螺螨酯(spirodiclofen)是拜耳公司研制并开发的第1个螺环季酮酸类杀螨剂,由拜耳公司于20世纪90年代在筛选除草剂的基础上发现并开发的。其对白粉虱等刺吸口器害虫和害螨类高效。
又称螨威多、螨危,其化学名称:3-(2,4-二氯苯基)-2-氧代-1-氧杂螺[4,5]-癸-3-烯4-基-2,2-二甲基丁酸酯。结构式如下:

螺螨酯具触杀作用,没有内吸性。对害螨的卵、幼螨、若螨具有良好的杀伤效果,对成螨无效,但具有抑制雌螨产卵孵化率的作用。螺螨酯与快速击倒的杀螨剂相比,药效较慢;与几丁质昆虫调节剂类杀螨剂相比,药效较快。螺螨酯持效期较长,主要用于与速效型杀螨剂配合使用。
螺螨酯与现有杀螨剂有着完全不同的作用机制,其作用机理为抑制螨的脂肪合成,阻断螨的能量代谢,对害螨除了成虫外的的各个发育阶段都有效,但对各个阶段作用效果不同。螺螨酯虽然不能较快杀死雌成螨, 但对雌成螨的繁殖有一定的抑制作用。由于其独特的作用机制,故与其他杀螨剂无交互抗性。
螺螨酯广泛应用于果树及蔬菜上的红蜘蛛防治。其特点是杀螨谱广、适应性强。螺螨酯对红蜘蛛、黄蜘蛛、锈壁虱、茶黄螨、朱砂叶螨和二斑叶螨等均有很好防效,可用于柑桔、葡萄等果树和茄子、辣椒、番茄等茄科作物。另外,螺螨酯对梨木虱、榆蛎盾蚧以及叶蝉类等刺吸式口器害虫具有很好的兼治效果。
其使用方式是均匀喷雾,由于螺螨酯没有内吸性,通过触杀作用防治害螨的卵、幼若螨和雌成螨,没有内吸性,因此药剂兑水喷雾时,要尽可能喷雾均匀,确保药液喷施到叶片正反两面及果实表面,最大限度地发挥其药效。施用时间应保证在害螨为害前期施用,以便充分发挥螺螨酯持效期长的特点。
⑴春季用药方案1:
当红蜘蛛、黄蜘蛛的危害达到防治指标(每叶虫卵数达到10粒或每叶若虫3-4头)时,使用34%螺螨酯悬浮剂4000-5000倍(每瓶100毫升兑水800-1000市斤)均匀喷雾,可控制红蜘蛛、黄蜘蛛50天左右。此后,若遇红蜘蛛、黄蜘蛛虫口再度上升可使用一次速效性杀螨剂(如哒螨灵、克螨特、阿维菌素等)即可。
⑵春季用药方案2:
如红蜘蛛、黄蜘蛛发生较早达到防治指标时,先使用1-2次速效性杀螨剂(如哒螨灵、克螨特、阿维菌素等),5月上旬左右,使用34%螺螨酯悬浮剂4000-5000倍液(每瓶100毫升兑水800-1000市斤)喷施一次,可控制红蜘蛛、黄蜘蛛50天左右。
⑶秋季用药方案:
9、10月份红蜘蛛、黄蜘蛛虫口上升达到防治指标时,使用34%螺螨酯悬浮剂4000-5000倍液再喷施一次或根据螨害情况与其它药剂混用,即可控制到柑桔采收,直至冬季清园。
需要注意的是螺螨酯螺螨酯在柑桔生长季节内最好只施用一次,与其它不同杀螨机理的杀螨剂轮换使用,既能有效地防治抗性害螨,同时降低叶螨对螺螨酯产生抗性的风险。
截止2020年6月1日,我国共有螺螨酯原药登记27条。


主要剂型有螺螨酯240g/L悬浮剂,螺螨酯34%悬浮剂,螺螨酯15% 水乳剂等。其复配一般与阿维菌素,联苯肼酯,乙螨唑,哒螨灵等复配。
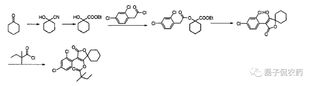
环己酮为起始原料,经氰基化、酯化、苯乙酰化、缩合和丁酰化制得螺螨酯原药。

据海关数据统计,我国2019年共出口螺螨酯481.2万美元。其中排名第一的进口国是土耳其,共计118.7万美元,第二是越南,共计56.37万美元,第三是秘鲁,共计47.7万美元,随后是智利,巴西,马来西亚,乌兹别克斯坦,埃及,俄罗斯,黎巴嫩等国分列第4-10位。
来源:磊子侃农药