提示
×
取消
确定
欢迎来到农化专利网!
请登录
免费注册
帮助中心
购物车
0513-83511907
首页
农化专利
无形资产
专利报告
商标
著作权
商业资料
有形资产
农药技术
厂房车间
机械设备
代理服务
商标服务
专利服务
需求代理
行业需求
资讯专区
新闻资讯
专利信息
科技进展
专利专论
培训资料
通知公告
专利课堂
专家团队
关于我们
当前位置:
首页
>
专利专论
新型吡唑类除草剂——异丙吡草酯
来源:李祝明
发布时间:2024-08-28 14:06
分享到:
QQ空间
微信
QQ好友
新浪微博
人人网
简述
异丙吡草酯(fluazolate)是1994年由孟山都研发、后由Twinagro公司开发推广的吡唑类除草剂。主要用于对小麦田阔叶杂草和禾本科杂草的芽前控制。因该药的代谢物对环境存在潜在风险,目前并未得到有效开发。
异丙吡草酯(fluazolate)是1994年由孟山都研发、后由Twinagro公司开发推广的吡唑类除草剂。主要用于对小麦田阔叶杂草和禾本科杂草的芽前控制。因该药的代谢物对环境存在潜在风险,目前并未得到有效开发。其专利期已于2014年届满。
产品简介
英文名称:
fluazolate
中文名称:
异丙吡草酯
化学名称:
5-[4-溴-1-甲基-5-(三氟甲基)吡唑-3-基]-2-氯-4-氟苯甲酸(丙-2-基)酯
分子式:
C
15
H
12
BrClF
4
N
2
O
2
相对分子质量:
443.619
CAS登录号:
174514-07-9
结构式:
三维结构式:
理化性质:
纯品为绒毛状的白色结晶体,熔点79.5-80.5℃。蒸气压为9.43x10
-6
Pa(20℃)。分配系数KowLogP=5.44。Henry常数7.89x10
-2
Pa ㎡³ mol'。水中溶解度为53μg/L(20℃)。在 20℃, pH 4~5 时稳定,pH7 时半衰期为4201天,pH9时半衰期为48.8天。
作用机理
异丙吡草酯(fluazolate)为原卟啉原氧化酶抑制剂,是一种新型的触杀型
除草剂。通过植物细胞中原卟啉原氧化酶积累而发挥药效。茎叶处理后,敏感植物或杂草迅速吸收到组织中,使植株迅速坏死,或在阳光照射下,使茎叶脱水干枯而死。
应用及杀草谱
应用:
小麦田
杀草谱:
猪殃殃、老鹳草、野芝麻、麦家公、虞美人、繁缕、苣荬菜、田野勿忘草、婆婆纳、荠菜、野叶萝卜等阔叶杂草;看麦娘、早熟禾、风剪股颖、黑麦草、不实雀麦等禾本科杂草以及莎草科杂草。
对猪殃殃和看麦娘有特效。
用法用量:
冬小麦芽前除草,用量一般为125-175克/公顷,可使小麦整个生长期的杂草得到控制。
专利情况
专利名称:
Heterocyclic-and carbocyclic-substituted benzoicacids and synthesis thereof.
专利号:
WO9602515
申请日:
1994.07.20
专利公开日:
1996.02.01
专
利拥有者:
Monsanto Co(US)
该专利于2014年7月19日届满。
其他国家申请的专利:
AU3009295、AU685654、BR9508309、CA2194771、CN95195113、EP0772598、CN201310409284、CZ9700117、JP10502926T、PL318281、US5668083、US5672715、US5698708、US5869688、US5880290、WO9640643、WO9748668等。
合成路线
根据文献查询,目前异丙吡草酯的合成路线主要有三条:
路线一:
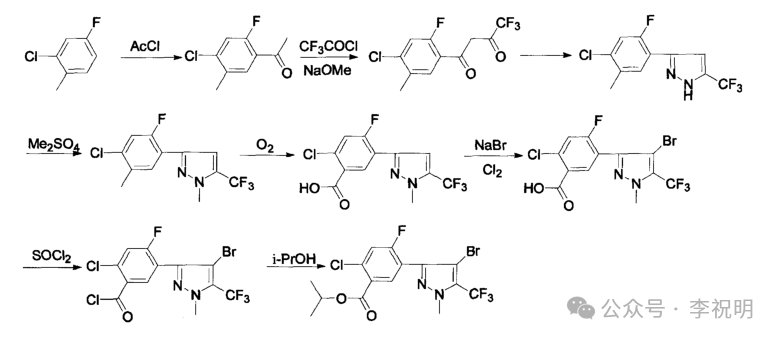
由2-氯-4-氟甲苯和乙酰氯先发生酰基化反应生成1-(4-氯-2-氟-5-甲基苯基)乙酮,其与三氟乙酰乙酸乙酯在碱的作用下合成相应的三氟-1,3丁二酮衍生物,该中间体与水合肼反应构建吡唑环,接着再进行甲基化、氧化、溴化、酯化反应得到异丙吡草酯,总产率约为30%。合成路线如下:
该合成路线较为合理,主要缺陷为合成三氟-1,3丁二酮衍生物产率较低,因为这步反应涉及的原料三氟乙酰乙酸乙酯价格昂贵,所以该步产率偏低大大增加了成本,同时构建吡唑环的产率也不高。
路线二:
同样以2-氯-4-氟甲苯出发,经过九步工艺成熟的反应,合成了目标产物5-[4-溴-1-甲基-5-三氟甲基-1H-吡唑-3-基]-2-氯-4-氟苯甲酸异丙酯(异丙吡草酯),总产率达到42%。合成路线如下:
该合成路线原料易得、操作简便、条件温和,具备工业化生产的条件。
路线三:
文献Organic Letters,2012,14(18),4858–4861报道了新的合成路线,该合成方法以碘代斯德酮衍生物为原料,先和氟磺酰基二氟乙酸甲酯发生三氟甲基化反应,接着与1-氯-4-乙炔基-5-氟-2-甲苯发生环加成反应得到N-甲基吡唑环,最后氧化、溴化、酯化反应得到目标产物。该路线产率良好,但是所用原料大多十分昂贵,不适合工业化生产。
小结
异丙吡草酯是一种具有独特作用方式的新型高效冬小麦芽前除草剂,具有活性高,除草谱广,特别对小麦具有很好的选择性,其残效期长,用
于
冬小麦芽前除草可有效控制整个
生育期的杂草,特别能有效防治鼠尾看麦娘和猪殃殃,克服了冬小麦除草通常需要多种除草剂或复配剂才能达到较好效果的缺陷,且对后茬作物如亚麻、玉米、大豆、油菜、大麦、豌豆等无影响。而且除草效果不受土壤及气候条件限制,是一种较有前景的冬小麦田除草剂。
相关阅读
具有全新母体结构的新型苯乙酰胺类杀菌剂——环氟菌胺
[2026-03-06]
江苏中旗研发的新型吡唑酰胺类杀菌剂——烯丙唑菌胺
[2026-03-06]
全球生物农药研发登记热点——噬菌体
[2026-02-24]
新型苯并噁嗪类除草剂——氟丙草嗪
[2026-02-24]
先正达研发的新型甲氧基丙烯酸酯类杀菌剂——环己菌酯
[2026-02-05]
三唑类杀菌剂氯氟醚菌唑国内专利布局情况分析
[2024-08-27]
新型异噁唑烷酮类″封杀双效″除草剂——溴噁草松
[2024-08-26]
氟吡菌酰胺新剂型研发及活性评价
[2024-08-26]
一图看懂专利审批流程!
[2024-08-26]
化合物专利明年到期的卵菌纲病害杀菌剂——唑嘧菌胺
[2024-08-22]