农药是关系国家粮食安全和人民生命健康的重要战略物资,在农业生产和公共卫生领域发挥着不可替代的作用。然而,农药的大量使用,造成了严重的环境问题。面向农药增效减量这一国家重大需求,开发高效绿色的农药产品已成为农药领域亟待解决的关键问题。
农药创制并非易事,周期长、投入大、风险高,开发成功一个新农药,需要合成15.9万个化合物,耗资2.86亿美元,从首次合成到上市平均历时11.3年。因此,迫切需要一种能够改进农药的性能,从而延长其市场生命周期的策略。大多数农药以固体形式存在于原药和制剂中,这就为通过固态化学研究改善农药性能提供了可能。晶体工程方法以独特的优势展现出了其在农业领域中的应用潜力,即在不改变化合物分子结构的基础上,就可以根据生产、制剂和使用需求实现对药物多种性质的选择性调控,以改善农药化合物的成药性、制剂稳定性和生物活性等。

2022年9月15日,Advanced Agrochem期刊在线发表了一篇题为《晶体工程在高效农药产品开发中的应用》的综述文章(https://doi.org/10.1016/j.aac.2022.09.001),文章的通讯作者为南开大学化学学院杨景翔研究员。在该篇综述中,作者首先介绍了晶体工程的相关基本概念,然后综述了晶体工程技术在农药开发、生产、制剂和施用过程中的代表性应用案例,强调了晶体工程技术在改善农药产品性能方面的重要作用,最后对农药晶体工程未来的发展前景进行了展望。

晶体工程在农药全生命周期中的应用(来源:Advanced Agrochem)
有机小分子化合物能够以多种不同的固体形式存在,如多晶型、溶剂化物(包括水合物)、盐、共晶和无定形。

不同固体形式示意图(来源:Advanced Agrochem)
多晶型(polymorphism) 是指一种物质能以两种或两种以上不同的晶体结构存在的现象。多晶型现象普遍存在,据统计,超过80%的医药分子可以形成多晶型。通常,一个化合物的晶型数量与其投入的时间和金钱成正比。如,重要杀虫剂吡虫啉,长期以来一直认为只存在两种晶型,2021年,美国纽约大学的Bart Kahr课题组对吡虫啉的多晶型行为进行了系统研究,发现其共有9种晶型,其中7种为首次发现。

吡虫啉多晶型(来源:J. Am. Chem. Soc.)
无定形(amorphous solid) 指固体物质内部原子或分子的排列无周期性。无定形固体比多晶型更为常见,只要冷却速率足够快,几乎任何物质都可以形成无定形。如果将液态水快速冷却到-137°C,甚至可以得到无定形冰。
溶剂化物(solvate) 是指化合物与一种或多种溶剂分子在晶格中结合形成的晶体物质,当溶剂分子是水时称为水合物(hydrate)。根据溶剂分子在晶格中的结合方式,可将溶剂化物分为两类。在第I类溶剂化物中,溶剂分子在晶格中占据独立的位置;而在第II类溶剂化物中,溶剂分子占据晶格的空隙或通道,通常也称为通道型溶剂化物。

两类溶剂化物的形成和脱溶剂过程示意图(来源:Advanced Agrochem)
共晶/盐(cocrystal/salt) 是由两种或两种以上不同的化合物按化学计量比组成的晶体物质。共晶中不同组分的分子通过非共价相互作用连接在一起,如氢键、π-π堆积、范德华力和卤素键等。共晶和盐的区别在于活性成分和配体之间质子是否发生转移,盐中发生质子转移,而共晶中不发生质子转移。不同的固体形式通常具有不同的理化性质,包括溶解度、溶出速率、生物利用度、吸湿性、熔点、稳定性等。因此,通过构建不同的固体形式就可以实现对化合物理化性质的选择性调控,进而改善化合物的成药性、制剂稳定性和生物利用度等。
在医药领域,不同的固体形式导致了药物理化性质的巨大差异,对药物的临床治疗效果产生直接的影响。因此,晶型研究成为了药物开发过程中必不可少的重要环节。对制药企业来说,进行药物固态化学研究有利于利用晶型专利来延长上市产品的专利保护期,从而带来额外的商业利益。因此,近20年来,医药监管部门对药物晶型研究也愈为重视。以美国为例,美国食品药品监督管理局(US Food and Drug Administration,FDA)已经制定并实施了一系列关于药物固体形式的监管法规。
FDA制定并实施的一系列关于药物固体形式的监管法规(来源:Advanced Agrochem)

不同的固体形式会导致农药性能的显著改变,因此,晶体工程策略有助于开发性能更好的农药产品。在该篇综述中,作者一共从提高生物活性、解决团聚和颗粒长大问题、调控水溶性、改善稳定性等4个方面给我们展示了晶体工程在农药开发中的应用潜力。
生物活性
生物活性是农药最重要的性质。早在1947年,科研人员就发现DDT的晶习对其药效有明显影响。1986年,世科姆公司发现百菌清晶型II的出现往往会导致农药产品的杀菌活性降低;然而,在此之后,鲜有研究关注农药晶型与其生物活性之间的相关性。2017年,纽约大学Bart Kahr与Michael Ward课题组发现DDT的晶型II比常用的晶型I增效了1.4倍,进一步证实了农药(特别是触杀型杀虫剂)的晶型对其药效的显著影响。基于多个触杀型杀虫剂晶型与生物活性相关性的研究,该课题组总结了触杀剂晶体结构-药效关系的普适性规律,即:对同一化合物,晶型的热力学能量越高,其药效越好。

触杀剂晶体结构-药效关系的普适性规律(来源:Cryst. Growth Des.)
依据该构效关系,Bart Kahr与Michael Ward课题组成功开发了溴氰菊酯、吡虫啉等杀虫剂产品的高效晶型。其中,溴氰菊酯晶型II的生物活性比市售晶型I增效高达12倍;吡虫啉晶型IX的生物活性比市售晶型提高了9倍。

溴氰菊酯的两种晶型(来源:PNAS)
团聚和颗粒长大
喷雾是农药施用最为常见的方式。因此,制剂中晶体农药的粒度必须足够小才能使颗粒通过喷嘴。然而,农药悬浮剂中往往会发生颗粒聚集和晶体生长的情况,进而引起制剂中颗粒沉降,施用时堵塞喷嘴等问题。对于有效成分颗粒聚集和晶体生长机理的正确理解有助于解决这些问题。在本文中,作者从形成团聚与颗粒生长的机理出发,就如何控制晶体聚集和颗粒长大展开详细讨论,包括提高低熔点原药的熔点,抑制转晶行为,避免溶剂化物形成等。
熔点是农药开发的一个重要考虑因素。农药的生产,制剂,储存过程可能会发生明显的温度波动,这就要求原药应该具有足够高的熔点。然而,很多农药活性成分是无定形或低熔点物质,在生产、干燥、运输、储存或施用过程中容易发生熔融聚结,而晶体工程技术可有效提高农药的熔点。例如,吡唑醚菌酯是典型的低熔点农药。因其广谱、高效的特点成为经久不衰的畅销杀菌剂,但以常规方式制备悬浮剂、颗粒剂或机械粉碎时,易发生熔融,造成粘结堵塞,成为吡唑醚菌酯制剂开发的技术难题。为解决此问题,巴斯夫公司于2006年开发了其四种晶型,将吡唑醚菌酯的熔点从55°C提高到了62°C。然而,通过晶型开发的方式往往难以实现熔点的大幅提升,相比之下,共晶技术优势较为明显。巴斯夫公司开发了吡唑醚菌酯和4-羟基苯甲酸、甲基硫菌灵的两种共晶,分别将其熔点提高到了114℃和150℃。

不同固体形式的吡唑醚菌酯的熔点(来源:Advanced Agrochem)
共晶技术用于其他农药体系提高熔点同样效果显著,如先正达公司开发一系列共晶提高了丙环唑的熔点,拜耳公司开发氟吡呋喃酮分别和草酸、水杨酸的共晶提高了氟吡呋喃酮的熔点。农药熔点的提高有助于提高其热稳定性,从而可以在更高的温度下处理,为制剂加工提供了更多的选择。晶型转变是导致晶体长大的另一个常见原因。
在制剂环境中,农药分子从亚稳晶型脱离,然后附着到更稳定晶型表面上,导致不希望的晶体生长。二甲戊灵是一种广谱除草剂,如果使用介稳晶型II配制悬浮剂,制剂中的晶型II会缓慢转化为更稳定的晶型I,导致了晶型I生长为较大颗粒,造成悬浮剂产品的稳定性问题。因此,需要选用热力学稳定的晶型I制备悬浮剂来避免此类问题。丙硫菌唑也存在类似的情况,早期的商品化制剂中,热力学不稳定晶型的转变造成了悬浮剂中的晶体生长。拜耳公司于2003年开发了一种热力学稳定的丙硫菌唑新晶型,从而避免了制剂中因晶型转变而导致颗粒生长的问题。

二甲戊灵的分子结构和其两种晶型的晶体结构(来源:Advanced Agrochem)

丙硫菌唑的两种晶型(来源:Pest Manag. Sci.)
在真溶液制剂中(如乳油),也可能发生聚集问题。这种情况通常是由溶剂化物形成导致的。乳油是极为常见的农药剂型,制剂中往往含有较多的有机溶剂,这就造成了形成药物溶剂化物的风险。如拜耳公司的研究人员在联苯吡菌胺和Fandango(活性成分:氟嘧菌酯+丙硫菌唑)的乳油制剂中,均发现了由于丁内酯溶剂化物形成导致的团聚问题。因此,不只是固体制剂,对液体制剂中使用的农药化合物进行固态化学研究,特别是溶剂化物研究,也是极为必要的。
水溶性
利用晶体工程技术,开发盐、共晶、无定形和新晶型在农药的水溶性调控方面展示出了巨大的应用潜力。在农药的整个生命周期中,水无处不在,包括制剂制备、植物吸收、降雨、淋溶、环境分解等。因此,在此期间,农药的生物利用度和环境毒性都受到水溶性的影响。水溶性过高或过低都不利于农药生物利用度的提高。通常,水溶性低会降低农药的有效性,且更容易在土壤上附着,造成环境污染。高水溶性农药在环境中的迁移率高,会与水一起穿过土壤,增加污染地下水的可能。
此外,高水溶性的农药往往持效期较短,为了达到持久的防治效果,需要增加农药的使用频率。莠灭净和莠去津是典型的低水溶性除草剂。由于水溶性差,经常需要使用过量的除草剂,以确保杂草能够迅速被杀死,导致了严重的环境污染。Paulo S. Carvalho Jr.等研究人员通过多组分晶体设计成功开发了莠灭净的四种盐和莠去津的一种共晶,其中,莠灭净-富马酸盐和莠灭净-马来酸盐的开发使莠灭净的溶解度分别提高了9倍和20倍。这些盐的形成使莠灭净的使用剂量减少了2.5倍,从而实现了农药的增效减量。
新烟碱类杀虫剂通常具有较高的水溶性,在环境系统中形成较大的污染。2006年,日本曹达公司开发了新烟碱类杀虫剂啶虫脒的4种共晶,将啶虫脒的溶解度降低了约10倍,并显示出了良好的缓释能力。2014年,曹达公司进一步开发了一系列由双酰胺杀虫剂和新烟碱杀虫剂组成的新型共晶,新开发共晶的水溶性远低于相应的新烟碱类农药。因此,共晶使新烟碱类缓慢释放,从而在很长一段时间内可以保持良好的杀虫效果,也不会产生明显的植物毒性和生态安全问题。

啶虫脒及其共晶在水中的溶出曲线(来源:Advanced Agrochem)
分解和升华
许多农药存在稳定性问题,如拟除虫菊酯类杀虫剂易光解,芸苔素内酯类植物激素易水解。由于田间使用的农药大多存在于水环境中,且长期处于阳光直射下,有效成分的分解和升华往往会降低农药产品的田间药效,从而增加不必要的施用次数。因此,有必要开发具有更好稳定性的农药固体形式。双甲脒在无水条件下对温度和光照相对稳定,然而,在有水环境下极易水解。de Villiers M. M.等研究人员发现了双甲脒的三种晶型(晶型A-C)和一种无定形。几种固体形式显示出完全不同的水解速率,无定形的分解速率最快,而晶型C的分解速率相对较慢。因此,通过晶型开发就可以有效改善双甲脒的水解稳定性,从而提高农药的有效利用率。

双甲脒四种固体形式的扫描电镜照片和水解曲线(来源:J. Agric. Food Chem.)
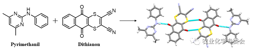
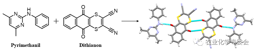
嘧霉胺 是一种高效、低毒、环境友好的兼具保护、治疗、内吸传导和熏蒸作用的杀菌剂,然而蒸气压高,易升华,施用后持效期短。巴斯夫公司于2008年开发了嘧霉胺与二氰蒽醌的药药共晶,以减缓嘧霉胺的升华问题。2017年,嘧霉胺与二氰蒽醌的共晶成功上市,商品名为Vision Plus。在该产品中,67%的嘧霉胺以共晶形式存在,显著减少了嘧霉胺的挥发,延长了药效作用时间。施药7天后,植物上的活性成分几乎没有损失,而单组分嘧霉胺在施用4天后就会损失70%。该产品也是目前唯一上市的农药共晶。

嘧霉胺-二氰蒽醌药药共晶合成的示意图(来源:Advanced Agrochem)
植物精油 是从芳香性植物中提取的一类天然物质,其中很多化学成分具有抗菌、杀虫等生物活性。由于该类化合物来源于天然植物,对非靶标生物无毒,在防治农作物病虫害和卫生害虫方面具有很大的应用前景。但是该类化合物对光、热不稳定,易分解,还存在易挥发,持效期短等弊端,因此,降低植物精油的挥发性对其应用推广具有重要意义。Alessia Bacchi等研究人员通过晶体工程技术制备了丁香酚、百里香酚和香芹酚等植物精油的共晶,实现了植物精油更持久的环境释放,抗菌效果也得到了显著的提升。

三种植物精油成分和两种配体形成共晶的示意图(来源:ACS Sustainable Chem. Eng.)
本文综述了晶体工程在农药产品开发中的广泛应用,为实现药物多种理化性质的选择性调控提供了一种崭新的研究思路。面向农药在靶生物利用率提升的重大需求,作者提出未来农药晶体工程研究应该更多的关注农药喷洒到植物表面后的结晶行为,以及晶体与靶标生物的复杂互作关系。因此,农药晶体工程研究应该贯穿产品开发与施用的全生命周期,从而推进农药产品的高效化与高端化。
来源: 农业化学专委会