6月27日,农业农村部农药检定所公示了2024年第7批拟批准登记农药产品,其中南通泰禾化工股份有限公司的98%环丙氟虫胺原药拟在国内首登,产品仅限出口到柬埔寨。
环丙氟虫胺(cyproflanilide)是南通泰禾在双酰胺类杀虫剂的基础上创制的间二酰胺类杀虫剂,具有高效、低毒、杀虫谱广、渗透性好、起效快、持效期长的特点,可有效防治甜菜夜蛾、小菜蛾、斜纹夜蛾、二化螟等鳞翅目害虫;天牛、叶甲等鞘翅目害虫;以及蓟马等。市场推广对标已上市的同为间二酰胺结构的溴虫氟苯双酰胺,环丙氟虫胺于2019年获得中国专利授权,目前已在包括美国、日本、巴西、德国等国家申请专利,市场前景看好。化学名称:N-[2-溴-4-(1,1,1,2,3,3,3-七氟丙烷-2-基)-6-(三氟甲基)苯基]-3-[环丙基甲基-(4-氟苯甲酰基)氨基]-2-氟苯甲酰胺 
三维结构式:

理化性质:原药为黄色固体;熔点:141.6-143.7;密度:1.6±0.1 g/cm3 ;沸点:516.9±50.0 °C at760mmHg;折射率:1.544;闪光点:266.4±30.1 °C
环丙氟虫胺属于γ-氨基丁酸(GABA)门控氯离子通道变构调节剂,通过变构阻断激活的γ-氨基丁酸氯离子通道,使害虫过度兴奋和痉挛最终导致死亡。环丙氟虫胺虽具有双酰胺结构,但确非为传统的鱼尼丁受体调节剂,其与溴虫氟苯双酰胺的IRAC分类归类为第30组,和目前最热的异恶唑啉类杀虫剂(异噁唑虫酰胺、氟噁唑酰胺、噁唑氟虫胺)为一组。
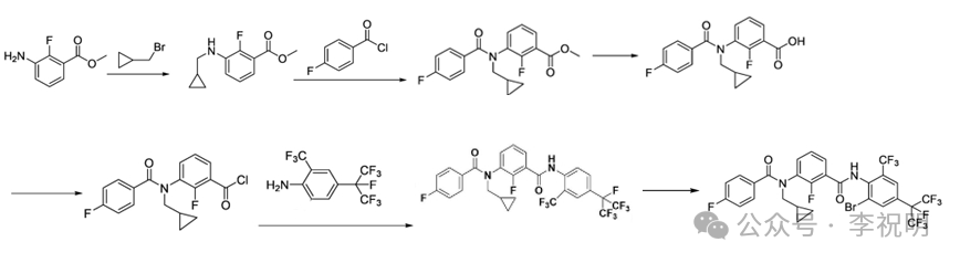
应用作物:水稻、玉米、棉花、大豆、果树、蔬菜等作物。靶标害虫:对于鳞翅目二化螟、稻纵卷叶螟、甜菜夜蛾、小菜蛾、草地贪夜蛾、苹果小卷叶蛾;鞘翅目跳甲、天牛;缨翅目蓟马等防效优异。可开发剂型:10%环丙氟虫胺DC、20%环丙氟虫胺SC、5%环丙氟虫胺EC、30%环丙氟虫胺WP泰禾在专利CN109497062A、CN116178198A中,报道了化合物环丙氟虫胺的合成路线(路线一)。通过对溴虫氟苯双酰胺和环丙氟虫胺的结构对比,在合成中可参照溴虫氟苯双酰胺的合成路线。路线一(泰禾路线):以2‑氟‑3‑氨基苯甲酸甲酯(合成可参照中国专利CN111320548A,也是重要的医药中间体,价格昂贵)为起始原料,)将3‑(N‑(环丙基甲基)‑4‑氟苯甲酰氨基)‑2‑氟苯甲酰氯和溴代十氟苯胺进行缩合反应,得到环丙氟虫胺。该路线环丙氟虫胺纯度可达到98.5%以上,总收率可达到74%以上(以2‑氟‑3‑氨基苯甲酸甲酯计)。合成路线如下:另一条是将3‑(N‑(环丙基甲基)‑4‑氟苯甲酰氨基)‑2‑氟苯甲酰氯和十氟苯胺进行缩合反应,得到3‑(N‑(环丙基甲基)‑4‑氟苯甲酰胺基)‑2‑氟‑N‑(4‑(全氟丙‑2‑基)‑2‑(三氟甲基) 苯基)苯甲酰胺,然后3‑(N‑(环丙基甲基)‑4‑氟苯甲酰胺基)‑2‑氟‑N‑(4‑(全氟丙‑2‑基)‑2‑(三氟甲 基)苯基)苯甲酰胺进行溴化反应,得到环丙氟虫胺。环丙氟虫胺的纯度可达到99.2%以上,总收率可达到 75%以上(以2‑氟‑3‑氨基苯甲酸甲酯计)。合成路线如下:路线中,原料4‑(全氟丙烷‑2‑基)‑2‑(三氟甲基)苯胺(即十氟苯胺)和2‑溴‑4‑ (全氟丙烷‑2‑基)‑6‑(三氟甲基)苯胺(即溴代十氟苯胺)可参照专利EP2319830A1中公开的方法制备得到。路线二:参照溴虫氟苯双酰胺的合成路线,以2-氟-3-硝基苯甲酸(可由邻氟硝基苯制得)为起始原料,与二氯亚砜发生亲核取代反应生成2-氟-3-硝基苯甲酰氯,然后与2-溴-4-(全氟丙-2-基)-2-(三氟甲基)苯胺(溴代十氟苯胺)反应,在环丙基甲醛和对氟苯甲酰氯(又名4-氟苯甲酰氯,也是合成杀菌剂氟马啉的中间体)的参与下,经5步生成目标产物环丙氟虫胺,合成路线如下:路线三:在路线二的基础上,2-氟-3-硝基苯甲酰氯选择与4-(全氟丙烷-2-基 )-2-(三氟甲基 ) 苯胺(十氟苯胺)发生缩合反应,经溴化等3步反应生成目标化合物环丙氟虫胺。合成路线如下:环丙氟虫胺虽然也具有双酰胺结构,但与溴虫氟苯双酰胺一样,都不属于鱼尼丁受体调节剂,其化学结构新颖,作用机制独特,与目前传统的双酰胺类杀虫剂不存在交互抗性,是优秀的双酰胺抗性管理工具。与现有鳞翅目害虫药剂相比,环丙氟虫胺杀虫谱更广,活性更高,极低剂量下就表现出良好的活性,且杀虫速度快,渗透性好,持效期长,对环境和非靶标生物安全。根据溴虫氟苯双酰胺的推广经验看,其抗性也起得很快,在推广时也应注意复配和轮换用药。从合成路线看,目前现有的合成路线在细节上仍有可优化和探讨的空间,成本有望进一步降低。综上所述,环丙氟虫胺符合成为终端大品的开发潜力。有关农药行业更多科技创新、专利保护等内容,敬请关注第十三届农药知识产权与科技创新大会,五大价值五大收获等着你!
