提示
×
取消
确定
当前位置:首页 > 新闻资讯
2015—2019年24个除草剂和杀虫(螨)剂创制品种概述
来源:农化专利网   发布时间:2020-02-27 17:19
简述
2005—2019年来农药市场持续增长,除草剂和杀虫剂的市场销售份额也都不断提升,相对来说,除草剂增速稳定,杀虫剂增速较缓,并已被杀菌剂所超越。除草剂方面,由于原卟啉原氧化酶(PPO)抑制剂类与对羟基苯丙酮酸双加氧酶(HPPD)抑制剂类除草剂的快速增长,使得市场增速相对稳定。

2005—2019年来农药市场持续增长,除草剂和杀虫剂的市场销售份额也都不断提升,相对来说,除草剂增速稳定,杀虫剂增速较缓,并已被杀菌剂所超越。除草剂方面,由于原卟啉原氧化酶(PPO)抑制剂类与对羟基苯丙酮酸双加氧酶(HPPD)抑制剂类除草剂的快速增长,使得市场增速相对稳定。而杀虫剂方面,新品种销售市场增长乏力,是导致其增速缓慢的原因之一。


目前杀虫剂市场上仍然是新烟碱类、菊酯类和有机磷类的老品种占据着销售前三甲。近20年来新开发的杀虫剂中,销售额超过3亿美元的仅有双酰胺鱼尼丁受体类的氯虫苯甲酰胺和氟苯虫酰胺,增长动力明显不足,市场亟需新结构或新作用机理的品种出现。



本文介绍了2015—2019年公开的24个创制品种,其中包括除草剂10个、杀虫剂12个、除草安全剂1个以及杀螨剂1个。并从中间体衍生化法角度对以上新品种化学结构和创制过程进行分析,希望能给新药工作者些许启发。


01

除草剂



2015—2019年公开了10个除草剂和1个除草安全剂,其中HPPD类除草剂5个,吡啶羧酸类、吡唑类、异噁唑啉酮类、苯氧酰胺类和吡咯烷酮类除草剂各1个,磺酰胺类除草安全剂1个。

1.1  Tetflupyrolimet


Tetflupyrolimet是杜邦公司(现科迪华)研制的抑制二氢磷酸脱氢酶的芳基吡咯烷酮苯胺类除草剂。主要用于小麦、水稻以及经济作物如甘蔗、柑橘和坚果等,可防除稗草、大狗尾草、地肤和沼生异蕊花等重要杂草,芽前使用效果最佳。该药剂作用机理独特,并不是直接导致杂草黄化死亡,而是抑制杂草体内关键生长分子嘧啶的合成,从而致使杂草生长发育停滞。2018年杜邦将该化合物的美国与中国专利转让给富美实公司,现富美实公司正在进行开发,预2024年上市。


最早商品化的吡咯烷酮类除草剂是美国Stauffer公司(现先正达)开发的氟咯草酮(fluorochloridone),其与tetflupyrolimet在结构上仍有较大的差别。1989年ICI美洲公司公开了如通式1的具有除草活性的化合物专利,其是在氟咯草酮基础上进行衍生得到的,但并没有进行商品化开发。

直到2015年杜邦公司创造性地将吡咯烷酮1位的芳基移到了4位,得到了新的芳基吡咯烷酮类化合物,同时还提升了其除草活性,继而通过取代基的优化得到了该化合物的异构体混合物,后续又经过拆分得到了(3S,4S)型单一光学异构体tetflupyrolimet。从中间体衍生化法角度分析,该化合物的发现可能是在氟咯草酮的基础上,通过不断地衍生和替换,后经过优化研究得到的。合成路线如下。

1.2  Beflubutamid-M


Beflubutamid-M 是日本宇部兴产株式会社(Ube Industries)开发的苯氧酰胺类除草剂,是从商品化品种氟丁酰草胺(beflubutamid)中分离得到的S构型异构体。实验表明:S构型异构体结构稳定,除草活性至少是R构型异构体的1,000倍。该类除草剂作为类胡萝卜素生物合成抑制剂,主要防除大麦和小麦田中的阔叶杂草。其发现属于对外消旋体的拆分研究,通过手性拆分和除草活性筛选,发现了具有更高除草活性的S构型异构体。目前这种同分异构体广泛存在于现有手性农药化合物分子中,随着分离技术的不断提升,具有多个手性碳原子的同分异构体的活性拆分研究也越来越普遍,对于新药创制工作者应当引起足够的关注和重视。合成路线如下。

1.3  Bixlozone


Bixlozone(开发代号:F9600)是富美实公司(FMC)研发的异噁唑啉酮类除草剂。该除草剂为苗前处理剂,用于防除果树、蔬菜、棉花、水稻、大豆、大麦以及小麦田的禾本科杂草和阔叶杂草,对大豆十分安全。预计2020年上市,销售额峰值达到3亿美元。该化合物和异噁草酮(clomazone)在1981年的同一篇专利中公开,且活性和作用机理相似。但富美实公司当时只选择了异噁草酮进行开发,bixlozone也许具有更好市场潜力,现在对其也进行了商品化开发。合成路线如下。

1.4  Cyclopyranil


Cyclopyranil(开发代号:KY-1211)是日本Kyoyu农业公司开发的吡唑类除草剂。可有效防治水稻田中的稗草、鸭舌草和萤蔺等禾本科杂草,对旱田作物中的升马唐、藜、皱果苋也有很好的防治效果。该类化合物最早是由先灵公司(现拜耳公司)发现,并于1994年开发了双唑草腈(pyraclonil)。从中间体衍生化法角度分析,Kyoyu农业公司参考双唑草腈结构,通过对吡唑5位基团进行优化,使用环丙基甲基胺进行替换,最终得到了cyclopyranil。合成路线如下。


1.5  Lancotrione


Lancotrione(开发代号:SL-261)是日本石原产业株式会社(Ishihara Sangyo Kaisha)开发的三酮类HPPD抑制剂类除草剂,以钠盐的形式商品化。在有效剂量下,对野稗、藨草及慈姑具有很好的防效,同时对水稻安全。


该化合物属于典型的三酮类除草剂,最早商品化的品种是1991年捷利康公司(现先正达)开发的磺草酮(sulcotrione),从中间体衍生化法角度分析,磺苯呋草酮(tefuryltrione)是在磺草酮的基础上使用衍生法通过进一步反应获得,而lancotrione则是在磺苯呋草酮的基础上经过简单替换优化得到。合成路线如下。

1.6  Florpyrauxifen


Florpyrauxifen(开发代号:XDE-848、XR-848)是陶氏益农(现科迪华)开发的合成激素类除草剂,是继氟氯吡啶酯(halauxifen-methyl)之后第2个芳基吡啶甲酸酯类除草剂,以苄酯的形式商品化,通用名为氯氟吡啶酯(florpyrauxifen-benzyl)。其具有高效、广谱的除草活性,可防除禾本科杂草、莎草和阔叶杂草,适用于水稻和其他作物。2017年8月在中国获得正式登记,预计其年峰值销售额将突破4亿美元。


该类结构始终是陶氏在研究,最早的商品化品种氨氯吡啶酸(picloram)于1963年上市;2001年陶氏又开发了氯氨吡啶酸(aminopyralid),2者结构变动较小,仅在5位去掉氯原子;2002年陶氏又公开了如图除草化合物1,将芳环引入6号位,后续通过在苯环3位引入甲氧基,分别获得了halauxifen和florpyrauxifen。

该结构中的2位羧基和4位氨基是保持活性的必需基团,并且florpyrauxifen-methyl活性优于halauxifen-methyl,说明5位的氟原子对活性具有一定改善作用,但将5位换成氯原子或溴原子活性则会降低。从中间体衍生化法角度分析,该化合物在氨氯吡啶酸的基础上进行不断的衍生或替换,后经优化研究得到了florpyrauxifen。合成路线如下。



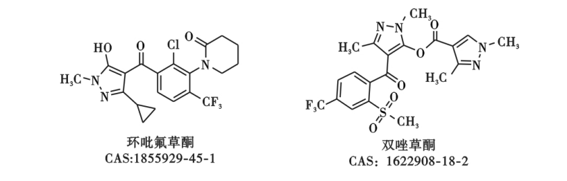
1.7  环吡氟草酮和双唑草酮


环吡氟草酮(cypyrafluone)和双唑草酮(bipyrazone)是清原农冠(KingAgroot)研发的新型HPPD抑制剂类除草剂,已于2018年在中国上市。
环吡氟草酮是全球首次将HPPD抑制剂类化合物应用到小麦田抗性禾本科杂草的治理,可有效防除小麦田看麦娘、日本看麦娘、硬草、棒头草、早熟禾等一年生禾本科抗性杂草。双唑草酮则可有效防除小麦田播娘蒿、荠菜、麦家公等一年生抗性阔叶杂草。这2个品种与ALS抑制剂和PPO抑制剂等当前小麦田主流除草剂都不存在交互抗性。


这2个化合物都是以拜耳公司开发的除草剂pyrasulfotole为先导,环吡氟草酮是利用独特的中间体2-氯-3-氟-4-三氟甲基苯甲酸,使用中间体衍生化法中的替换法,得到了新的先导化合物,经衍生及优化研究得到。双唑草酮则是在pyrasulfotole基础上,采用中间体衍生化法中的衍生法,以4-吡唑羧酸为原料进行反应,最终优化得到。合成路线如下。



1.8  苯唑氟草酮和三唑磺草酮


苯唑氟草酮(fenpyrazone)和三唑磺草酮(tripyrasulfone)是清原农冠(KingAgroot)研发的新型HPPD抑制剂类除草剂。2020年1月获得中国批准登记,预计2020年春季面市。


苯唑氟草酮是玉米田除草剂,与其他HPPD类除草剂相比杀草谱更加均衡,效果更加稳定。可防除稗草、马唐、绿色狗尾草、虎尾草、金色狗尾草、止血马唐、野黍、野糜子、狗牙根等多种杂草,且对玉米安全,对后茬作物无影响。三唑磺草酮则主要用于防除水稻田苗后抗性稗草,对千金子及部分阔叶草也有很好防效,并对水稻安全。


这2个化合物是以拜耳公司开发的除草剂环磺酮(tembotrione)和日本三共开发的吡唑特(pyrazolynate)为先导,在环磺酮结构基础上,参照吡唑特的结构,采用中间体衍生化法中的替换法和衍生法,使用5-羟基吡唑进行替换得到新的先导化合物。在新先导的基础上继续进行替换和优化,选用4-羧基吡唑进一步的衍生,成功发明了苯唑氟草酮和三唑磺草酮。合成路线如下。
1.9  Metcamifen


Metcamifen(开发代号:CGA246783)是汽巴-嘉基公司(现先正达)开发的除草安全剂。该化合物属于直接合成,以磺胺为中间体原料,先后与氯甲酰胺和苯酰氯反应得到,通过筛选发现其与磺酰脲类、氯乙酰苯胺类和芳氧苯氧丙酸衍生物类除草剂配合使用可以减轻药害。适用于谷物、大豆、高粱、玉米和水稻等。合成路线如下。


02

杀虫(螨)剂



2015—2019年公开了13个杀虫(螨)剂新品种,其中吡啶类杀虫剂3个,异噁唑类2个,邻苯二甲酰胺类2个,拟除虫菊酯类2个,吡唑类、螺杂环季酮酸类、其他类杀虫剂各1个,桥环胺类杀螨剂1个。

2.1  Dimpropyridaz


Dimpropyridaz是巴斯夫开发的吡唑甲酰胺类杀虫剂,该药剂对鳞翅目、鞘翅目、双翅目和半翅目的蚜虫、粉虱、蓟马、叶蝉和菜蛾均有较好的防治效果。其结构较为特殊,为4-吡唑酰胺,该中间体是杀菌剂中常见的活性结构,而吡唑酰胺类杀虫剂的羧基一般都在5位。巴斯夫经过多年研究于2009年公布了3-吡啶基-4-吡唑酰胺类化合物的杀虫活性(如代表化合物2),从中间体衍生化法角度分析,dimpropyridaz可能是在化合物2的基础上使用哒嗪环对吡啶基进行替换,后通过优化而得。合成路线如下。

2.2  Fluxametamide


Fluxametamide(开发代号:NC-515、A253)是日产化学株式会社开发的异噁唑啉类杀虫剂。主要用于蔬菜、果树、棉花和茶树等作物,防治蓟马、粉虱、潜叶蝇、甲虫等害虫和螨类,是一种γ-氨基丁酸(GABA)门控氯离子通道拮抗剂。

该化合物在2004年由日产化学合成并申请专利,2007年日产化学又在该类化合物的基础上使用肟醚将酰胺链替换优化得到一系列新的具有杀虫活性的化合物,包括fluxametamide。但当时并未进行商品化,直到2014年偶然的发现,该类化合物中的弗雷拉纳(fluralaner)被开发为兽药驱虫剂上市。正是由于这一发现,又引起了日产化学对该类化合物的研究,于是后续将fluxametamide开发为农用杀虫剂。合成路线如下。
2.3  Isocycloseram


Isocycloseram(开发代号:SYN547407)是先正达开发的一款异噁唑啉类杀虫剂。该产品对海灰翅夜蛾、烟夜蛾、小菜蛾、玉米根虫、葱蓟马、二斑叶螨等害虫具有良好的防效。


该化合物结构与fluxametamide相似,是4种活性异构体的混合物,其中(5S,4R)型异构体活性最高。从中间体衍生化法角度分析,该化合物可能是以弗雷拉纳和fluxametamide为先导,使用异噁唑啉酮替换三氟甲基酰胺链,或者是通过合环衍生,最终优化得到。合成路线如下。
2.4  四氯虫酰胺


四氯虫酰胺(tetrachlorantraniliprole,开发代号:SYP-9080)是沈阳中化农药化工研发有限公司创制的双酰胺类杀虫剂,属于鱼尼丁受体激活剂。其对甜菜夜蛾、小菜蛾、黏虫、二化螟以及稻纵卷叶螟等鳞翅目害虫具有很好的防效。从中间体衍生化法角度分析,该化合物以杜邦公司开发的杀虫剂氯虫苯甲酰胺(chlorantraniliprole)为先导化合物,采用替换法,经过简单替换优化得到。合成路线如下。
2.5  Oxazosulfyl


Oxazosulfyl(开发代号:S-1587)是日本住友化学公司开发的一种新型含乙砜基的苯并噁唑类杀虫剂。该产品结构新颖,主要应用于防控水稻病虫害,在低质量浓度下对褐飞虱和小菜蛾等害虫仍有较好的防效,有望2020年上市。从中间体衍生化法角度分析,该化合物可能是以1982年日本熊本大学报道的具有杀虫活性的化合物(通式2)为先导,通过对吡啶和苯并噁唑上的取代基优化而得到。合成路线如下。
2.6  Tyclopyrazoflor


Tyclopyrazoflor(开发代号:X12317607和XDE-607)是陶氏益农(现科迪华)开发的吡啶基吡唑类杀虫剂。主要防治棉粉虱、棕榈象甲等害虫,并且对观赏植物、瓜类、柿子椒以及茄科植物上的蚜虫、粉虱具有不错的防效。该化合物结构新颖,与现有的鱼尼丁类杀虫剂存在较大差异。


日产化学和陶氏益农对于该类化合物的研究可谓是并驱争先,2011年2月日产化学率先申请了具有杀虫活性通式3的化合物(代表化合物3),陶氏仅比日产公司晚了8个月,但也只能放弃该类化合物的申请,仅能申请类似组合物和制备方法的专利,但陶氏并未放弃对该类化合物的优化研究,在其基础上对酰胺链部分做了大量的衍生研究,最终发现了tyclopyrazoflor,并获得专利授权。从中间体衍生化法角度分析,该化合物使用替换法,利用简单的原料进行替换,获得了专利授权且活性更优的化合物。合成路线如下。
2.7  Flupyrimin


Flupyrimin(开发代号:ME5382)是日本明治株式会社开发的新烟碱类杀虫剂。主要用于水稻和非作物领域,可有效防治稻飞虱和螟虫等害虫,也可防治对吡虫啉产生抗性的害虫,对授粉昆虫等有益生物具有很高的安全性。目前已在日本申请登记,预计2020年上市。


该化合物的顺反异构体于1986年由拜耳公司合成并申请用作杀虫剂,其是在研究新烟碱类化合物时被合成,但当时并没有进行后续开发。2012年明治株式会社合成了其E式结构,并申请获得了多个国家的专利授权,后开发为杀虫剂。从中间体衍生化法角度分析,该化合物是在啶虫脒(acetamiprid)基础上,经替换或衍生,并进一步优化得到。合成路线如下。
2.8  Spiropidion


Spiropidion(开发代号:SYN546330)是先正达开发的螺杂环季酮酸类杀虫剂。该药剂可用于防治危害棉花和多种果蔬作物的蚜虫。


拜耳公司在筛选除草剂时,意外发现3-芳基-吡咯烷-2,4-二酮化合物具有杀虫和杀螨活性,通过对结构修饰和改造,先后开发了杀虫剂螺螨酯(spirodiclofen)、螺甲螨酯(spiromesifen)和螺虫乙酯(spirotetramat)。同时先正达公司通过对该类结构的优化,发现了谷物除草剂唑啉草酯(pinoxaden)。

后期先正达公司在对季酮酸类化合物结构进行改造的过程中,发现了部分螺杂环季酮酸类化合物具有杀虫活性,通过筛选发现了spiropidion。从中间体衍生化法角度分析,该化合物是以螺虫乙酯为先导,使用哌啶基对螺环部分的环己烷进行替换,并进一步优化筛选得到。合成路线如下。
2.9  Benzpyrimoxan


Benzpyrimoxan(开发代号:NNI-1501)是日本农药株式会社开发的杀虫剂。该药剂对稻飞虱和叶蝉具备非常好的防效,其与现有杀虫剂无交互抗性,可用于防治对现有杀虫剂产生抗性的害虫,该产品将首先在日本和印度上市。芳基烷氧基嘧啶类化合物的杀虫活性最早是由日本曹达公司进行报道(通式4),从中间体衍生化法角度分析,日本农药株式会社以通式4为先导,对其结构中芳基Ar部分进行大量优化,使用各类杂环进行替换,最终筛选发现了benzpyrimoxan。合成路线如下。
2.10  氯氟氰虫酰胺


氯氟氰虫酰胺(cyhalodiamide,开发代号:ZJ4042)是浙江省化工研究院有限公司自主开发的邻苯二甲酰胺类杀虫剂。对鳞翅目害虫十分有效,尤其是对小菜蛾、棉铃虫、斜纹夜蛾等,在较低的剂量下仍有良好的防效。从中间体衍生化法角度分析,该化合物以商品化品种氟苯虫酰胺(flubendiamide)为先导,使用简单原料2-氨基-2-甲基丙腈对酰胺链氨基部分进行替换,最终优化筛选得到该化合物。合成路线如下。
2.11  Epsilon-metofluthrin和Epsilon-momfluorothrin


Epsilon-metofluthrin和epsilon-momfluorothrin是日本住友化学在已知的拟除虫菊酯类杀虫剂metofluthrin和momfluorothrin的基础上,通过拆分得到的单一光学异构体。其具有更高的杀虫活性,主要用于防治室内外飞行和爬行昆虫,作用于害虫的神经系统。合成路线如下。
2.12  Acynonapyr


Acynonapyr(开发代号:NA-89)是日本曹达株式会社开发的一种全新结构的桥环胺类杀螨剂。对果树、蔬菜以及茶树上的二斑叶螨、柑橘全爪螨等害螨具有良好的防效,可作叶面喷雾施用。其结构新颖、作用独特,作用于抑制性谷氨酸受体,干扰害螨的神经传递,导致害螨行动失调,最终杀灭害螨。与现有杀螨剂其无交互抗性,预计将于2020年上市。


日本曹达公司2004年申请了桥环胺类化合物(通式5)用作控制有害生物的专利,从中间体衍生化法角度分析,该公司在其基础上进一步研究,使用替换法用吡啶氧基替换吡啶基, 经过优化最终得到了acynonapyr。合成路线如下。

03

结语与展望



从近5年公开的品种可以看出:HPPD抑制剂类除草剂以其独特的作用机制和与现有除草剂无交互抗性等多重优点,成为各大公司重点推出的除草剂品种。近期共公开了5个HPPD抑制剂类新品种,并且目前进入后期开发阶段的还有2~3个候选化合物,如富美实公司的F9960以及组合化学正在研发的fenquinotrione等。

预测该类化合物未来几年也仍将保持高速增长的趋势,年增速可能超过10%。而具有新颖结构的杀虫剂则更受跨国公司青睐,杀虫剂acynonapyr、dimpropyridaz和isocycloseram结构新颖,并可能具有新的作用位点和作用机制,具有巨大的市场发展潜力。


每个化合物的创制过程都可从中间体衍生化法角度对其进行分析,不管是利用直接合成或衍生或替换,还是采用其他创新方法,除草剂和杀虫剂的开发都需以市场为导向,研发出“效果好、成本低、安全性高、专利权稳定、市场前景好”的绿色新品种。

来源:农药咨讯网