本文对我国创制的18个杀虫剂(含杀螨剂)、10个除草剂、4个植物生长调节剂从化学结构(包括CAS号,他不仅仅代表一个确定的化合物,还与公开的时间有关,CAS号越小,其发现或公开时间越早)、性能、创制经纬、作用机理以及专利和登记情况进行详细的介绍。
一、杀虫剂创制品种
1. 苦皮藤素(celangulin)
苦皮藤素(通用名称:celangulin)是从卫矛科南蛇藤属的一种杀虫植物苦皮藤(Celastrusangulatus Max)中提取得到的,其中杀虫活性最高的是苦皮藤素V。

1980年以来西北农林科技大学农药研究所吴文君课题组对杀虫植物苦皮藤进行了系统的研究,1988年从苦皮藤中分离到第一个非生物碱杀虫活性化合物——苦皮藤素I,为7取代的二氢沉香呋喃多元醇酯。以此为突破口,在杀虫活性指导下先后从苦皮藤根皮和叶子中分离出苦皮藤素II、III、IV和V等一系列二氢沉香呋喃多元醇酯类化合物。1991年河南化学研究所汪茂田等报道了从苦皮藤根皮中分离到杀虫化合物angulatin A,吴文君等后来通过进一步的单晶衍射证实1994年报道的苦皮藤素V(celangulin V)与angulatin A为同一结构。
苦皮藤素对害虫具有较强的拒食、麻醉和胃毒作用,多用于蔬菜、茶树、果树、桑树、棉花等作物的咀嚼式口器害虫及家畜寄生虫、卫生害虫等的防治。阻断昆虫神经-肌肉兴奋性接点电位的传导及对钙通道的抑制可能是麻醉成分苦皮藤素IV的主要作用机理;而和昆虫中肠肠细胞的特异性受体V-ATP酶H亚基结合,从而破坏细胞膜的正常功能可能是毒杀成分苦皮藤素V的主要作用机理。
鉴于苦皮藤素V的高杀虫活性及其在植物材料中含量高,吴文君课题组和赵天增课题组分别研制了以苦皮藤素V为主有效成份的二氢沉香呋喃多元醇酯植物源杀虫剂苦皮藤素,并分别申请了专利。2010年河南省新乡市东风化工厂获得苦皮藤素母药的正式登记(PD20101575),另有5家公司获得苦皮藤素水乳剂的正式登记。
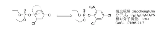
2. 硝虫硫磷
硝虫硫磷(试验代号89-1,英文名:xiaochongliulin)是四川省化学工业设计研究院设计并开发登记的有机磷类杀虫、杀螨剂。是中国第一个获得临时登记的具有自主知识产权的杀虫剂。

1953年,国外报道了芳基机磷类化合物具有杀菌杀虫活性,而硝虫硫磷就是在其基础上,在苯环上引入硝基得到的,其对多种刺吸式口器害虫、螨及某些介壳虫有良好的防效。主要用于小麦、棉花、柑橘、水稻等作物上害虫的防治,尤其对柑橘矢尖蚧有特效,且对作物安全。该药通过抑制昆虫乙酰胆碱酯酶,阻碍神经传导而致死,具有触杀、胃毒和强渗透作用。
该化合物专利名称:O,O-二烷基-O-(2,4-二氯-6-硝基苯基)硫代磷酸酯化合物及其制法和用途。申请日期:19930112,专利号:ZL93100324.5,专利权人:四川省化学工业研究设计院,2013年专利期届满失效。2008年,四川省化学工业研究设计院获得了90%硝虫硫磷原药(PD20080777)和30%硝虫硫磷乳油(PD20080772,用于防治柑橘树矢尖蚧)的正式登记。
3. 氯胺磷(chloraminephosphorus)
氯胺磷(通用名称:chloramine phosphorus)由浙江乐斯化学有限公司与武汉工程大学联合研制开发的有机硫磷类杀虫剂。

该化合物的化学结构于1979年公开,1986年德国科研人员报道了他的杀虫活性,后续武汉工程大学合成并测定其生物活性,具有触杀、胃毒、熏蒸作用,生物活性与甲胺磷相当。
专利名称:O,S-二甲基-(2,2,2-三氯-1-羟基-乙基)硫代磷酰胺,申请日期:19970624,专利号:ZL97112828.6,当前专利权人:东方新农夫(荆州)生物科技有限公司,2014年未缴年费专利权终止。2005年,乐斯化学有限公司就对95%的氯胺磷原药(LS20051337)和30%的氯胺磷悬浮剂(LS20051354)进行了临时登记。因其田间活性与登记不符导致其未再进行登记。
4. 氟螨
氟螨(开发代号:F1050)是由江苏省化工研究院与中科院上海有机化学研究所在“八五”创制新农药期间共同研究开发的含氟二苯胺类杀螨剂。

氟螨是在杀螨剂fentrifanil的基础上对苯环进行优化得到的。杀螨效果很好,速效性高,对螨虫各个虫态均有效,对棉螨的毒力比常用农药哒螨灵高。作用方式以触杀作用为主,无内吸、内渗作用。
专利名称:N-(二硝基三氟甲基)-取代的-2-甲基苯胺衍生物、制备方法及用途,申请日期:19971215,专利号:ZL97106777.5,专利权人:中国科学院上海有机化学研究所与浙江省化工研究院,2011年未缴年费专利权终止。2003年,浙江省化工研究院有限公司就对94%的氟螨原药(LS20031728)和15%的氟螨乳油(LS20031727)进行了临时登记,后因毒性等问题,未再进行登记。
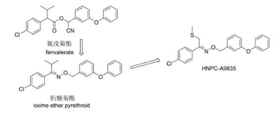
5. 硫肟醚(sulfoxime)与硫氟肟醚(thiofluoximate)
硫肟醚(试验代号HNPC-A9908,通用名称:sulfoxime)和硫氟肟醚(试验代号HNPC-A2005,通用名称:thiofluoximate)均是由湖南化工研究院自主创制的肟醚非酯拟除虫菊酯类杀虫剂。

为解决拟除虫菊酯类农药高抗性及高鱼毒而限制其在水田中应用的不足,湖南化工研究院于1992年开始了肟醚类化合物的自主设计、合成与生物活性研究。在氰戊菊酯(fenvalerate)和非酯肟醚类菊酯化合物的基础上进行优化,在结构中引入了硫原子,于1997年底发现了HNPC-A9835等4个具有良好杀虫活性的芳基含硫烷基酮肟醚类化合物。为获得具有更高杀虫活性化合物,选择HNPC-A9835为先导化合物进一步优化,最终得到了硫肟醚和硫氟肟醚。

硫肟醚和硫氟肟醚的药效相当,能有效防治蔬菜,茶叶等多种作物上菜青虫、茶毛虫、茶尺蠖等鳞翅目害虫,在有效剂量下能有效防治水稻、茶树等多种作物上稻飞虱、茶小绿叶蝉、茶蚜等同翅目害虫。对害虫表现出较强的胃毒和触杀作用,且对人、畜毒性低,对作物安全。
专利名称:杀生物的烷基-取代(杂)-芳基-酮肟-O-醚及中间体酮、肟类化合物及其制备方法。申请日期:19990910,专利号:ZL99115557.2,后又申请了“杀虫、杀菌的含硫、氧肟醚类化合物”,申请日期:20031212,专利号:ZL200310110647.1专利权人均为:湖南化工研究院,并申请PCT专利WO2005056518。2004年,湖南海利化工股份有限公司对95%硫肟醚原药(LS20041355)和10%硫肟醚悬浮剂(LS20140311)进行临时登记。2014年,又获得了95%硫氟肟醚原药(LS20140310)和10%硫肟醚水乳剂(LS20041356)的临时登记,均已过期。
6. 右旋反式氯丙炔菊酯
右旋反式氯丙炔菊酯(商品名:倍速菊酯)是江苏扬农化工股份有限公司自行研究开发的具有单一光学异构体的拟除虫菊酯类杀虫剂。

该化合物有8个异构体,最早于1981年被日本住友化学在相关专利DE3028290中报道。住友化学将其拆分得到了具有杀虫活性的单一异构体(CAS:250346-55-5),在中国等国家申请了专利,中国专利号为ZL99107053.4。同期扬农科研人员也正在对该化合物的消旋体进行研究,并在中国申请了单一异构体右旋反式氯丙炔菊酯的专利,并得到了授权。该化合物对卫生害虫具有良好的击倒作用,效果优于右旋炔丙菊酯,为胺菊酯的10倍以上。但其对蚊、蝇的致死活性较差,应与氯菊酯、苯氯菊酯等复配使用为宜。
化合物专利名称:一种拟除虫菊酯类化合物及其制备方法和应用。申请日期:19991213,专利号:ZL99126022.8,当前专利权人:江苏扬农化工股份有限公司与江苏优士化学有限公司。2017年,江苏优嘉植物保护有限公司对96%右旋反式氯丙炔菊酯原药(WP20170145)进行了正式登记,同时0.12%、0.13%、0.15%、0.21%、0.34%、0.35%气雾剂,0.21%水基气雾剂和6.8%水乳剂也都有多家公司获得正式登记。
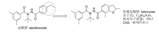
7. 呋喃虫酰肼(fufenozide)
呋喃虫酰肼(试验代号JS118,通用名称:fufenozide)是江苏省农药研究所股份有限公司自主创制的具有拟蜕皮激素作用的双酰肼类杀虫剂。

该化合物是在罗门哈斯开发的虫酰肼(tebufenozide)的基础上改造优化合环得到的,对目前农业生产上几乎所有危害严重的鳞翅目害虫如甜菜夜蛾、玉米螟、小菜蛾、二化螟、柑橘潜叶蛾等都具有较高活性,且对哺乳动物和鸟类、鱼类、蜜蜂毒性极低,对环境友好。呋喃虫酰肼以胃毒作用为主,属于昆虫生长调节剂,该药模拟昆虫蜕皮激素,能干扰或破坏昆虫体内原有激素平衡,使昆虫正常生长发育被阻断或发生异常,当蜕皮过程停止时,昆虫不恢复进食,从而导致死亡。
化合物专利名称:作为杀虫剂的二酰基肼类化合物及制备此种化合物的中间体以及它们的制备方法,申请日期:20010326,专利号:ZL01108161.9,专利权人:江苏省农药研究所。2012年,江苏省农药研究所股份有限公司获得97%呋喃虫酰肼原药(PD20121672)和10%呋喃虫酰肼悬浮剂(PD20121676)的正式登记。
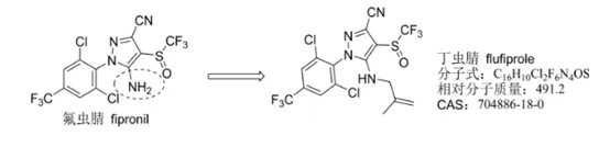
8. 丁虫腈(原名丁烯氟虫腈,flufiprole)
丁虫腈(试验代号RZI-02-003,通用名称:flufiprole)是大连瑞泽生物科技有限公司研制开发的苯基吡唑类杀虫剂。

丁虫腈是在拜耳公司1989年开发的杀虫剂氟虫腈(fipronil)的基础上,进一步反应衍生得到的。由于氟虫腈对水生生物毒性较高,中国从2009年7月1日起已禁用。而丁虫腈对人畜及水生生物安全,特别是对水稻、蔬菜等作物上的鳞翅目、蝇类和鞘翅目害虫有较高的杀虫活性,对菜青虫、小菜蛾、螟虫、黏虫、叶甲等具有高活性,在0.8 mg/kg即达到100%的致死率,但对桃蚜、二斑叶螨无效。该药兼有胃毒,触杀及内吸等多种作用方式,主要是阻碍昆虫γ-氨基丁酸控制的氟化物代谢。
化合物专利名称:N-苯基吡唑衍生物杀虫剂,申请日期:20020730,专利号:ZL02128312.5,当前专利权人:大连九信作物科学有限公司。在其他国家申请的化合物专利:JP2005534683、AU2003242089、WO2004010785、KR100603690等。2012年,大连九信作物科学有限公司获得96%丁虫腈原药(PD20120414)和5%丁虫腈乳油(PD20120413,防治甘蓝小菜蛾和水稻二化螟)的正式登记。
9. 氯噻啉(imidaclothiz)
氯噻啉(试验代号JS-125,通用名称:imidaclothiz)是由江苏省南通江山农药化工股份有限公司开发并登记的一种含有噻唑的新烟碱类杀虫剂。

该化合物及其杀虫活性早在1986年公开的欧洲专利EP192060中就有报道,后来拜尔公司也研究了其合成方法,但相关研究仅停留在实验室阶段,而南通江山对其进行了研发并实现了产业化。
其主要防治水稻、小麦、蔬菜、烟草等作物上吮吸式口器害虫,如蚜虫、叶蝉、飞虱,同时对鞘翅目、双翅目和鳞翅目害虫也有效,尤其对水稻二化螟、三化螟毒力比其它烟碱类杀虫剂高。该药作用于烟酸乙酰胆碱酯酶受体,对害虫的突触具有神经传导阻断作用,与烟碱类杀虫剂作用机理相同。
申请专利名称:一种杀虫剂的组合物及其使用方法。申请日期:20021021,专利号:ZL02146519.3,专利权人:南通江山农药化工股份有限公司。2008年,江苏省南通江山农药化工股份有限公司获得95%氯噻啉原药(PD20082528)的正式登记。江苏省南通南沈植保科技开发有限公司获得10%氯噻啉可湿性粉剂(PD20082527)和40%氯噻啉水分散粒剂(PD20096024)的正式登记,用于防治水稻和烟草上的飞虱和蚜虫。
10. 哌虫啶(paichongding)
哌虫啶(试验代号IPP-44,通用名称:paichongding)是克胜集团联手华东理工大学共同研发创制的新烟碱类杀虫剂。

该化合物是在吡虫啉(imidacloprid)类似物基础上衍生、优化而得。日本拜耳作物科学公司曾于1987年申请过咪唑并吡啶类化合物用作杀虫剂的专利,但并没有进一步研究。华东理工大学以吡虫啉类似物为先导化合物,通过大量详尽研究,于2004年发明了结构新颖的六氢咪唑[1,2-a]并吡啶类杀虫剂哌虫啶。对各种刺吸式害虫具有杀虫速度快,防治效果好,持效期长,低毒等特点。
华东理工大学于2004年申请了名为“硝基亚甲基衍生物及其用途”的专利,授权公开号:CN1631887,其结构通式中包括了哌虫啶,但没有公开化合物哌虫啶的结构,同族专利包括:EP1826209、JP2008520595、US20070281950、WO2006056108。后来又申请了有关制备方法专利CN101045728和WO2007101369,均公开了哌虫啶的化学结构及其制备方法。2017年,江苏克胜集团股份有限公司获得了95%哌虫啶原药(PD20171435)和10%悬浮剂(PD20171719,用于防治小麦蚜虫和水稻飞虱)的正式登记。
11. 氯氟醚菊酯(meperfluthrin)
氯氟醚菊酯(通用名称:meperfluthrin)是由江苏扬农化工股份有限公司与江苏优士化学有限公司共同开发的拟除虫菊酯类杀虫剂。

该化合物的消旋体早在相关专利中有报道,日本专利虽也报道其应用,但在中国并没有申请专利。扬农化工科研人员进行了详尽研究,发现单一异构体具有更好的活性,在中国申请了化合物和制备方法专利,并获得了授权。氯氟醚菊酯实际活性能达到右旋反式烯丙菊酯的15~20倍,对淡色库蚊、家蝇有很好的抑制活性。
专利名称:一种光学活性的拟除虫菊酯类化合物及其制备方法和应用。申请日期:20080707,专利号:ZL200810132612.0,当前专利权人:江苏扬农化工股份有限公司与江苏优士化学有限公司。该专利虽然申请了PCT专利WO2009132526,但没有进入具体国家。2011年江苏优嘉植物保护有限公司获得90%氯氟醚菊酯原药(WP20110065)的正式登记。
12. 四氯虫酰胺(tetrachlorantraniliprole)
四氯虫酰胺(试验代号SYP-9080,通用名称:tetrachlorantraniliprole)是沈阳中化农药化工研发有限公司创制中国第一个双酰胺类杀虫剂。

该化合物是以杜邦氯虫苯甲酰胺(chlorantraniliprole)为先导化合物,通过对其结构中的苯环取代基、吡啶取代基进行结构修饰,于2008年发现具有高杀虫活性的化合物SYP-9080。其对甜菜夜蛾、小菜蛾、黏虫、二化螟以及稻纵卷叶螟等鳞翅目害虫具有很好的防效,活性与氯虫苯甲酰胺相当。但原料和中间体比氯虫苯甲酰胺易于获得,成本低于氯虫苯甲酰胺。该类化合物属于鱼尼丁受体激活剂,具有渗透性强、内吸传导性好、持效期长等特点。
专利名称:1-取代吡啶基-吡唑酰胺类化合物及其应用,申请日期:20080707,专利号:ZL200810116198.4,专利权人:沈阳中化农药化工研发有限公司。其他国家申请的专利:EP2295425、BRPI0914217、US20110046186、WO2010003350等。2017年,沈阳科创化学品有限公司获得了95%四氯虫酰胺原药(PD20171752)和10%四氯虫酰胺悬浮剂(PD20171751,用于甘蓝甜菜夜蛾、稻纵卷叶螟和玉米螟)的正式登记。
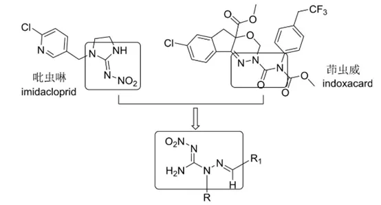
13. 戊吡虫胍(guadipyr)
戊吡虫胍(开发代号ZNQ-08056,英文名称:guadipyr)是中国农业大学开发的具有多靶标位点的新型杀虫剂,由合肥星宇化学有限责任公司产业化开发和登记。

采用分子设计和活性亚结构相拼接的方法,将新烟碱类(以吡虫啉为代表)与缩胺脲类(以茚虫威为代表)杀虫剂的活性结构组建到同一分子中,获得的兼具新烟碱类和钠离子通道抑制剂特点的杀虫系列化合物。戊吡虫胍结构新颖,急性经口毒性远低于吡虫啉,比食盐还低,对蜜蜂低毒。对豆蚜、棉蚜、菜蚜、桃蚜、稻飞虱、烟粉虱等同翅目蚜科、飞虱科、粉虱科害虫以及棉铃虫、甜菜夜蛾等鳞翅目害虫具有良好的防效,其防治效果与吡虫啉相当,并且对抗吡虫啉的害虫具有很好的杀灭效果。

专利名称:硝基缩氨基胍类化合物及其制备方法与其作为杀虫剂的应用,申请日期:20081125,专利号:ZL200880105824,专利权人:中国农业大学。其他国家申请的化合物专利:EP2216324、BRPI0818332、US20110306639、WO2010060231,制剂专利CN102939988。2017年,合肥星宇化学有限责任公司就对96%的戊吡虫胍原药(LS20170095)和20%戊吡虫胍的悬浮剂(LS20170094)进行了临时登记,正式登记正在进行中。
14. 环氧虫啉
环氧虫啉是武汉工程大学与武汉中鑫化工有限公司合作研制,后转让给四川和邦生物科技股份有限公司登记生产的新烟碱类杀虫剂。

环氧虫啉是在吡虫啉(imidacloprid)基础上,用环氧丙基替换吡啶得到的。结构简单,活性好。试验结果表明其对甘蓝蚜虫的室内生物活性优于吡虫啉,LC50为0.044g/mL。且制备成本方面与传统烟碱类杀虫剂相比,有明显优势。
专利名称:1-(2,3-环氧丙基)-N-硝基亚咪唑烷-2-基胺及其制备方法和应用,申请日期:20081217,专利号:ZL200810236885.X,当前专利权人:四川和邦生物科技股份有限公司。2017年,该公司获得95%环氧虫啉原药(LS20170342)和10%环氧虫啉可湿性粉剂(LS20170365)的临时登记,现均已过期。
15. 环氧虫啶(cycloxaprid)
环氧虫啶(试验代号IPPA152616,通用名称:cycloxaprid)是由华东理工大学创制后转与上海生农生化制品有限公司开发登记的新烟碱类杀虫剂。

该化合物是一种顺式氧桥杂环结构新烟碱杀虫剂,是在吡虫啉类似物基础上进行合环优化得到的。对半翅目的稻飞虱(褐飞虱、白背飞虱、灰飞虱),蚜虫(麦蚜、棉蚜、苜蓿蚜、甘蓝蚜虫)等有较高的活性,对鳞翅目类害虫如稻纵卷叶螟、黏虫和小菜蛾等有一定的杀虫效果。适用作物包括水稻、蔬菜、果树、小麦、棉花、玉米等,既可用于茎叶处理,也可进行种子处理。环氧虫啶作用机制独特,目前商品化的新烟碱杀虫剂都是昆虫烟碱乙酰胆碱受体的激动剂,而环氧虫啶是烟碱乙酰胆碱受体的拮抗剂,与之作用机理不同,不容易产生交互抗性。
化合物专利名称:二醛构建的具有杀虫活性的含氮或氧杂环化合物及其制备方法,申请日期:20081219,专利号:ZL200810207355.2,专利权人:华东理工大学。环氧虫啶化合物已获得中国、美国、日本、欧洲、印度、以色列等多国专利。化合物专利号:IN1442MUMNP2011A、IL213656、EP2377845、JP2012512191、US20110269751、WO2010069266等。2018年,上海生农生化制品有限公司获得了97%环氧虫啶原药(PD20184015)和25%环氧虫啶可湿性粉剂(PD20184014,主要防治甘蓝蚜虫和水稻飞虱)的正式登记。
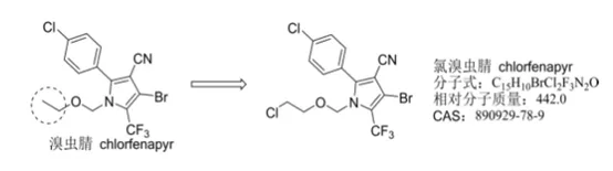
16. 氯溴虫腈(chlorfenapyr)
氯溴虫腈(试验代号HNPC-A3061,通用名称:chlorfenapyr)是湖南化工研究院合成创制的吡咯类杀虫剂。

氯溴虫腈是在美国氰胺公司(现为巴斯夫)开发的溴虫腈(chlorfenapyr)基础上优化得到的。对钻蛀、刺吸和咀嚼式害虫防效优异,能有效防治水稻、蔬菜等作物的斜纹夜蛾、小菜蛾、棉铃虫、稻纵卷叶螟、稻飞虱、茶毛虫等多种害虫。氯溴虫腈是一种杀虫剂前体,具有较强的胃毒和一定的触杀作用及内吸活性,本身无毒杀作用,昆虫取食或接触后,在昆虫体内多功能氧化酶的作用下转变为具有杀虫活性的化合物,其靶标是昆虫体细胞中的线粒体,使细胞因缺少能量而停止生命功能,打药后害虫行动变弱、昏迷、瘫软,最终导致死亡。
专利名称:溴虫腈及其类似物的制备方法,申请日期:20090629,专利号:ZL200910043790.0,专利权人:湖南化工研究院。2014年,湖南海利化工股份有限公司对95%氯溴虫腈原药(LS20140332)和10%氯溴虫腈悬浮剂(LS20140331)进行了临时登记,现已过期。
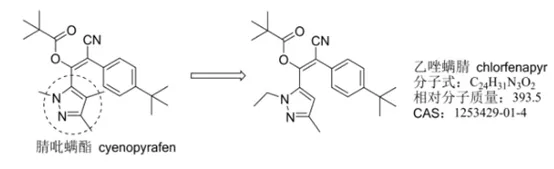
17. 乙唑螨腈(chlorfenapyr)
乙唑螨腈(试验代号SYP-9625,通用名称:chlorfenapyr)是沈阳中化农药化工研发有限公司创制的丙烯腈类杀螨剂,由沈阳科创化学品有限公司进行登记。

该化合物以日产化学公司开发的杀螨剂腈吡螨酯(cyenopyrafen)为先导化合物,通过对其结构中的吡唑环和羟基部分进行大量的结构修饰,于2008年发现了具有高杀螨活性的化合物乙唑螨腈(SYP-9625)。对朱砂叶螨成螨、若螨、螨卵均具有优异的活性,并对非靶标生物如蜜蜂等安全。
乙唑螨腈专利名称:吡唑基丙烯腈类化合物及其应用,申请日期:20100427,专利号:ZL201080016377.6,专利权人:沈阳中化农药化工研发有限公司。在其他国家申请的化合物专利:EP2426110、JP2012525340、US20120035236、WO2010124617等。2018年,沈阳科创化学品有限公司获得了98%乙唑螨腈原药(PD20181623)和30%乙唑螨腈悬浮剂(PD20181622,用于防治柑橘红蜘蛛、苹果叶螨、棉花叶螨)的正式登记。
二、除草剂创制品种
1. 单嘧磺隆(monosulfuron)与单嘧磺酯(monosulfuron-ester)
单嘧磺隆(试验代号:92824,通用名称:monosulfuron)和单嘧磺酯(试验代号:92825,通用名称:monosulfuron-ester)是南开大学元素有机化学研究所李正名院士课题组创制开发的新型嘧啶磺酰脲类除草剂。是中国第一个获得临时登记的具有自主知识产权的除草剂。

自1990年开始,李正名课题组开始对磺酰脲类除草剂进行系统的研究,固定磺酰脲苯环上的取代基和脲桥,对嘧啶环上的取代基进行结构优化,并进行了除草活性的测定,首次发现个别单取代嘧啶环的磺酰脲分子同样具有超高效除草活性,因其杂环嘧啶仅有一个取代基,与经典的磺酰脲类除草剂杂环双取代基的结构不同,因而命名为单嘧磺隆。在研发过程中,不但对磺酰脲的除草机理进行了分子水平的研究,而且还建立了自己的磺酰脲类化合物活性三要素理论,修正和发展国际上公认的磺酰脲构效关系理论。创制了单嘧磺隆和单嘧磺酯两个农药新品种,且10%的单嘧磺隆可湿性粉剂(谷友)是中国第一个谷田专用除草剂。通过大量的田间试验,两者对除草表现有所不同。在有效剂量下,都对一年生禾本科杂草等表现出很高活性,对多年生禾本科杂草活性较低。单嘧磺酯对马唐、稗草的活性高于单嘧磺隆。
上述化合物同乙酰乳酸合成酶靶酶对接,从Ki活性曲线证明这两个化合物具有相似的作用机制,都是超高效ALS抑制剂,主要以根吸收为主,有内吸传导作用,通过抑制乙酰乳酸合成酶的活性,进而抑制侧链氨基酸的生物合成,造成敏感植物停止生长而逐渐死亡。
化合物专利名称:新型磺酰脲类化合物除草剂,申请日期:19941207,专利号:ZL94118793.4,专利权人:南开大学。专利包括了单嘧磺隆和单嘧磺酯,2015年专利期届满失效。该药最早是天津市绿保农用化学科技开发有限公司于1999年进行了临时登记。现为河北兴柏农业科技有限公司于2007年获得90%单嘧磺隆原药(PD20070369)和10%单嘧磺隆可湿性粉剂(PD20070368,用于防治冬小麦和谷子一年生阔叶杂草)的正式登记。2013年获得90%单嘧磺酯原药(PD20130372)和10%单嘧磺酯可湿性粉剂(PD20130371,用于防治冬小麦和春小麦一年生阔叶杂草)的正式登记。
2. 双甲胺草磷(H-9201)
双甲胺草磷(试验代号为H-9201,英文名:shuangjiaancaolin)是南开大学农药国家工程中心杨华铮课题组创制的硫代磷酸酯类水旱两用除草剂。

硫代磷酸酯类化合物具有除草活性,日本曾开发了甲基胺草磷(amiprofos-methyl)等品种。南开大学对该类化合物也进行了较系统的结构与活性的定量关系研究,发现当分子中芳环邻位由硝基取代,活性可较其芳基母体提高约10倍,但硝基若处于对位,则活性大大降低。对其三维结构进行了研究,根据X-衍射晶体结构数据进行量子化学计算和人工神经网络分析,预测出H-9201应具有较高的除草活性。
该药剂对禾本科杂草的活性高于阔叶草,该药主要通过抑制植物分生组织的生长而发挥药效,被用于大豆、水稻、小麦和胡萝卜等作物田中防除一年生单、双子叶杂草,对作物安全,可作为胡萝卜专用除草剂。
合成方法专利名称:水旱田两用硫代磷酰胺酯类除草剂,申请日期:19961126,专利号:ZL96114746.6,专利权人:南开大学,2011年未缴年费专利权终止。2005年,江苏省南通江山农药化工股份有限公司取得了该农药的临时登记证,包括95%双甲胺草磷原药(LS20051937)及10%双甲胺草磷乳油(LS20051935),均已过期。
3. 氯酰草膦(clacyfos)
氯酰草膦(试验代号HW-02,通用名称:clacyfos)是华中师范大学开发的丙酮酸脱氢酶系(PDHc)的强抑制剂类除草剂。

HW-02的发现是在分子水平上理解植物的关键代谢过程,运用生化推理,合理设计的方法,提出了“设计靶标酶的潜在底物来获得新型丙酮酸脱氢酶抑制剂”的新思路,合成了以丙酮酸脱氢酶系为靶标的除草剂新骨架,筛选发现了创新除草剂候选品种HW-02,目前国内外未见有以丙酮酸脱氢酶系为靶标的商品化除草剂的报道。
HW-02具有内吸传导作用和较宽的杀草谱,对单子叶与阔叶植物中的PDHc具有很好的选择性,对阔叶杂草防效显著,同时也能兼治单子叶杂草及莎草科、蕨类杂草。对禾本科作物安全性好,可以作为选择性除草剂在小麦、水稻、玉米田进行应用开发,也可作为草坪、果园、茶园以及非耕地的除草剂。
化合物专利名称:具有除草活性的取代苯氧乙酰氧基烃基膦酸酯及制备,申请日期:19970430,专利号:ZL97109095.5,专利权人:华中师范大学,2017年专利届满失效。2007年,山东侨昌化学有限公司取得了该药的临时登记证,包括93%氯酰草膦原药(LS20071853)及30%氯酰草膦乳油(LS20071694),已过期。
4. 甲硫嘧磺隆(methiopyrsulfuron)
甲硫嘧磺隆(试验代号:HNPC-C9908,通用名称:methiopyrsulfuron)是国家南方创制中心湖南基地、湖南化工研究院创制的磺酰脲类除草剂。

虽然该化合物包含在原杜邦公司相关专利范围内,但并没有具体公开。湖南化工研究院通过详尽研究,合成了甲硫嘧磺隆,并对其进行了深入的研究。发现在有效剂量下,可有效防除小麦田的蓼、铁苋菜、藜、反枝苋等双子叶杂草,防效在90%以上,对稗草等一些禾本科杂草也具有不错的防除效果。
化合物专利名称:具除草活性的含烷硫基或丙烯(炔)氧基磺酰脲类化合物及其制备方法,申请日期:20000511,专利号:ZL00113423.X,专利权人:湖南化工研究院。2006年,湖南海利化工股份有限公司取得了该药的临时登记证,包括甲硫嘧磺隆原药(LS20060244)及10%甲硫嘧磺隆可湿性粉剂(LS20060229),现已过期。
5. 丙酯草醚(pyribambenz-propyl)与异丙酯草醚(pyribambenz-isopropyl)
丙酯草醚(试验代号ZJ0273,通用名称:pyribambenz-propyl)和异丙酯草醚(试验代号ZJ0702,通用名称:pyribambenz-isopropyl)是中国科学院上海有机化学研究所吕龙课题组和浙江省化工研究院共同研发的全新嘧啶苄胺类除草剂。

该类除草剂结构新颖,在有效剂量下,能有效防除油菜田中一年生禾本科及部分阔叶杂草,对看麦娘、日本看麦娘、碎米荠、繁缕、雀舌草等有特效,且对当季油菜和后茬作物安全,填补了中国油菜田一次兼治单、双子叶杂草除草剂的空白,但该药活性发挥相对较慢,药后10 d杂草开始表现受害症状,药后20 d杂草出现明显药害症状。
该类化合物属于ALS抑制剂,通过阻止氨基酸的生物合成而起作用,但丙酯草醚对ALS活性影响很小或无作用。说明其作用机理不同于嘧啶水杨酸类除草剂双草醚,类似于前体农药,即药剂被植物吸收后,通过在植物体内代谢活化而发挥作用。
丙酯草醚与异丙酯草醚是在嘧啶水杨酸类除草剂的基础上进一步优化,而该类化合物最早是由日本组合化学公司随机筛选发现的化合物1,再根据经验优化得到了低活性化合物2,后来将苯氧基去掉后,发现了具有很好活性的化合物3,以其作为先导,对苯甲酸酯部分和嘧啶部分进行改造,再经过一系列的衍生合成与筛选得到了丙酯草醚和异丙酯草醚。

化合物专利名称:2-嘧啶氧基苄基取代苯基胺类衍生物,申请日期:20001016,专利号:ZL00130735.5,专利权人:浙江省化工研究院与中国科学院上海有机化学研究所。专利包括了丙酯草醚和异丙酯草醚,专利即将于20201016届满失效。同时也在多国申请了专利保护:JP2004512326、WO0234724、EP1327629、DE60131437、US20030220198等。2014年,山东侨昌化学有限公司获得95%丙酯草醚原药(PD20141891)和95%异丙酯草醚原药(PD20141888),以及10%丙酯草醚乳油(PD20141890)和10%异丙酯草醚乳油(PD20141889)的正式登记;2015年,又取得了10%丙酯草醚悬浮剂(PD20151586)和10%异丙酯草醚悬浮剂(PD20151334)的正式登记,均用于防治油菜田一年生杂草。
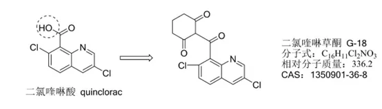
6. 二氯喹啉草酮
二氯喹啉草酮(试验代号G-18)是北京法盖银科技有限公司自主开发的HPPD抑制剂类除草剂。

该化合物是在巴斯夫除稗剂二氯喹啉酸(quinclorac)基础上衍生得到的。虽然巴斯夫也申请了具有除草作用的杂芳酰基环己二酮衍生物,但并没有具体公开二氯喹啉草酮的化学结构,而北京法盖银公司通过详尽研究,优化得到了二氯喹啉草酮。其对秋熟杂草无芒稗、西来稗、马唐、鳢肠、陌上菜、异型莎草、碎米莎草等生物活性高,对高龄稗草有特效,对鸭舌草、耳叶水苋具有一定的抑制作用,但对千金子防治效果较差。田间使用时,可在稻田杂草2~3叶期喷雾法施用,对水稻安全。
专利名称:2-(喹啉-8-基)羰基-环己烷-1,3-二酮类化合物,申请日期:20110510,专利号:ZL201110119584.0,专利权人:北京法盖银科技有限公司。2018年,定远县嘉禾植物保护剂有限责任公司取得了该药的正式登记证,包括98%二氯喹啉草酮原药(PD20184028)及20%二氯喹啉草酮可分散油悬浮剂(PD20184027,用于水田防除稗草)。
7. 环吡氟草酮和双唑草酮
环吡氟草酮和双唑草酮是青岛清原化合物有限公司自主研发的新型对羟基苯丙酮酸双加氧酶(HPPD)抑制剂类除草剂,由江苏清原农冠杂草防治有限公司独家登记。

环吡氟草酮是全球首次将HPPD抑制剂类化合物应用到小麦田抗性禾本科杂草的治理上;双唑草酮是中国首次将HPPD抑制剂类化合物引入到小麦田抗性阔叶杂草的治理上,为麦田抗性禾本科和阔叶杂草治理提供了有效的解决方案。这两个药剂都通过抑制HPPD的活性,使对羟基苯基丙酮酸转化为尿黑酸的过程受阻,从而导致生育酚以及质体醌无法正常合成,影响靶标体内类胡萝卜素合成,导致叶片发白,最后死亡。
环吡氟草酮是在拜耳公司开发的,主要用于防除小麦田阔叶杂草的除草剂pyrasulfotole基础上,利用自己独特的中间体,采用中间体衍生化法中的替换法,得到了全新的先导化合物,后经衍生化及优化研究,成功发明了环吡氟草酮。双唑草酮也是在除草剂pyrasulfotole基础上采用中间体衍生化法中的衍生法进行研究,最终优化得到。

环吡氟草酮对冬小麦不同品种表现出了优异的安全性,可有效防除当前长江中下游稻麦轮作区抗性、多抗性(ALS&ACCase&PPO)的看麦娘、日本看麦娘、硬草、棒头草、早熟禾等一年生禾本科杂草和抗性、多抗性的繁缕、牛繁缕、野油菜、荠菜等一年生阔叶杂草。双唑草酮可有效防除当前长江中下游稻麦轮作区抗性、多抗性的繁缕、牛繁缕、野油菜、荠菜、碎米荠,以及黄河流域小麦田抗性、多抗性的播娘蒿、荠菜、麦家公等一年生阔叶杂草。这两个品种与ALS抑制剂和PPO抑制剂等当前小麦田主流除草剂都不存在交互抗性。
相关产品已于2018年在中国上市,在全球50多个国家申请了专利。中国专利名称:吡唑酮类化合物或其盐、制备方法、除草剂组合物及用途,申请日期:20151106,专利号:ZL201510750677.1,专利权人:青岛清原化合物有限公司,专利包括了双唑草酮和环吡氟草酮。在其他国家申请的专利保护:IN201717033107、AU2016350960、BRPI1807527、CA2979570、EP3287445、US20180055054、WO2017075910、CN107311980等。2018年,江苏清原农冠杂草防治有限公司获得5个正式登记的产品:96%双唑草酮(PD20184018);10%双唑草酮可分散油悬浮剂(PD20184016,防治冬小麦田一年生阔叶杂草);95%环吡氟草酮(PD20184021);6%环吡氟草酮可分散油悬浮剂(PD20184019防治冬小麦田一年生禾本科杂草和部分阔叶杂草)以及其混剂登记。
三、植物生长调节剂创制品种
1. 菊胺酯(原名菊乙胺酯,bachmedesh)
菊胺酯(试验代号WD-5,通用名称:bachmedesh)是武汉大学和湖北省化工研究设计院共同创制的植物生长调节剂。

该化合物是以70年代发现一种“奇迹之药”——增产胺(DCPTA)为先导,进行结构修饰,根据拼合原理设计合成12个全新的类似物,通过筛选发现了WD-5,其对小麦、油菜、棉花、芝麻等作物有较好增产作用。
申请合成方法专利:植物生长调节剂N, N-二乙胺基乙基-4-氯-α-异丙基苄基羧酸酯盐酸盐的合成,申请日期:19930218,专利号:ZL93102043.3,专利权人:武汉大学,2005年未缴年费专利权终止。2003年,湖北旺世化工有限公司取得了该药的临时登记证,包括95%菊胺酯原药(LS20030206)及95%菊胺酯可溶性粉剂(LS20030232),已过期。
2. 苯哒嗪丙酯(bachmedesh)
苯哒嗪丙酯(试验代号:BAU9403,通用名称:fenridazon-propyl)是中国农业大学开发的化学杂交剂。

1980年原罗门哈斯公司曾申请了作为植物生长调节剂的该化合物的制备工艺专利,中国农业大学于1997年合成了该化合物,并对其进行了详尽研究。主要用于小麦,具有良好的小麦去雄效果。田间试验表明,在有效剂量下,可诱导小麦雄性不育,产生的杂交种子无干瘪现象。其无明显副作用,且对叶片大小、穗长、小穗数和穗粒数均无明显影响。
申请合成方法专利:一种新化学杂交剂,申请日期:19981116,专利号:ZL98124742.3,专利权人:中国农业大学,2010年未缴年费专利权终止。2002年,河北新兴化工有限责任公司取得了该药的临时登记证,包括95%苯哒嗪丙酯原药(LS20020926)及10%苯哒嗪丙酯乳油(LS20020927),已过期。
3. 呋苯硫脲(fuphenthiourea)
呋苯硫脲(试验代号CAU9901,通用名称:fuphenthiourea)是中国农业大学自主创制的新型植物生长调节剂。

已知酰胺硫脲类化合物具有杀虫,植物生长调节等生物活性,而5-芳基-2-呋喃甲酸及其衍生物已有多种生物活性报道,在此基础上创制了全新的呋苯硫脲,可调节水稻生长,能促进秧苗发根,根系旺盛,提高秧苗素质,活力增强。移栽大田后,能促进水稻分孽,增加成穗数和每穗实粒数,但对千粒重无明显影响。田间药效表明:可使水稻增产6-14%。
化合物专利:含取代呋喃环的酰胺基硫脲的合成,申请日期:19991215,专利号:ZL99126216.6,专利权人:司宗兴与程卫华,2011年未缴年费专利权终止。2005年,河北万全力华化工有限责任公司取得了该药的临时登记证,包括90%呋苯硫脲原药(LS20053285)及10%呋苯硫脲乳油(LS20053409),已过期。
4. 14-羟基芸苔素甾醇(14-hydroxylated brassinosteroid)
14-羟基芸苔素甾醇(通用名称:14-hydroxylatedbrassinosteroid)是成都新朝阳作物科学有限公司发现的甾醇类植物生长调节剂。

该类芸苔素的类似物于1970年由Faux等人从蕨类植物中提取发现,2002年中科院昆明植物研究所首次化学合成了该化合物,但并未申请专利,后来由成都新朝阳作物科学有限公司从花粉中提取分离得到了14-羟基芸苔素甾醇,其活性主要表现为促进植物生长,提高结实率,增加产量、改善品质、抗逆等。极其微小的剂量就可表现出良好的调节效果。其作用方式主要是促进细胞伸长和分裂,调控叶片形状;改变细胞膜电位和酶活性,增强光合作用;促进DNA、RNA和蛋白质的生物合成,提高植株对环境胁迫的耐受力等。
化合物制备及组合物专利:天然芸苔素内酯类似物的应用,申请日期:20120118,专利号:ZL201210026285.7,专利权人:成都新朝阳作物科学有限公司。同族专利由WO2013106975、US20150005169、AU201410070。该公司于2007年取得了该农药的正式登记证,2017年又获得了包括5%14-羟基芸苔素甾醇母药(PD20171724)及0.01%14-羟基芸苔素甾醇的水剂(PD20171723,用于水稻调节生长)的正式登记。