提示
×
取消
确定
欢迎来到农化专利网!
请登录
免费注册
帮助中心
购物车
0513-83511907
首页
农化专利
无形资产
专利报告
商标
著作权
商业资料
有形资产
农药技术
厂房车间
机械设备
代理服务
商标服务
专利服务
需求代理
行业需求
资讯专区
新闻资讯
专利信息
科技进展
专利专论
培训资料
通知公告
专利课堂
专家团队
关于我们
当前位置:
首页
>
新闻资讯
对鳞翅目害虫具有特效的苯甲酰脲类化合物——除虫脲
来源:农化专利网
发布时间:2021-10-26 08:17
分享到:
QQ空间
微信
QQ好友
新浪微博
人人网
简述
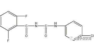
除虫脲又称伏虫脲、氟脲杀、敌灭灵(Dimilin),化学名称为1-(4-氯苯基)-3-(2,6-二氟苯甲酰基)脲,属于苯甲酰脲类化合物,是昆虫几丁质合成抑制剂。理化性质除虫脲原药是一种白色或浅黄色针状结晶;熔点为210 ~230℃(分解)。
除虫脲又称伏虫脲、氟脲杀、敌灭灵(Dimilin),化学名称为1-(4-氯苯基)-3-(2,6-二氟苯甲酰基)脲,属于苯甲酰脲类化合物,是昆虫几丁质合成抑制剂。
理化性质
除虫脲原药是一种白色或浅黄色针状结晶;
熔点为210 ~230℃(分解)。
溶
解于
水0.08 mg/L
(pH 5.5,20℃),
丙酮6.5 g/L(20℃),二甲基甲 酰胺104 g/L(25℃),中度溶于极性有机溶剂,微溶于非极性有机溶剂(<10 g/L)。
溶液对光敏感,以固体存在时对光稳定。
毒理
原药对大鼠急性经口LD50>46401mg/kg (也有报道对大鼠>1500mg/kg)。兔急性经皮LD50>2000mg/kg,急性吸入LC50>30mg/L。对兔眼睛和皮肤有轻度刺激作用。大鼠经口无作用剂量为每天125mg/kg。
在试验剂量内未见动物致畸、致突变作用。鹌鹑急性经口LD50>4640mg/kg,鲑鱼LC50为0.3mg/L (30d),蜜蜂接触LD50<30 μg/只。
作用机理
除虫脲为苯甲酸基苯基脲类除虫剂,与灭幼脲三号为同类除虫剂,杀虫机理也是通过抑制昆虫的几丁质合成酶的合成,从而抑制幼虫、卵、蛹表皮几丁质的合成,使昆虫不能正常蜕皮虫体畸形而死亡。
该药对鳞翅目害虫有特效。
使用安全,对鱼、蜜蜂及天敌无不良影响。害虫取食后造成积累性中毒,由于缺乏几丁质,幼虫不能形成新表皮,蜕皮困难,化蛹受阻;成虫难以羽化、产卵;卵不能正常发育、孵化的 幼虫表皮缺乏硬度而死亡,从而影响害虫整个世代。
由于其独特的作用机理,其缺点是速效性差,对成虫无效。
靶标作物
除虫脲适用植物很广,可广泛使用于苹果、梨、桃、柑橘等果树,玉米、小麦、水稻、棉花、花生等粮棉油作物,十字花科蔬菜、茄果类蔬菜、瓜类等蔬菜,及茶树、森林等多种植物。
主要用于防治鳞翅目害虫,如菜青虫、小菜蛾、甜菜夜蛾、斜纹夜蛾、金纹细蛾、桃线潜叶蛾、柑橘潜叶蛾、粘虫、茶尺蠖、棉铃虫、美国白蛾、松毛虫、卷叶蛾、卷叶螟等。
如防治小菜蛾、斜纹夜蛾、甜菜夜蛾、菜青虫等,在卵孵盛期至1~2龄幼虫盛发期,用25%悬浮剂500~1000倍液喷雾。防治玉米螟、玉米铁甲虫,在幼虫初孵期或产卵高峰期,用20%悬浮剂1000~2000倍液灌心叶或喷雾,可杀卵及初孵幼虫。
防治黏虫,在幼虫盛发期,用20%悬浮剂75~150g/hm2加水750kg喷雾。防治柑橘潜叶蛾,在抽梢初期、卵孵盛期,用25%悬浮剂2000倍液喷雾。此外还可防治梨小食心虫、毒蛾、松毛虫、稻纵卷叶螟等。
国内登记
除虫脲在国内共有19个原药登记。
国内共有单剂登记33个, 主要剂型为除虫脲25%WP和除虫脲20% SC。
国内共有复配制剂登记13个, 主要是与辛硫磷,甲维盐的复配。
合成工艺
1.将2,6-二氟苯甲酰胺和4-氯苯基异氰酸酯置于二甲苯中加热回流,反应完成后冷却,所得结晶物用二甲苯洗涤、干燥而得伏虫脲。
2.2,6-二氟苯甲酰胺的制备 由2,6-二氯苯腈出发,经氟化、亲核加成反应制得。参阅氟啶脲的制备方法。除虫脲的合成.也可用2,6-二氟苯甲酰胺与4-氯苯基异氰酸酯反应制得。
3.由2,6-二氯苯腈、溶剂存在下与氟化钾制成2,6-二氟苯腈,于65~70℃在硫酸存在下水解制取2,6-二氟苯胺,再与4-氯苯基异氰酸酯反应可制得除虫脲。或者将2,6-二氟苯甲酰胺与光气作用生成2,6-二氟苯基异氰酸酯,再与对氯苯胺加成生成除虫脲。
总结
除虫脲为昆虫生长调节剂不仅符合人们对绿色环保的需要,也与我国低毒农药替代高毒农药的政策要求相一致,是一种昆虫抗药性综合治理的优选药剂。
需要注意的是其抗药性风险。其速效性差,其与有机磷类, 甲维盐或氯虫苯甲酰胺等速效性强的药剂复配,是首选解决方案。
来源:磊子侃农药
相关阅读
柑橘黄龙病防控药剂的多元化探索:从传统抗生素到靶向药、免疫诱导、纳米化及抗菌肽
[2025-11-28]
浙江宇龙登记国内企业首个种菌唑原药产品
[2025-11-28]
专利侵权判断中对制造公差的考量
[2025-11-28]
中国农科院植保所开发出生物农药纳米乳,对烟草靶斑病防效达72.97%
[2025-11-28]
黑龙江省研制出2%白屈菜红碱·蛇床子素悬浮剂,可有效防治稻曲病
[2025-11-28]
我国首个苦皮藤素烟剂产品获批登记
[2021-10-26]
首个二嗪磷微囊悬浮剂产品获批登记
[2021-10-25]
近期我国新批准登记177个农药产品,罗列表让你看清
[2021-10-25]
噻虫胺首次在我国芹菜上登记
[2021-10-25]
拜耳新一代双酰胺类杀虫剂——四唑虫酰胺”到底有多强?
[2021-10-25]