异噁唑虫酰胺(Isocycloseram,开发代号:SYN547407)是由先正达研发的双芳基异噁唑啉类杀虫杀螨剂,与氟噁唑酰胺(Fluxametamide)在化学结构上高度相似。异噁唑虫酰胺是一种含有2个手性中心,4种活性异构体的混合物,其中(5S,4R)型异构体活性最高。
异噁唑虫酰胺为γ-氨基丁酸(GABA)受体非竞争性抑制剂,国际杀虫剂抗性行动委员会(IRAC)将其归类为第30组。目前该组成员还包括首个进入该组的双酰胺类的溴虫氟苯双酰胺(Broflanilide,巴斯夫)、同为异噁唑啉类的氟噁唑酰胺(Fluxametamide,日产化学)、间二酰胺类的环丙氟虫胺(Cyproflanilide,泰禾),因此与大部分杀虫剂无交互抗性。
异噁唑虫酰胺杀虫谱广,可用于棉花、蔬菜、果树、玉米、烟草等,防治半翅目、鞘翅目、鳞翅目、双翅目、缨翅目害虫,以及害螨等,如斜纹夜蛾、小菜蛾、烟草蓟马、蚜虫、红蜘蛛等,且对蜜蜂等授粉昆虫有良好的安全性。除此之外,还可以作为种子处理应用。
异噁唑虫酰胺中文化学名称:4-[5-(3,5-二氯-4-氟苯基)-4,5-二氢-5-(三氟甲基)-3-异噁唑基]-N-(2-乙基-3-氧代-4-异噁唑烷基)-2-甲基苯甲酰胺;
中文通用名称:异噁唑虫酰胺;
ISO通用名称:Isocycloseram;
IUPAC名称:4-[5-(3,5-dichloro-4-fluorophenyl)-4,5-dihydro-5-(trifluoromethyl)-3-isoxazolyl]-N-(2-ethyl-3-oxo4-isoxazolidinyl-2-methylbenzamide;
CAS登录号:2061933-85-3;
分子式:C23H19Cl2F4N3O4;
相对分子质量:548.31。
结构式见图1。

图1 异噁唑虫酰胺的结构式
异噁唑虫酰胺作用机理新颖,是γ-氨基丁酸(GABA)门控氯离子通道变构调节剂,破坏昆虫神经冲动的正常传导,导致昆虫过度兴奋和抽搐。其可通过接触和/或摄取作用于所有昆虫和螨类,症状包括麻痹和休止状态。
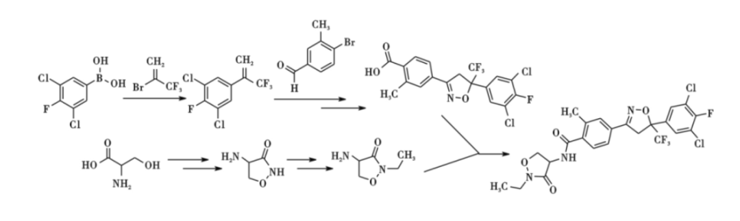
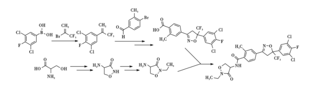
查询相关文献,目前合成路线主要有两条(图2、图3)。
1. 以4-溴-2-甲基苯甲酸为原料经多步反应制得异噁唑琳中间体G;以D-环丝氨酸为原料经3步反应制得异噁唑啉酮中间体H,最后中间体G和H缩合酰化反应制得终产物。

图2 异噁唑虫酰胺合成路线
2. 使用异噁唑啉酮替换三氟甲基酰胺链,或者是通过合环衍生,最终优化得到。

图3 异噁唑虫酰胺合成路线
刘少武等发明公开了一种含有A、B两种活性组分的杀虫杀螨组合物及其应用,活性组分A选自乙唑螨腈;活性组分B选自dimpropyridaz、acynonapyr或isocycloseram。组合物中A、B两活性组分的重量份数比为1:50至50:1。
该组合物具有明显的增效作用,延长了防效,减少了农药用量,害虫害螨不易产生抗药性,可应用于多种作物的多种害虫、害螨的防治。
目前先正达已在阿根廷、澳大利亚以及加拿大正式启动了异噁唑虫酰胺的全球登记工作,未来还将在40多个国家和地区面向40多种作物上进行商业推广,包括大豆、玉米、水稻、咖啡、棉花以及各种水果和蔬菜。
澳大利亚:
2021年11月18日,异噁唑虫酰胺原药在澳大利亚获得全球首个登记;2022年11月9日,异噁唑虫酰胺的单剂产品100g/L 可分散液剂(DC)在澳大利亚获准登记,用于控制蔬菜中的某些昆虫和螨类。

加拿大:
2021年,共有10家企业提交了异噁唑虫酰胺的相关产品登记,但截止目前,还未获批登记。

作为第二款农用异恶唑啉杀虫剂,异噁唑虫酰胺有望于2023年上市,预计其年峰值销售额将达0.75亿美元。未来该产品将与双酰胺类杀虫剂在主要可耕地作物、特种作物、蔬菜上形成一定的竞争态势。
来源:农博生物