提示
×
取消
确定
当前位置:首页 > 新闻资讯
SDHI类含氟新化合物Isoflucypram,预计销售峰值2.5亿美元
来源:农化专利网   发布时间:2023-05-05 08:22
简述
(2)吡唑酸片段的合成以上方案合成吡唑酸中间体,涉及到缩合、成环、氯化、氟代、水解共计5步反应,主要的难点有如下几个:1. 吡唑环氯化涉及到通氯,属于高危工艺;2. 吡唑环氟代,需要特殊的催化剂,同时对氟化钾的规格要求较高,这两个因素控制不好,会导致收率大大降低,甚至完全不反应。

图片

(2)吡唑酸片段的合成





以上方案合成吡唑酸中间体,涉及到缩合、成环、氯化、氟代、水解共计5步反应,主要的难点有如下几个:


1. 吡唑环氯化涉及到通氯,属于高危工艺;


2. 吡唑环氟代,需要特殊的催化剂,同时对氟化钾的规格要求较高,这两个因素控制不好,会导致收率大大降低,甚至完全不反应。

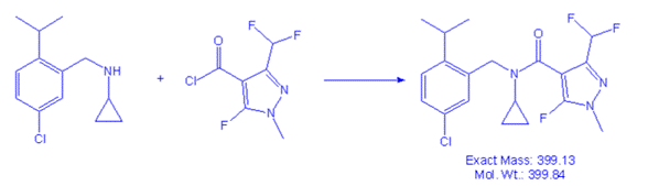
(3)Isoflucypram的合成

图片


原药预分析及杂质剖析

图片



该化合物合成过程可能会出现如下两个主要杂质:

图片


图片

Isoflucypram原药分析典型图谱

 图片

质谱TIC图(ESI+)


图片

图片

有效成分及杂质质谱图

文章来源:世界农化网