噁嗪草酮(oxaziclomefone)是1992年由日本三菱化学株式会社发现的新型噁嗪酮类除草剂,后与法国罗纳-普朗克(现拜耳作物科学)公司联合进行商业化开发。噁嗪草酮具有内吸传导性好,活性高、用量低、扩散性好、控草期长,对作物和环境安全,复配性好等特性,2001年噁嗪草酮在日本上市,主要用来防除部分阔叶杂草、莎草科杂草及稗属杂草等,对稗草有特效,同时也可用于草坪除草。
英文名称:oxaziclomefone
中文名称:噁嗪草酮
其他名称:去稗安,草嗪草酮,RYH-105,Fullhouse,Homerun
化学名称:3-[2-(3,5-二氯苯基)丙-2-基]-6-甲基-5-苯基-2H-1,3-噁嗪-4-酮
分子式:C20 H19 Cl2 N O2
相对分子质量:376.276
CAS登录号:153197-14-9
结构式:

三维结构式:

理化性质:外观为白色至浅黄色粉末状无色固体结晶,熔点:149.5~150.5℃;沸点:518.6℃(760mmHg);蒸汽压(50℃):≤1.33×10-2mPa;辛醇/水分配系数:Kow lgP=4.01(20℃,pH7.0);密度:1.277g/cm3。溶解度:水0.18ppm(25℃)。稳定性:DT50=30~60d(50℃)。闪点:267.5℃。
噁嗪草酮与现有的水田除草剂作用机理不同,目前尚未确定其作用机理。通常在用药后2天内,杂草茎叶褪绿、发红,组织坏死,最终死亡。持效期可达50d。
噁嗪草酮的活性受温度和光的影响,温度高,阳光足,其除草活性会增加。
应用作物:大麦、小麦、水稻、马铃薯、玉米、高粱、谷子等
防治对象:异型莎草、稻稗、稗草、千金子、繁缕、牛毛毡、萤蔺、陌上菜、鸭舌草和节节菜等
常见剂型:1%噁嗪草酮悬浮剂,10%噁嗪草酮悬浮剂,30%噁嗪草酮悬浮剂

国内登记情况
截至目前噁嗪草酮在国内的登记53条,其中原药6家,单剂22家,复配制剂25家,登记作物都是水稻,复配成分有丙炔噁草酮、丁草胺、丙草胺、氰氟草酯、双环磺草酮、噁唑酰草胺、吡嘧磺隆、五氟磺草胺、硝磺草酮等。




专利名称:1,3-噁嗪-4一酮衍生物其制法和在除草中的应用
申请号:CN93101733
申请日:1993.01.30
公开公告号:CN1075479A
公开公告日:1993.08.25
授权公告号:CN10517680
授权公告日:2000.04.26
申请(专利权)人:三菱化学株式会社;大世昌化学工业株式会社
优先权号:JP40108/92
优先权日:1992.01.30
其他国家专利:AU3367893、AU652310、ES2144455T、JP2719234B2、US5436224、WO9315064、US5696054、AU696849、AU7811894、BG100575、BR9407826、EP0723535、HR940675、HU74606、IL111226、JP7112976、R0115258、TR28882、WO9510510、ZA9408084等。
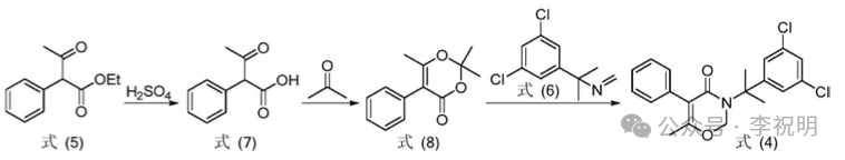
目前,噁嗪草酮的合成主要采用以下2条合成路线。
路线一:采用的是,将式(5)所示的1-乙酰苯乙酸乙酯和式(6)所示的N-亚甲基-1-甲基-1-(3,5-二氯苯基)乙 胺在二甲苯作溶剂回流的条件下进行反应即可制备噁嗪草酮。使用该路线制备噁嗪草酮需要提前由式(3)所示结构的1-甲基-1-(3,5-二氯苯基)乙胺与甲醛的水溶液反应制备N-亚甲基-1-甲基-1-(3,5-二氯苯基)乙胺(参见US5696054A)。因此,该路线是一个两步反应,第一步在水溶液中进行,第二步需要在无水条件下进行,步骤复杂,操作繁琐,产物收率低。

路线二:把式(5)所示结构的1-乙酰苯乙酸乙酯在硫酸的条件下水解成式(7)所示结构的1-乙酰苯乙酸,再用1-乙酰苯乙酸和丙酮反应制备出式(8)所示结构的2,2,6-三甲基-5-苯基-1,3-二噁英-4-酮。最后,再把2,2,6-三甲基-5-苯基-1,3-二噁英-4-酮和式(6)所示结构的N-亚甲基-1-甲基-1-(3,5-二氯苯基)乙胺在二甲苯作溶剂的条件下回流制得噁嗪草酮(参见CN1106622A)。该方法制备噁嗪草酮时需要使用大量的硫酸会产生大量的酸性废水,同时式(7)所示结构的1-乙酰苯乙酸的结构稳定性非常的差,导致该方法并不适用于大规模的合成噁嗪草酮。

噁嗪草酮+苯噻酰草胺+吡嘧磺隆:三个成分组合,前期用药,定位一封或二封,扩大了杂草防治谱、降低了使用成本、延缓了抗性的发展,对千金子,稗草有很好的防效。
噁唑酰草胺+噁嗪草酮+环苯草酮或苯丙草酮:可以用于水稻等作物田,防除稻田杂草,优选用于防除水稻田的禾本科杂草,如稗草、千金子、雀稗、马唐、狗尾草等,优选稗草。
噁嗪草酮+五氟磺草胺+莎稗磷:该组合可用于水稻田杂草的防除,可减少药剂的使用量,减缓抗药性的产生,减少对环境的危害。
氟吡磺隆+噁嗪草酮+异噁草松:三者复配后可以同时利用多种方式被杂草吸收并作用,可以扩大杀草谱,显示出明显的增效作用,使杂草难以消除不同除草剂对其代谢途径的影响,进而延缓杂草抗药性的产生,能够降低单种除草剂的使用剂量,也能够减轻环境污染,对一年生及多年生禾本科杂草、阔叶杂草和莎草科杂草具有优良的防治效果。
噁嗪草酮+异噁草松+丙草胺:该组合在水稻直播田和水稻移栽田均可以使用,除草效果稳定,对水稻安全。
噁唑酰草胺+噁嗪草酮+氯氟吡啶酯:该组合用于防治水稻农业杂草的应用,可以协同增效,扩大对于阔叶杂草特别是慈菇的防效。
在日本水稻种植区,噁嗪草酮是应用最广泛的水田除草剂之一,这得益于噁嗪草酮优秀的扩散性、土壤吸附性和可复配性,同时噁嗪草酮控草期长,施用方便,对于水田主要杂草稗草和千金子防效优异,这也使得国外较多公司参与到噁嗪草酮的开发当中。然而虽然噁嗪草酮专利期在2013年早已届满,但在国内的推广过程中一直较为缓慢,一方面噁嗪草酮的生产工艺复杂,绿色合成技术尚未纯熟,面临高成本压力,另一方面受到国内种植环境和传统用药习惯的影响,国内种植管理化水平和植保技术仍需要提升,企业在推广过程中要指导好使用时机和用法,通过靶标草项做好更适合市场的复配制剂商品。