据统计,2024年初到8月底,11个新有效成分获得国际标准化组织(ISO)农药通用名技术委员会批准。11个新有效成分中,2个除草剂品种包括氟溴草醚和苯丙草酮;7个杀虫剂品种包括tiapyrachlor、cybenzoxasulfyl、噁唑氟虫胺、多氟虫二酰胺、氟螨双醚、硫环虫酰胺和苯苄螨胺;2个杀菌剂品种包括苯醚唑酰胺、feneptamidoquin。
ISO公布的新农药名称代表着准备上市或已经开始导入市场的农药新品种。
氟溴草醚(Cinflubrolin)是青岛清原农冠研发的苄基醚类除草剂。CAS号为2892524-04-6。
氟溴草醚是基于环庚草醚的类似物。环庚草醚是由巴斯夫研发的拥有独特化学结构和新颖作用机理的苄基醚类除草剂,专注防除抗性禾本科杂草。2020年,环庚草醚获得了由国际除草剂抗性行动委员会(HRAC)给予的自1985年以来第一个新作用机理分类,它是HRAC″Group Q″或″Group 30″中的首个有效成分,另一有效成分为methiozolin,两者皆为苄基醚类化合物,具有脂肪酸硫酯酶(fatty acid thioesterase;FAT)抑制作用。目前,环庚草醚原药及制剂产品已先后在澳大利亚、英国等获得了登记。
苯丙草酮是辽宁先达研发的环己二酮类除草剂。CAS登记号为2839324-63-7。

苯丙草酮可有效防除水稻田对ALS抑制剂、ACCase抑制剂(FOPs)、激素类除草剂产生抗性的禾本科杂草,对稗草、千金子、双穗雀稗特效。其与五氟磺草胺、氰氟草酯、噁唑酰草胺、二氯喹啉酸等无交互抗性,可作为抗性管理的有效工具。苯丙草酮的主要靶标作物为水稻。
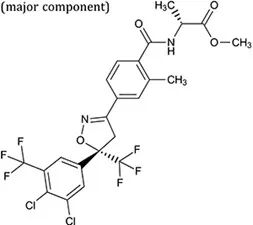
Tiapyrachlor是科迪华研发的与tyclopyrazoflor相关的新型杀虫剂分子。CAS号为1255091-74-7。
Tiapyrachlor作用机理不明,对半翅目、缨翅目、鳞翅目等多种害虫有效。合成方法如下:以Boc保护的氨基乙酸酯为起始原料,与乙胺胺解,再经过盐酸脱保护后与3-吡啶甲醛、硫缩合成噻唑环、再经过NCS氯化得到S4中间体最后与3-甲砜基丙酰氯缩合成最后产品。
Cybenzoxasulfyl是日本农药株式会社研发的外消旋体杀虫剂。CAS号为2128706-04-5。
Cybenzoxasulfyl是基于oxazosulfyl的类似物。Oxazosulfyl是由日本住友化学研究开发的含乙磺酰基吡啶结构的首个新型苯并噁唑类杀虫剂,开发公司推测其作用机理新颖。Oxazosulfyl具有广泛的杀虫谱,可应用于水稻、小麦、大豆等多种作物。目前,oxazosulfyl已获日本登记,用于防治水稻虫害。
噁唑氟虫胺(Isoflualanam)是青岛清原作物科学有限公司研发的异噁唑啉类杀虫剂。CAS号为2892524-05-7。
噁唑氟虫胺是γ-氨基丁酸(GABA)门控氯离子通道变构调节剂,作用机理独特,与其它杀虫剂无交互抗性。噁唑氟虫胺兼具胃毒、触杀和一定的内吸作用,速效性高,有杀卵作用,杀虫谱涵盖鳞翅目、鞘翅目、蜱螨目(卵、幼螨、若螨、成螨)、半翅目(蚜虫)、缨翅目(蓟马)等多种害虫。
多氟虫二酰胺(Piperflanilide)是江苏扬农化工有限公司研发的双酰胺类杀虫剂。CAS号为2615135-05-0。
推测多氟虫二酰胺和溴虫氟苯双酰胺、环丙氟虫胺、氟苯碘虫二酰胺同属于γ-氨基丁酸(GABA)门控氯离子通道别构调节剂。抑制GABA激活的氯离子通道,从而引起过度兴奋和惊厥,导致最终死亡。多氟虫二酰胺对鳞翅目的棉铃虫、二化螟、稻纵卷叶螟、玉米螟、粘虫、甜菜夜蛾、小菜蛾、草地贪夜蛾、苹果小卷叶蛾、鞘翅目跳甲、缨翅目蓟马、同翅目的粉虱防效优异。
氟螨双醚(Bisulflufen)是江苏扬农化工股份有限公司创制的新型三氟乙硫醚类内吸性杀螨剂。CAS号为1922957-45-6。
氟螨双醚,属于三氟乙硫醚类杀螨剂,属于内吸性杀螨剂,以触杀为主。对哺乳动物及非靶标生物安全。氟螨双醚原药经口、经皮、吸入毒性均为低毒,对皮肤无刺激性,也无致敏性,对眼睛有轻微刺激,Ames、微核试验结果均为阴性;对鸟、鱼、溞、藻、蜜蜂低毒。卵螨皆杀,对卵、幼若螨、成螨均有效。
硫环虫酰胺(Pioxaniliprole)是印度PI Industries Ltd.开发的一种新型吡啶甲酰胺类杀虫剂。CAS号为2368920-61-8。
硫环虫酰胺推测属于鱼尼丁受体调节剂。作用于昆虫体内非电压门控钙离子释放通道,能有效调控昆虫体内钙离子流量,引起昆虫肌肉调节功能失效,导致昆虫不自主地抽搐、瘫痪和死亡,从而表现出优异的生物性能。生测表明硫环虫酰胺对鳞翅目、同翅目害虫都有较好的防效。
苯苄螨胺(Bentioflumin)是山东康乔生物科技有限公司研发的新型杀螨剂,CAS号为2566451-67-8。
苯苄螨胺属于三氟乙硫醚类杀螨剂,对动植物安全,对环境友好。其对柑橘全爪螨、朱砂叶螨和二斑叶螨高效,且具有一定的叶片渗透性,持效期长达25天以上。
苯醚唑酰胺(Fenopyramid)是中农联合研发的吡唑酰胺类杀菌剂。CAS号为2344721-61-3。
苯醚唑酰胺属于吡唑酰胺类杀菌剂,为琥珀酸脱氢酶抑制剂类杀菌剂,通过干扰病原菌线粒体呼吸电子传递链上的复合体Ⅱ,抑制线粒体功能,阻止其产生能量,抑制病原菌生长,最终导致其死亡。苯醚唑酰胺对小麦白粉病、黄瓜白粉病、大豆锈病、玉米锈病以及水稻纹枯病具有优异防效。
Feneptamidoquin是先正达作物保护公司研发的新型喹啉类杀菌剂。CAS号为2132414-06-1。
Feneptamidoquin作用机理不明,其主要用于预防或控制植物病原性微生物,对灰葡萄孢菌、镰刀菌、霉叶枯菌、稻瘟病菌、全蚀病菌等有效。