青出于蓝而胜于蓝的精异丙甲草胺,近两年市场得到快速增长
| 来源:农化专利网 |
|
发布时间:2022-06-08 08:04 |
|
简述
金都尔 ( 精异丙甲草胺 ) 是瑞士先正达公司在全球最大的选择性除草剂 ——都尔的基础上开发的新一代高科技产品,是一类氯乙酰氯胺类、具有光学活性的一类手性农药。1997年在美国上市,2001年10月16日其美国专利过期。
金都尔 ( 精异丙甲草胺 ) 是瑞士先正达公司在全球最大的选择性除草剂 ——都尔的基础上开发的新一代高科技产品,是一类氯乙酰氯胺类、具有光学活性的一类手性农药。1997年在美国上市,2001年10月16日其美国专利过期。
精异丙甲草胺,其他名称:金都尔、高效异丙甲草胺;英文名称:S-metolachlor,CAS 号 87392-12-9,分子式:C15H22ClNO2,分子量283.8,熔点 -61.1℃,沸点:334℃,闪点:190℃。溶解性:480mg/L (pH7.3,25℃ ),水中稳定不水解,与正己烷、甲苯、甲醇、丙酮、乙酸乙酯完全混溶。适用的对象:玉米、土豆、大豆、高粱等。

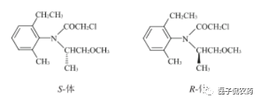
精异丙甲草胺是在异丙甲草胺的基础上,去除非活性R-体,得到的活性S-体。具有异丙甲草胺的所有优点,除此之外在安全性和防治效果上比异丙甲草胺更胜一筹。
960克/升精异丙甲草胺的效力相当于720克 /升异丙甲草胺的1.6倍以上。其毒性要比异丙甲草胺低,甚至只有后者毒性的十分之一。

精异丙甲草胺为乙酰胺类除草剂,具有氯乙酰胺结构,为细胞分裂抑制剂,通过抑制长链脂肪酸的合成从而影响细胞生长。其具有选择性,主要通过胚轴和芽吸收,根和种子亦可少量吸收,但传导速度慢,出苗后则主要靠根吸收。
施用精异丙甲草胺后,较敏感的杂草在刚出土甚至出芽后出土前即可中毒死亡。如果土壤墒情好,杂草在幼芽期即被杀死;如果土壤水分较少,杂草即使出苗,但随着降量增加,土壤湿度增加,杂草吸收了精异丙甲草胺后,亦会皱缩变黄整株枯死。
精异丙甲草胺适宜作物和防除对象同异丙甲草胺,主要用于玉米、高粱、棉花、甘蔗、甜菜、马铃薯、饲料甜菜、大豆、花生、向日葵、各种蔬菜等防除一年生禾本科杂草(如稗草、狗尾草、马唐、臂形草、黍和莎草)及部分阔叶杂草(如苋、荠菜和马齿苋)。
精异丙甲草胺的合成目前主要采用定向合成法,有三步:

1. 以2-甲基-6-乙基苯胺为原料,与甲氧基丙酮(简称酮醚)缩合生成亚胺;然后经手性催化加氢合成手性中间——胺醚,胺醚再与氯乙酰氯反应生成异丙甲草胺。
2. 亚胺中间体制备,酮醚用量1.05当量,产品可以通过精馏得到含99%以上,收率95%(以2-甲基 -6-乙基苯胺计算);以Ir-Xyliphos为催化剂,温度 80~90℃;压力4.5~5.5M pa。
3. 胺醚中间体可以通过精馏得到含量99.5%以上,收率92%(以亚胺计算);精异丙甲草胺的制备,温度80~90℃;与等当量的氯乙酰氯反应得到含量96%以上的产品,ee值大于85%,收率92%(以胺醚计算)。
2005年,瑞士先正达作物保护有限公司在中国取得了精异丙甲草胺原药和制剂的首家正式登记。原药质量分数为96%。制剂为960g/L乳油,用于夏大豆田、春大豆田、烟草田、芝麻田、西瓜田、甜菜田、向日葵田、菜豆田、马铃薯田、大蒜田、花生田、夏玉米田、棉花田、甘蓝田、油菜(移栽田)、洋葱田、番茄田土壤喷雾处理防除一年生禾本科杂草及部分阔叶杂草。
随后,上虞颖泰精细化工有限公司、杭州颖泰生物科技有限公司、江苏长青农化股份有限公司等17家公司陆续涉足开发该产品,分别取得了精异丙甲草胺原药登记,质量分数有96%、97%、98%。目前国内共有24个精异丙甲草胺原药登记证。
我国登记的有效期内的精异丙甲草胺产品,单剂主要剂型是960g/L乳油、45%微囊悬浮剂。复配制剂有38.5%硝*精*莠去津悬乳剂(3%硝磺草酮+24.7%精异丙甲草胺+10.8%莠去津)、670g/L异丙*莠去津悬乳剂(350g/L精异丙甲草胺+320g/L莠去津)、53%异丙*莠去津悬浮剂(28%精异丙甲草胺+25%莠去津)、30%乙氧*精异丙水乳剂(6%乙氧氟草醚+24%精异丙甲草胺)等。
2014年,乙酰胺类除草剂全球销售额为20.32亿美元,在除草剂类别中列第4位,仅在氨基酸类、其他结构类、磺酰脲类除草剂之后。其销售额占当年632.12亿美元农药(包括非作物用农药在内)总市场的3.2%,占264.4亿美元除草剂总市场的7.7% 。
在乙酰胺类除草剂中氯乙酰胺结构的除草剂占主导地位,其主要产品包括异丙甲草胺、精异丙甲草胺、乙草胺、吡唑草胺、丁草胺、丙草胺等。精异丙甲草胺近些年来市场的扩张主要得益于复配制剂的开发,尤其是精异丙甲草胺与硝磺草酮、莠去津复配的制剂。另一方面美国玉米种植面积的增加也助推了其市场扩张。异丙甲草胺(包括精异丙甲草胺)主要销售市场有美国、巴西、中国、墨西哥、阿根廷等。
近年来乙草胺的市场已呈大幅下降趋势,而异丙甲草胺市场却快速增长。近两年异丙甲草胺市场有以下两个特点:
一是市场增长幅度大。据不完全统计,目前国内各类单剂有3000多吨。近两年异丙甲草胺的市场每年均有20%的增长。这两年市场销量感觉明显上升,几乎占到销量的三分之一,而且很多时候供不应求。
二是使用作物种类扩展快。前几年异丙甲草胺主要应用于部分经济作物和蔬菜,这两年除这两者保持了快速增长以外,部分的大田作物开始使用。如东北的大豆田和华北的玉米田,尽管它多以复配剂成分出现,但其需求量则相当可观。
精异丙甲草胺使用量增长的原因
1.乙草胺使用受限。
乙草胺是现阶段我国农药市场最典型的代表,市场混乱。受利益驱动和寻求差异化营销的角度,异丙甲草胺成为替代乙草胺的最佳选择。我国部分地区农民长时期超剂量使用乙草胺,造成了有些农产品乙草胺残留量超标,直接影响到出口贸易。在花生上禁用乙草胺。受此影响乙草胺在当地大幅减少,异丙甲草胺则大量增加。
2. 生产和应用的规模化效应。
目前的市场格局有3个层面:处在高端的是先正达的精异丙甲草胺,由于切入市场早,兼具技术、证号优势,量、价、品牌等方面都是第一梯队。第二是以山东滨农、山东中禾为代表的原药生产企业,依靠他们的原药优势,在东北、华北和华中地区开拓了自己的市场,有了一定的品牌影响力。其余为第三梯队。
生产厂家的集群效应。截止到目前国内涉及异丙甲草胺登记的厂家有105家。其中原药16家,72%的54家,96%的4家,复配剂27家,其他含量的4家。上百家企业推广一个产品,加速了它的市场普及速度。
3. 价格优势。
该产品九十年代进入中国以来,随着技术的不断进步,近几年原药已经具备了规模化、系列化生产的特点,成本不断降低。现在异丙甲草胺原药比乙草胺原药价格差降到30%以下。72%的单剂已降到3万元,农民亩使用成本已不足10元。异丙甲草胺性价比凸显。