多用于提高不稳定物质的稳定性以及改善口感等,大多不需要兑水稀释即可食用,所以从这个角度而言,区分微乳剂与纳米乳剂的意义不大。在化妆品领域,其实际应用场景是皮肤涂抹透皮吸收,由于两者皆具有纳米级粒径,都能显著提高透皮吸收效果,所以无需区分微乳剂与纳米乳剂的差异,更有些化妆品行业的相关综述把纳米乳剂与微乳剂混为一谈。


而在农药领域,纳米乳剂与微乳剂的实际应用场景均需兑水稀释,所以关注稀释稳定性对药效的影响尤为重要。市场上许多高含量微乳剂存在稀释后粒径变大现象,甚至静置几小时后粒径与水乳剂相当,大大失去了微乳剂本身的意义,所以关注纳米乳剂与微乳剂稀释稳定性的差异对药效尤为重要。除此之外,任何一种新剂型的出现都应该有其优势所在。在倡导环保、绿色的大环境下,悬浮剂、水乳剂、微乳剂等水基化剂型逐步替代环境不友好的乳油,微乳剂由于纳米尺度粒径具有分散性好、药效高等优势,但配方中需要大量的表面活性剂,也对环境造成一定的污染,成为了微乳剂的一大缺陷。纳米乳剂的出现应改善微乳剂这一不足,大大降低表面活性剂用量,减少对环境的污染,这也应该是区分纳米乳剂与微乳剂的一个重要指标。


综上所述,微乳剂与纳米乳剂实际应用中最大的区别在于稀释稳定性(具体稀释后的粒径范围应根据最佳生物效应粒径尺寸而定)以及表面活性剂的用量。除此之外,农药纳米乳剂的发展还存在其他因素的制约。从工业生产角度而言,纳米乳剂的生产成本制约其产业化发展。高能制备方法所涉及的仪器比较昂贵,生产出的纳米乳剂农药产品的售价势必较高,不利于纳米乳剂农药的推广使用;从科研工作者的角度而言,配方中有机溶剂、表面活性剂的毒性也是需要考虑的因素,选择无毒、绿色、价格低廉的有机溶剂和表面活性剂,是科研工作者需要努力的方向。


除此之外,若使用低能乳化法同时还要降低表面活性剂的用量,就需要科研工作者筛选甚至制备出高效的表面活性剂品种;从靶标生物角度而言,研究靶标生物对纳米乳剂农药的吸收和转运整个动态过程存在一定困难。纳米乳剂进入靶标生物体内的互作机制、降解代谢变化等行为较为复杂,增加检测难度,对分析纳米乳剂的药效、抗药性发展、甚至小尺寸效应是否带来新的毒理学效应等带来挑战。相信随着科研工作者研究的不断深入,农药纳米乳剂会在制剂学领域得到更广泛的应用,为农业绿色高质量发展提供重要支撑。

来源:《农药学学报》2022年第6期