喹菌胺(quinaminoprole)是2016年由沈阳中化自主研发的新型嘧啶胺类杀菌剂,在今年的全国植保双交会上,笔者注意到喹菌胺也已作为扬农“净”系列创制产品的核心成员公开亮相。据报道喹菌胺具有新颖的化学结构和独特的作用机理,对黄瓜霜霉病、黄瓜白粉病、黄瓜炭疽病、黄瓜靶斑病、小麦白粉病、油菜菌核病具有较好的预防和治疗效果。同时据报道该类化合物还具有部分杀虫杀螨活性。
英文名称:quinaminoprole
中文名称:喹菌胺
化学名称:N-(2-{[1-(4-氯苯)-1H-吡唑-3-基]氧基}乙基)喹唑啉-4-胺
分子式:C19 H16 Cl N5 O
相对分子质量:365.821
CAS登录号:2049581-78-2
结构式:

三维结构式:

理化性质:原药为白色固体,熔点176.4°C
作用机理未见报道,推测或通过干扰蛋氨酸生物合成抑制病原菌蛋白质合成,起到杀菌作用。或抑制线粒体的合成,抑制呼吸作用。
应用作物:苹果、柑橘等果树、黄瓜、油菜等蔬菜、小麦、水稻等谷物以及观赏作物等
防治病害:黄瓜霜霉病、黄瓜白粉病、黄瓜炭疽病、黄瓜靶斑病、小麦白粉病、油菜菌核病等
开发剂型:10%喹菌胺悬浮剂
化合物及制备专利
2016年沈阳中化在中国、欧洲、加拿大等13个国家和地区申请了基于喹菌胺在内的嘧啶的取代吡唑类化合物专利
专利名称:含嘧啶的取代吡唑化合物及其制备方法和用途
申请号:WO2016CN82291
申请日:2016/05/17
公开号:WO2016184378A1
失效日:2036/05/17
当前专利权人:沈阳中化农药化工研发有限公司
摘要:公开了一种含嘧啶的取代吡唑类化合物,其结构如式(i)所示。每个取代基的定义见说明。本发明化合物具有广谱杀菌、杀虫、杀螨活性,对黄瓜霜霉病、小麦白粉病、玉米锈病、稻瘟病、黄瓜炭疽病等具有良好的防治效果,本发明化合物还具有良好的杀虫活性。

制剂专利
专利名称:一种杀菌制剂及其应用
申请号:CN202211437670.0
授权日:2025/04/18
申请日:2020/09/29
失效日:2040/09/29
公开号:CN115843810A
当前专利权人:沈阳中化农药化工研发有限公司、江苏扬农化工股份有限公司
摘要:本发明属于农用杀菌剂领域,涉及一种含嘧啶的取代吡唑类化合物的杀菌制剂及其应用。制剂以含嘧啶的取代吡唑类化合物或其盐作为活性成分制备为微乳剂、水乳剂、可分散油悬浮剂、可分散油剂、乳油、可溶液剂、水剂、微囊悬浮剂、种子处理悬浮剂、超低容量剂、粉剂、可湿性粉剂、颗粒剂、水分散粒剂、干悬浮剂、可乳化粉剂、泡腾颗粒剂、泡腾片剂、水分散片剂或漂浮颗粒剂;其中,活性成分含嘧啶的取代吡唑类化合物为式Ⅰ所示的化合物;其添加量为占制剂重量百分含量为0.1 99%。本发明的制剂品种可以有效地防治黄瓜霜霉病、黄瓜白粉病、黄瓜炭疽病、黄瓜靶斑病、小麦白粉病、油菜菌核病等。

喹菌胺的合成
由4‐氯喹唑啉和2‐(1‐(4‐氯苯基)‐1H‐吡唑‐3‐氧基)乙胺盐酸盐发生亲核取代反应生成产物喹菌胺,合成路线如下:

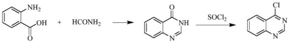
中间体4‐氯喹唑啉的制备
以邻氨基苯甲酸和甲酰胺为起始原料,环化生成喹唑啉‐4(3H)‐酮,然后与氯化亚砜与发生亲核取代反应生成4‐氯喹唑啉。合成路线如下:

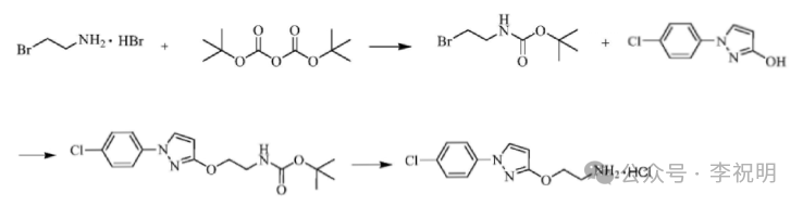
中间体2‐(1‐(4‐氯苯基)‐1H‐吡唑‐3‐氧基)乙胺盐酸盐的制备
以溴乙胺溴酸盐和四氢呋喃为起始原料,经烷氧羰基化、取代反应、叔丁氧羰基脱除反应生成2‐(1‐(4‐氯苯基)‐1H‐吡唑‐3‐氧基)乙胺盐酸盐,反应路线如下:

复配方面喹菌胺可选择与三唑类杀菌剂如戊唑醇、丙环唑、苯醚甲环唑、氟环唑、氟硅唑、腈菌唑、种菌唑、丙硫菌唑、四氟醚唑、环丙唑醇、氯氟联苯醚菌唑等复配,与甲氧基丙烯酸酯类杀菌剂如烯肟菌酯、烯肟菌胺、唑菌酯、唑胺菌酯、嘧菌酯、吡唑醚菌酯、啶氧菌酯、醚菌酯、肟菌酯、氟嘧菌酯、丁香菌酯、苯醚菌酯、氯啶菌酯、苯氧菌胺、肟醚菌胺、苯噻菌酯等复配,或与SDHI类杀菌剂苯并烯氟菌唑、氟唑菌苯胺、氟苯醚酰胺、氟唑环菌胺、吡噻菌胺、啶酰菌胺、联苯吡菌胺、氟酰胺、呋吡菌胺、噻呋酰胺、氟唑菌酰羟胺、氟茚唑菌胺、氟醚菌酰胺、异丙噻菌胺、茚吡菌胺、异丙氟吡菌胺、联苯吡嗪菌胺、吡炔菌酰胺、甲呋酰胺等复配,或与氟吡菌胺、咪唑菌酮、噁唑菌酮、氰霜唑、唑嘧菌胺、氟啶胺、吡啶菌胺、二氟吡啶菌胺、吲唑磺菌胺用以增加对白粉病、霜霉病、炭疽病、菌核病、黑星病、叶斑病的防治。
喹菌胺属于新型嘧啶胺结构的杀菌剂,结构新颖,与现有主流杀菌剂无交互抗性,是近年来国内农化企业从“仿制”到“创制”的代表产品,喹菌胺在2025年植保会公开亮相,标志着已从实验室研发进入实质性的产业化开发和市场导入阶段。防治谱方面喹菌胺对瓜类白粉病、霜霉病具有显著的铲除活性和持效性。此外,对草莓白粉病、葡萄白粉病、黄瓜靶斑病活性良好,并能防治苹果、柑橘叶斑病等多种病害。其与苯醚甲环唑、吡唑醚菌酯等现有产品混配使用,可发挥增效作用。市场定位前期可面向高价值经济作物(如瓜果、草莓、葡萄)推广,结合江苏扬农现有产品制定高效的杀菌解决方案,同时与先正达等合作开发也有利于喹菌胺全球布局。但作为全新化合物,前期需要投入大量资源进行市场教育、田间试验示范和渠道建设,另常规杀菌剂的竞争,农药登记耗时漫长、以及高昂的登记成本,对企业都是不容忽视的挑战。