在纯粹的杀螨剂市场,销售额过亿美元的产品并不多。2018年,全球杀螨剂市场的前三大产品分别为:螺螨酯(spirodiclofen)、螺甲螨酯(spiromesifen)、丁醚脲(diafenthiuron),其销售额分别为:1.25亿、1.19亿、0.95亿美元。尤其是拜耳研发的螺螨酯和螺甲螨酯,更是后来居上,市场地位超越了曾经的榜首产品丁醚脲,与螺虫乙酯合称拜耳“螺氏三兄弟”。
螺螨酯是拜耳公司研制并开发的第一个螺环季酮酸类杀螨剂,由拜耳公司在筛选除草剂的基础上发现并开发。螺螨酯属于生长发育抑制剂,具触杀作用,无内吸活性。与快速击倒的杀螨剂相比,药效较慢;与几丁质昆虫调节剂类杀螨剂相比,药效较快。但螺螨酯持效期较长,可配合速效型杀螨剂使用。螺螨酯与现有杀螨剂有着完全不同的作用机制,与其他杀螨剂无交互抗性,因此应用前景十分广阔。
2003年上市的螺螨酯,一路高歌猛进,2008年便成功取代老牌杀螨剂炔螨特,以10.7%的份额摘得杀螨剂市场的头冠。2010年,更是以30%的增长率,迈入了亿万美元产品之列。在2004至2010年的6年间,螺螨酯的复合年增长率高达26%。出色的表现使得螺螨酯在上市十多年后依然抢手,2020年9月1日,美国高文公司宣布其英国分公司高文作物保护有限公司已与拜耳达成协议,高文将收购拜耳螺螨酯包括产品登记和商标在内的全球权利。此项交易已于2020年9月1日完成。
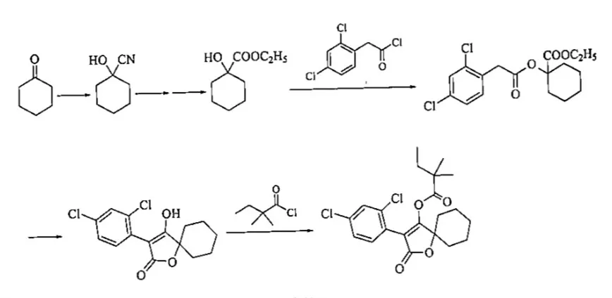
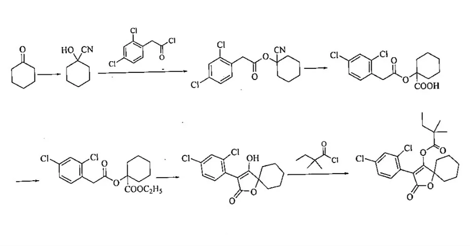
螺螨酯是由关键中间体3 -(2,4-二氯苯基)- 2 - 氧代-1-氧杂螺-[4,5]-癸-3-烯-4-醇与2,2-二甲基丁酰氯进行反应而得到的。其合成工艺路线,主要有以下两种:
方法1:以环己酮为原料,与NaCN加成后生成氰醇,氰基水解成羟基酸,进一步酯化,再与2,4-二氯苯乙酰氯反应生成环己酯,然后闭环反应,最后与二甲基丁酰氯反应得产品。其合成工艺路线如下图。

方法2:以环己酮为原料,首先与NaCN加成生成氰醇,然后和2,4-二氯苯乙酰氯反应,氰基水解成酸,再经酯化反应成环己酯,接着经闭环反应,最后与二甲基丁酰氯反应得到产品。其合成工艺路线如下图。

螺螨酯已在世界上50多个国家登记和上市。2002年在南非首先上市,用于柑橘;2003年,在巴西上市,用于咖啡、果树、橡胶和番茄等;同年,在日本登记并上市,用于预防柑橘红蜘蛛和锈螨;2003年还在荷兰取得了登记。
2004年,螺螨酯在中国获得在柑橘上的临时登记试验,2005年开始在中国销售。
2013年3月,石家庄兴柏生物工程有限公司获得国内首个螺螨酯原药登记,目前,国内螺螨酯有效登记产品199个,其中原药27个、单剂79项、复配制剂93项。在复配制剂中,螺螨酯与阿维菌素的复配为登记最多的复配类型,共59项;其次是与联苯肼酯组成的复配产品,有12项登记。
从登记作物和防治对象来看,螺螨酯产品主要登记用于柑橘作物(173项),少量登记用于樱桃(9项)、观赏月季(5项)、苹果(项)、棉花(2项)等。国内登记的防治对象只有三种,绝大部分登记用于防治红蜘蛛(191项,95.98%),其余为二斑叶螨、锈壁虱。
目前共有138家企业持有含螺螨酯产品登记证,其中有27家具备原药登记证。国内原药的主要产能集中在永农生物1000吨/年和山东康乔800吨/年,价格已由2017年的18万元/吨左右回落到目前14万元/吨左右。
乙螨唑与螺螨酯都是持效期比较长的杀螨剂,对卵、幼若螨有效,但都对成螨无效,持效期都可达30天以上。乙螨唑在低温条件下防效稳定,到了4月底5月份基本就不用了,开始用螺螨酯等其他杀螨剂。这两种杀螨剂复配阿维菌素或助剂都有一定的增效作用,并在螨害发生初期使用效果更佳。
乙螨唑:首要防治苹果、柑橘的红蜘蛛,对棉花、花草、蔬菜等作物的叶螨、始叶螨、全爪螨、二斑叶螨及朱砂叶螨等螨类也有很是好的防治结果。
螺螨酯:对黄蜘蛛、茶黄螨、红蜘蛛、锈譬虱、朱砂叶螨和二斑叶螨等都有很好结果,常用于葡萄和柑桔等果树以及辣椒、茄子、番茄等茄科作物的螨害治理,此外,螺螨酯对梨木虱、榆蛎盾蚡及叶蝉类等害虫也有很好的防治结果。
抗性发展是困扰杀螨剂市场的一大顽敌,也正是因此,杀螨剂市场总有新品面世。抗性发展及新产品面世不断改变着杀螨剂的市场格局。随着“螺氏三兄弟”之一的升级款产品螺虫乙酯专利到期,市场逐步打开,而螺虫乙酯与螺螨酯登记作物与应用靶标均有重叠,对螺螨酯市场份额将可能造成不小的冲击。未来螺螨酯是否还能继续给出优秀的市场表现,值得我们拭目以待。
来源:中农立华原药