[目的]寻找较高杀虫活性的吡唑酰胺类化合物并进行结构优化。
[方法]设计合成一系列含有多种苯环2-位取代基结构的吡唑酰胺类化合物。
[结果]合成了7个结构新颖的含有苯环2-位取代基结构的吡唑酰胺类化合物,其结构经过1H NMR和有机元素分析或高分辨质谱确证,并进行了杀虫活性测试研究。
[结论]杀虫活性测试结果表明:部分目标化合物对小菜蛾和东方黏虫具有较好的杀虫活性,值得进一步研究。
为了应对害虫对现存杀虫剂抗性的快速发展,不少农药科技工作者纷纷投入到开发具有新型作用机理的杀虫剂。近年来,以鱼尼丁受体为靶标的杀虫剂研发取得了突破性进展。2001年,杜邦公司开发了一种新型作用于昆虫鱼尼丁受体的杀虫剂:邻甲酰氨基苯甲酰胺类化合物,代表化合物为氯虫酰胺(Rynaxypyr,DPX-E2Y45,chlorantraniliprole)(见图1A),该类化合物表现出高效、广谱、作用机理独特、对非靶标生物安全以及与传统的杀虫剂无交互抗性等特点,从而成为当今农用化学品工业合成和研究工作的重点和热点,引发了各大科研机构的研究热潮。
国内外已经有很多学者对氯虫酰胺的结构进行了一系列修饰与改造,发现了大量高活性的化合物。文献报道对其结构改造主要分为4部分(见图1B),苯甲酰胺部分(a),酰胺桥键部分(b),吡啶基吡唑部分(c),苯环部分(d)。其中,对a片段甲酰胺部分做了大量改造,替换成其他基团,如杂环、含氰基的酰胺等,本课题组将苯甲酰胺结构改造为氰基(见图1C),简化了分子结构,并显示优异的杀虫活性。

图1 目标化合物I的设计思路
为了进一步寻找和发现高效、低毒、安全的新型杀虫剂,在之前工作基础上,将氯虫酰胺母体结构中苯甲酰胺片段进行进一步修饰改造,设计合成了一系列新型苯环2-取代结构吡唑酰胺类化合物,并进行了初步的生物活性测试研究。杀虫活性测试结果表明:部分目标化合物对小菜蛾和东方黏虫具有较好的杀虫活性。
1. 仪器和试剂
核磁共振仪(BRUKERAvance 500 MHz型);显微熔点测定仪(X-6,北京泰克仪器有限公司);有机元素分析仪(Carlo Erba 1106型);高分辨质谱仪(Varian QFT-ESI型);中间体化合物2~5合成参考本课题组前期工作报道文献。其他试剂均为市售化学纯或分析纯。
2. 目标化合物的合成
(1)中间体2的合成
250 mL三口瓶中,化合物1(60.0 mmol)溶于20 mL四氢呋喃溶液中,冰浴下滴加到四氢铝锂(120.0 mmol)的60 mL的四氢呋喃悬浮液中,滴加过程中温度低于5 ℃。冰浴下反应3h,TLC监控。反应完毕,向反应体系中加入十水硫酸钠淬灭未反应完毕的四氢铝锂,过滤,脱溶,得到白色固体,产率97%, 熔点83~85 ℃。1H NMR(400 MHz,CDCl3)δ:7.02(d,1H,J=2.4 Hz,Ar-H),6.93(d,1H,J=2.4 Hz,Ar-H),4.63(s,2H,Ar-CH2),2.16(s,3H,Ar-CH3)。
(2)中间体3的合成
室温下,在100 mL圆底烧瓶中,活性二氧化锰(4.0 mmol)加入到化合物2 (2.0 mmol)的20 mL的二氯甲烷溶液中,室温反应,TLC监控。反应完毕,加入柱层析硅胶20 g,搅拌均匀,减压过滤,脱溶,得到化合物3,黄色固体,产率77%,熔点114~116 ℃。1H NMR (400 MHz,CDCl3) δ:9.81(s,1H,CHO),7.35(s,1H,Ar-H),7.21(s,1H,Ar-H),6.23(brs,2H,Ar-NH2),2.16(s,3H,Ar-CH3)。
(3)中间体5的合成
在100 mL圆底烧瓶中,加入化合物4(1.0 mmol),二氯甲烷20 mL和草酰氯(1.5 mmol),搅拌下加入1滴DMF,溶液逐渐变澄清,反应2 h 后旋干溶剂,所得的酰氯溶液溶于10 mL二氯甲烷中,冰浴下滴入3(1.0 mmol)和吡啶(1.0 mmol)的10 mL二氯甲烷中,滴毕,室温搅拌2 h,然后脱去大部分溶剂,加入40 mL乙酸乙酯。混合物经过1 mol/L盐酸、饱和碳酸氢钠溶液和饱和食盐水洗,无水硫酸镁干燥。浓缩溶剂,经柱层析(洗脱液为乙酸乙酯和石油醚混合溶剂),得白色固体5,产率:51.4%,熔点85~87℃。1H NMR(400 MHz,CDCl3) δ:9.95(s,1H,CHO),9.91(s,1H,CONH),8.46(d,1H,J=4.4 Hz,Pyridyl-H),7.86(d,1H,J=8.0 Hz,Pyridyl-H),7.58(s,1H,Ar-H),7.46(s,1H,Ar-H),7.39(dd,1H,Pyridyl-H),7.09(s,1H,Pyrazolyl-H),2.21(s,3H,CH3)。
(4)L-半胱氨酸甲酯盐酸盐7的合成
L-半胱氨酸(0.35 mmol)溶于20 mL甲醇中,溶液冰浴冷却至0 ℃,缓慢滴加氯化亚砜(0.53 mmol),滴加完毕,回流反应3 h,蒸除溶剂,得白色固体7,产率:87.4%,熔点140~142 ℃。

图2 中间体2,3,5和7的合成路线

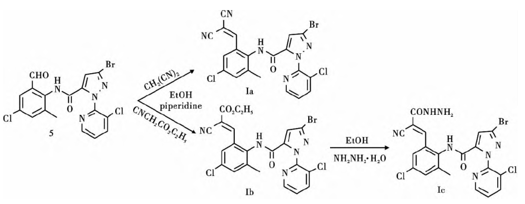
图3 目标化合物Ia~Ic合成路线

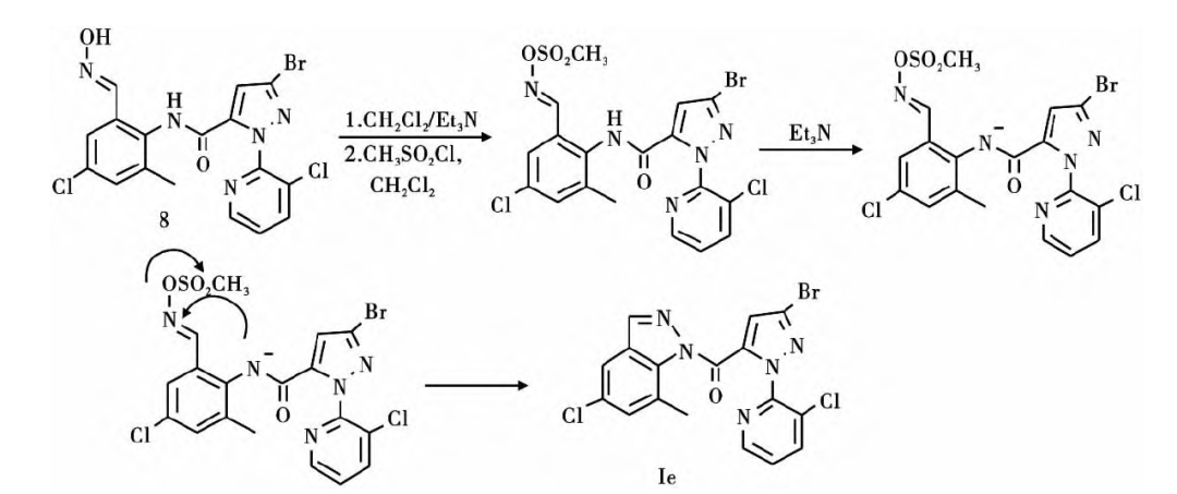
图4 目标化合物Id~Ie合成路线

图5 目标化合物If~Ig的合成路线
(5)目标化合物Ia~Ib的合成
100 mL圆底烧瓶中,加入5 (1.0 mmol),丙二腈(1.0 mmol)和20 mL乙醇,滴入催化量的哌啶(0.1 mmol),常温搅拌,TLC监控。反应完毕,加入乙酸乙酯40 mL,所得溶液用1 mol/L盐酸,水和饱和食盐水洗,无水硫酸镁干燥。浓缩溶剂,经柱层析(洗脱液为乙酸乙酯和石油醚混合溶剂),得白色固体Ia。Ib合成方法同上,反应物用氰基乙酸乙酯代替丙二腈。
(6)目标化合物Ic的合成
100 mL圆底烧瓶中,加入化合物Ib (1.0 mmol)和20 mL乙醇,在搅拌下加入80%的水合肼(5.0 mmol),常温搅拌,TLC监控。反应完毕,加入乙酸乙酯40 mL,所得溶液用1 mol/L盐酸,水和饱和食盐水洗,无水硫酸镁干燥。浓缩溶剂,经柱层析(洗脱液为乙酸乙酯和石油醚混合溶剂),得白色固体Ic。
(7)目标化合物Id的合成
化合物5(1 mmol)溶于20 mL氯仿中,在向该反应液中加入乙二醇(1.0 mmol) 以及催化量的对甲基苯磺酸(0.1 mmol),反应液加热至回流,TLC监控。反应完毕,浓缩溶剂,经柱层析(洗脱液为乙酸乙酯和石油醚混合溶剂),得白色固体Id。
(8)目标化合物Ie的合成
100 mL圆底烧瓶中,加入化合物5(1.0 mmol),15 mL乙醇和3 mL水,搅拌下加入盐酸羟胺(2.0 mmol),常温搅拌1 h,浓缩溶剂,经柱层析(洗脱液为乙酸乙酯和石油醚混合溶剂),得白色固体8,白色固体,产率98%,熔点172~174 ℃。1H NMR (400 MHz,CDCl3) δ:9.15(s,1H,CONH),8.44 (dd,1H,Ar -H),8.32 (s,1H,OH),8.05 (s,1H,CH),7.87(dd,1H,Ar -H),7.38 (dd,1H,Ar -H),7.21 (s,1H,Ar -H),7.19(s,1H,Ar-H),6.92(s,1H,Ar-H),2.18(s,3H,CH3)。
化合物8溶于20 mL二氯甲烷中,加入三乙胺(2.0 mmol),冰浴冷却至0℃,缓慢滴入甲基磺酰氯(1.2 mmol)的二氯甲烷溶液,滴毕,体系温度慢慢升至室温(大概需要1 h),TLC监控。反应完毕,反应液用1 mol/L盐酸,水和饱和食盐水洗,无水硫酸镁干燥。乙酸乙酯石油醚重结晶得白色固体Ie。
(9)目标化合物If的合成
化合物5(1.0 mmol)和7(1.0 mmol)加入20 mL乙醇和水(体积比1∶1)的混合溶液中,随后加入碳酸氢钠(3.0 mmol),室温搅拌,TLC监控。反应完毕,反应液用1 mol/L盐酸,水和饱和食盐水洗,无水硫酸镁干燥。浓缩溶剂,经柱层析(洗脱液为乙酸乙酯和石油醚混合溶剂)得黄色油状液体If。
(10)目标化合物Ig的合成
化合物If(1 mmol)溶于30 mL四氯化碳中,加入NBS(5.0 mmol)以及催化量的(5% mmol)过氧化苯甲酰,反应液加热至回流,TLC监控。反应完毕,冷至室温,加入40 mL乙酸乙酯,用饱和亚硫酸氢钠溶液洗,饱和碳酸钠溶液洗,水和饱和食盐水洗,无水硫酸镁干燥。浓缩溶剂,经柱层析(洗脱液为乙酸乙酯和石油醚混合溶剂)得白色固体Ig。
化合物Ia~Ig理化数据和1H NMR数据见表1、2。


3. 生物活性测试
供试昆虫:东方虫(Mythimna separate Walker),小菜蛾(Plutella xylostella Linnaeus)。测试方法参考文献,测试结果见表3、4,氯虫酰胺为对照化合物。


1. 化合物的合成
化合物Ie按照文献的方法合成,可能的反应机理见图6。

图6 合成化合物Ie可能的反应机理
化合物If为一对非对应异构体的混合物(四氢噻唑2位碳原子有S、R 2种构型,比例大约为S∶R=1∶1),从1H NMR谱图也可以看出,但由于该化合物的杀虫活性一般,所以未进行下一步的分离。
2. 生物活性
该类化合物对东方黏虫的杀虫活性测试结果见表3,该类化合物对东方黏虫显示了中等的杀虫活性。当氯虫酰胺A片段苯甲酰胺部分改造为含有β-氰基的双键时,对黏虫杀虫活性下降,如化合物Ia和Ib在100 mg/L时,致死率仅为30%,当β位酯改造为酰肼后,活性提高(50 mg/L时,杀虫活性为70%)。将A片段苯甲酰胺部分改造为环戊二醚后,活性很一般,100mg/L时,杀虫活性为60%。化合物Ie形成了苯并咪唑的结构,酰胺无活泼氢,活性大大下降,可见酰胺桥上的活泼氢的保持对杀虫活性很重要。
化合物If在100 mg/L时,对黏虫的杀虫活性为6.7%,苯环上四氢噻唑部分脱氢芳香化生成噻唑环(Ig)后,活性提升明显,25 mg/L时杀虫活性为60%。该类化合物对小菜蛾的杀虫活性测试结果见表4,部分化合物对小菜蛾表现出了较好的杀虫活性,化合物Ic和Ig在质量浓度为25 mg/L时,杀虫活性均为100%,在10 mg/L时,对小菜蛾的杀虫活性分别为20%、70%。
将氯虫酰胺母体结构中苯甲酰胺片段进行进一步修饰改造,设计合成了一系列新型含苯环2-取代结构吡唑酰胺类化合物,通过1H NMR和元素分析或高分辨质谱对其化学结构进行了表征,并进行了生物活性测试。生物活性测试结果表明:此系列化合物部分化合物对东方黏虫和小菜蛾具有较好的杀虫活性。进一步结构优化还在进行中。
来源:《农药》杂志2022年第7期