是由韩国Dongbu Hannong公司研发成功的一种芳氧基苯氧基丙酸酯类除草剂,广泛用于控制谷类作物和水稻中的多年生杂草,能较好的防治稻田中的千金子、稗草、牛筋草和马唐等杂草,并且对水稻是非常安全。
噁唑酰草胺(Metamifop),商品名:韩秋好,实验代号:K-12794、DBH-129。是由韩国化工技术研究院开发的芳氧苯氧丙酸酯类除草剂[36,37],CAS号为256412-89-2。
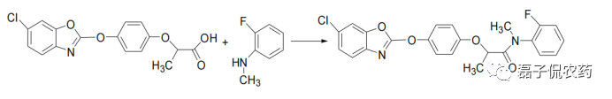
其化学结构式如下:

噁唑酰草胺的作用机理是抑制作物体内乙酰辅酶羧化酶的合成。其有效成份需要达到植物体内靶标方能发挥除草作用。然后杂草叶面退绿,生长停止,茎叶干枯,最终导至植物的死亡。芳氧基苯氧基丙酸酯类除草剂的专一性很强,对非目标作物的毒性有限或基本没有毒性,并且对土壤也很安全。
1. 安全性:在农作物、水、土壤、环境中无残留,对环境污染小,符合对环境友好的特点。
2. 高效广谱:能够有效的防除水稻中的稗草、千金子、马唐等禾本科杂草。
3. 适配性强:有的除草剂对水稻田中的千金子基本上无防除效果,但是噁唑酰草胺尤其对千金子有较高的的防除活性,因为有的除草剂具有选择性,所以将噁唑酰草胺同其它类型的除草剂配和使用除草效果更好,杀草谱更广,作用范围更广。

10%噁唑酰草胺乳油对水稻安全,可有效防除水稻田主要杂草,如稗草、千金子、马唐和牛筋草防除效果达到95%以上,主要用于移栽和直播稻田除草。2019年噁唑酰草胺美国富美实已过专利保护期。
注意事项
1. 不可重喷
喷施噁唑酰草胺后,不可重喷,以免发生药害。
2. 高温效果好
噁唑酰草胺在温度35℃,效果表现更佳。
3. 严禁使用弥雾机
喷施噁唑酰草胺时,严禁使用弥雾机喷雾,容易出现药害。
4. 复配增效
在安徽、江苏、湖北等地千金子抗性地区反应,噁唑酰草胺与氰氟草酯复配使用,相互增效,防除抗性千金子特效。
5. 严禁与吡嘧磺隆混合使用。

制剂登记29个。绝大部分为10%~15% EC。
复配登记为77个,为与五氟磺草胺,氰氟草酯,敌稗,二氯喹啉酸等相关水稻田除草剂复配。

该反应属于N-酰化反应,羧酸也是常用的酰基化试剂,该反应会有水生成。为了使反应能够进行完全,需要加入脱水剂,将生成的水及时从反应体系中除去。该合成路线以三乙胺为催化剂,三苯基膦作为连接剂,经酸化、萃取、柱层析制得最终产品。
噁唑酰草胺的除草活性要比氰氟草酯高,杀草谱也比氰氟草酯要广,但安全性没有氰氟草酯高,氰氟草酯可加倍使用,噁唑酰草胺就不行。
噁唑酰草胺可用于防治水稻田稗草、千金子、马唐、牛筋草等一年生禾本科杂草,防除效果达到95%以上,而氰氟草酯对千金子高效,而针对稗草等需要草龄小或3~5倍以上的用量。两者混用有很好的增效作用,主要用于防除抗性稗草。
噁唑酰草胺在使用时一定要注意使用剂量,在安全剂量内使用。