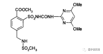
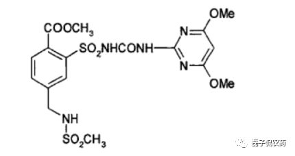
甲基二磺隆,又名甲磺胺磺隆,化学名称:甲基-2 [3-(4,6-=甲氧基嘧啶-2-基)一脲基磺酰基l-4-甲磺酰基氨基苯甲酸酯,是由德国拜耳公司2002年开发的磺酰脲类除草剂。

甲基二磺隆主要通过植物的茎叶吸收,经韧皮部和木质部传导,少量通过土壤吸收,抑制敏感植物体内的乙酰乳酸合成酶的活性,导致支链氨基酸的合成受阻,从而抑制细胞分裂,导致敏感植物死亡。一般情况下,施药2~4小时后,敏感杂草的吸收量达到高峰,2天后停止生长,4~7天后叶片开始黄化,随后出现枯斑,2~4周后死亡。甲基二磺隆使用过程中需要安全剂,促进其在作物体内迅速分解,而不影响其在靶标杂草体内的降解。
甲基二磺隆的施用技术是:在小麦幼苗期至拔节期之前,杂草3-4叶期刚出齐苗时,每亩用3%油悬剂25-30毫升,兑水30千克茎叶喷施。防除对象主要是一年生的禾本科杂草看麦娘、野燕麦、棒头草、早熟禾、雀麦、蜡烛草、节节麦,并可兼除部分阔叶杂草如荠菜、播娘蒿、牛繁缕等。
目前防治节节麦的有效药剂仅有甲基二磺隆,但甲基二磺隆对施药技术要求较高,因甲基二磺隆施药不当而引起的药害现象时有发生。一般会采用添加安全剂的方式,另外甲基二磺隆这个选择性除草剂对施药时间要求苛刻,施药时间不对容易产生药害,使用甲基二磺隆时间一般为小麦三叶期以后,必须反复确认小麦苗壮,这样才不容易产生药害。

单剂登记67个,主流剂型为30g/LOD,共有复配46个,主流是与2,4-D,碘磺隆,炔草酯等复配防治小麦杂草。
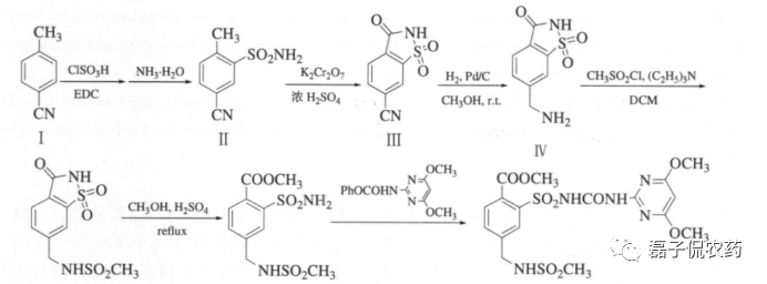
以对甲苯腈为原料,经氯磺化-氨解、氧化、还原、甲磺酰化、醇解反应得到关键中间体5-甲磺酰氨基甲基-2-甲氧羰基苯磺酰胺再与4,6-二甲氧基-2-( 苯氧基羰基) 氨基嘧啶反应制得甲基二磺隆。

据2019年海关数据显示, 我国共出口甲基二磺隆314万美金,其中三分之一以上的份额出口国家为土耳其和比利时,做出口量都在100万美金左右。另外巴基斯坦,乌拉圭和肯尼亚也有小部分的市场需求。
来源:磊子侃农药