啶磺草胺(Pyroxsulam)是美国科迪华(原陶氏益农)开发的磺酰胺类内吸传导型、选择性苗后除草剂。继2007 年在智利以商品名“Admitt” 获得全球首个批准后,现已在英国、阿根廷、澳大利亚、加拿大、美国和国内获得批准。
啶磺草胺是三唑并嘧啶胺类乙酰乳酸合成酶(ALS)抑制剂,通过抑制杂草体内的乙酰乳酸合成酶( ALS),使靶标植物无法合成支链氨基酸,进而影响蛋白质合成,影响杂草细胞分裂,造成杂草停止生长、黄化、最后死亡。ALS抑制剂通过抑制ALS而破坏植物体内缬氨酸、亮氨酸和异亮氨酸的合成,存在于植物、真菌、细菌之中,由于在人或动物体内并未发现ALS,因此啶磺草胺不仅能有效杀除杂草,而且对对人和动物十分安全。啶磺草胺属于磺酰胺类内吸传导型、选择性冬小麦田苗后除草剂,杀草谱极广、除草活性高、药效作用快,对小麦田常见的禾本科杂草有良好的效果,对阔叶杂草也具有一定的防效。对日本看麦娘、多花黑麦草、野燕麦、硬草等恶性禾本科杂草的优异防效是啶磺草胺的突出优势,而且该除草剂与精唑禾草灵、炔草酯等无交互抗性。
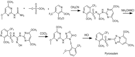
路线一:以N-(4,6-二甲氧基-2-嘧啶基)硫脲和2-甲氧基-4三氟甲基-3-此啶磺酰氯等为原料,经过3步反应,得到啶磺草胺(Pyroxsulam),如下图所示。

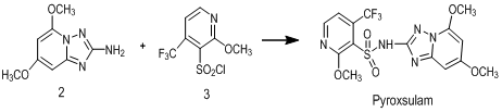
路线二:2-氨基-5,7-二甲氧基[1,2,4]三唑并[1,5-a]嘧啶(I)与2-甲氧基-4-三氟甲基-3-吡啶磺酰氟(II)直接缩合得到啶磺草胺(Pyroxsulam),如下图所示。

对比啶磺草胺的2条合成路线,路线一原料不易得到,且环合反应需要用到剧毒化学品光气。路线二中2-氨基-5,7-二甲氧基[1,2,4]三唑并[1,5-a]嘧啶与2-甲氧基-4三氟甲基-3-吡啶磺酰氯直接缩合得到啶磺草胺,此合成路线反应条件温和,操作简单,易于工业化。因此采用路线二合成啶磺草胺较为合理。
2007年,在智利以商品名“Admitt” 获得全球首个批准后;
2009年,啶磺草胺以Broadway Star的形式引进英国市场,这是欧洲市场首次使用啶磺草胺;
2012年,美国科迪华(原陶氏益农)在国内获得首个登记, 目前国内有4个登记证,其中包括1个原药产品和3个制剂产品,制剂商品名有优先,麦咏;
2013年,根据关于植物保护产品投放市场的欧洲议会和理事会条例(EC) No 1107/2009,批准活性物质啶磺草胺(Pyroxsulam),并修订委员会实施条例((EU) No 1176/2013的附录。基于啶磺草胺的性质,啶磺草胺可以开发为水分散粒剂、可分散油悬浮剂等剂型。可与双氟磺草胺,氯氟吡氧乙酸酯,二甲戊灵,氟氯吡啶酯等复配;比如美国科迪华(原陶氏益农)在英国上市的啶磺草胺产品包括Broadway Star [啶磺草胺+双氟磺草胺(florasulam]和Broadway Sunrise(啶磺草胺+二甲戊灵),其复配空间还有很多机会可以去尝试。
美国科迪华(原陶氏益农)申请的啶磺草胺国内化合物专利CN1398266A将于2021年届满。其在国内发展空间巨大,值得企业重点关注和开发,有意向开发的企业可以尽快着手安排登记,以便专利届满后尽快占领市场。