近日,兴发集团全资子公司湖北泰盛化工有限公司申请的一项名为″一种砜吡草唑中间体的连续化合成方法″的专利公开,申请公布号CN119798243A。专利提供一种高收率,高纯度连续化合成砜吡草唑中间体的方法。
砜吡草唑(Pyroxasulfone)具有很好的市场开发前景,作为优良的苗前土壤处理剂,作用机理与经典土壤处理剂乙草胺、精异丙甲草胺相同,但用药量只有它们的1/10左右。且该产品防治谱广,可以安全地用于玉米、棉花、花生、小麦、向日葵等作物;可有效防除狗尾草属、马唐属、稗属等禾本科杂草以及苋属、曼陀罗属、茄属、苘麻属等阔叶杂草。
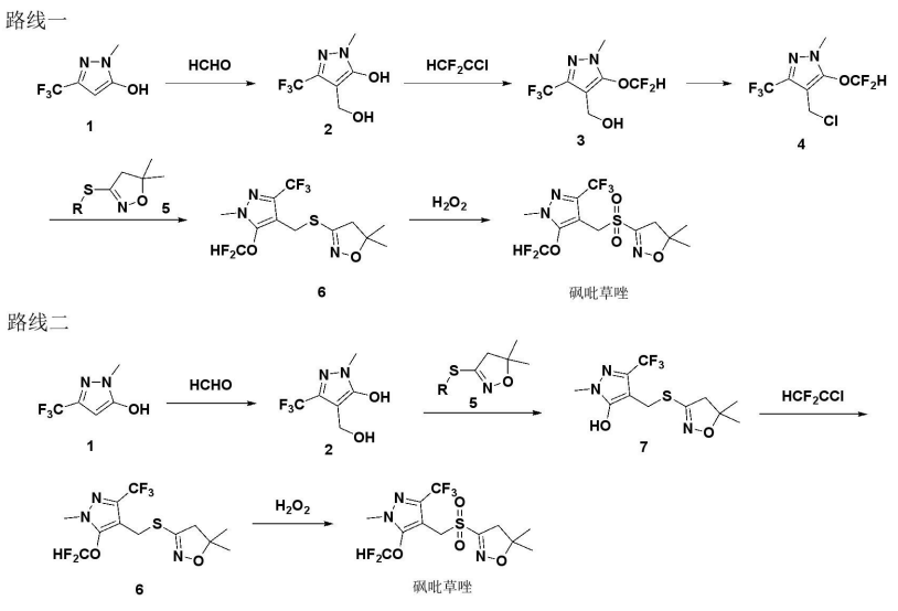
目前,合成砜吡草唑的两种主要路线如下:

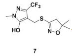
仅从路线对比而言,路线二相较于路线一少一步氯化,工业化应该更具有优势;但由于路线二中中间体2和中间体5对接合成中间体7的过程使用大大过量的碱,反应过程放热剧烈,工艺较难控制,会产生较多中间体5以及中间体1的二聚杂质难以 除去,使得中间体7的收率和纯度较低(收率通常为85%左右,纯度为88%左右),影响后续反应,生产成本较高,实际工业化并无太大优势。
而中间体7的合成路线中,中间体2只有在较强的碱性下才能保持稳定,否则会有较多杂质1生成;为了减少杂质1生成,会加入过量的化合物5,而过量的化合物5又会产生杂质2和杂质3,难以纯化,使得产物纯度偏低。其次,中间体2和化合物5碱性条件混合后并不会生成化合物7,必须在调节pH为酸性后才会转化为化合物7,因此如何在调节pH过程中减少或避免杂质1的产生是提升收率和纯度的关键。
为解决上述问题,本发明提供一种砜吡草唑中间体的连续化合成方法。该方法通过改变传统制备工艺,解决了现有合成工艺不稳定,杂质多,收率和纯度偏低的问题,提供一种高收率,高纯度连续化合成砜吡草唑中间体7的方法。提高了原料的利用率和反应效 率,反应时间由原来的3小时缩短至20分钟以内,减少了三废的产生,降低了产品的生产成本。

本发明所述合成方法中用到的化合物及合成方法,路径如下:
