噁唑酰草胺属于乙酰辅酶 A 羧化酶抑制剂(简称ACC类),是一类高效防除禾本科杂草的苗后选择性除草剂,根据 HRAC的分组,这类除草剂分在 A 组,包含芳氧苯氧丙酸类(即APPs类,包含噁唑酰草胺、氰氟草酯等)、环己烯酮类(即“DIMs,包含禾草灵和禾草灭等)和新苯基吡唑啉类(PPZ类包含唑啉草酯)三类化合物。

2004年Sasaki等研究表明不同类别的ACCase 抑制剂主要作用于ACCase CT功能域,但是具有很多不同的分子作用机制,其中噁唑酰草胺区别于氰氟草酯位点,施药后叶绿体类囊体结构消失和部分基粒堆叠松散,形成坏基粒堆叠结构,导致叶绿体形成不规则形状而失去功能,进而叶片枯萎死亡;研究结果表明噁唑酰草胺与ACCase CT 功能域二聚体交界面的活性位点结合,对杂草的叶绿体及ACCase 活性有破坏作用。其中噁唑酰草胺除草活性是氰氟草酯的3倍,在水稻体内代谢路径也完全不同,所以噁唑酰草胺与氰氟草酯虽同属ACCase类除草剂,但却千差万别。
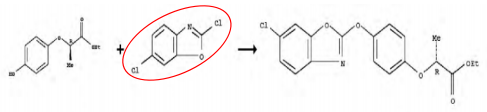
图1 噁唑酰草胺合成路线
图2 精噁唑禾草灵合成路线
通过噁唑酰草胺和精噁唑禾草灵的合成路线不难看出,两者合成的底物均有2,6-二氯苯并噁唑(红圈处)参与,众所周知精噁唑禾草灵在水稻上安全用量是不超过1g/亩,超量使用会出现明显的药害现象,而2,6-二氯苯并噁唑是影响噁唑酰草胺和精噁唑禾草灵安全性的重要成分,合成底物的纯度和反应程度对原药纯度及制剂安全性影响巨大,富美实使用的2,6-二氯苯并噁唑杂质含量在0.01%以下,确保了原药纯度,为其安全性及稳定性提供保障。
根据AIC亚太研发中心实验室对富美实多批次原药纯度检测结果表明,富美实噁唑酰草胺R体原药纯度为99.3%-99.5%(高于登记含量的96%),当前国内厂家原药纯度在93%左右(含有S体),其中R体(R体为有除草作用的噁唑酰草结构式,S体与R体属于同分异构,对除草无效)原药中含有的丙酸、2,6-二氯苯并噁唑、水分等杂质对噁唑酰草胺原药稳定性、制剂的安全性及稳定性影响巨大。
原药合成过程中含水量超标会严重影响原药稳定性,水分会与N离子形成游离的酸根离子,造成原药的降解,而做成制剂后降解程度会更大。根据AIC及合作公司对原药的检测报告显示,国内合成噁唑酰草胺含水量在2%-3%之间,造成原药年降解率5%-7%,做成制剂后年降解率更高,FMC噁唑酰草胺原药含水量在0.01%-0.02%之间,在行业标准下几乎0降解。富美实的噁唑酰草胺制剂的稳定性高,在保质期内热储环境下稳定性高,3年内的制剂衰减率仍可达到富美实的企业标准(企业标准高于国家GB标准)。

根据检测报告显示,富美实的噁唑酰草胺原药的PH值偏碱性,噁唑酰草胺只有偏碱性的条件下才能保持高稳定性,这也源于富美实公司对噁唑酰草胺原药优异的制作提纯工艺,国内原药属于偏酸性(由于含水量在2%-3%,造成原药中水分与N离子形成游离酸,而偏酸性,进一步加剧了原药的不稳定性,对效果及安全性带较大风险)。
噁唑酰草胺制剂含量超过10%,会达到过饱和状态,噁唑酰草胺便会从制剂中析出,出现结晶现象,从而导致制剂的稳定性、效果、安全性等关键指标的异常。若含量超过10%的制剂,需解决结晶问题,而唯一的途径便是通过添加腐蚀性和毒性非常强的极性溶剂,而极性溶剂会大大消解噁唑酰草胺的活性,影响效果,同时会造成严重的环境污染和施药安全隐患(农户吸入含有极性溶剂的雾化水滴,影响身体健康,严重情况会出现身体器官衰竭和癌变)。 富美实的噁唑酰草胺产品无论是韩秋好、春好还是稻青青、清巧、一展清等产品中噁唑酰草胺含量均不超过10%,符合科学配比。

通过AIC研发中心研究表明,当噁唑酰草胺与氰氟草酯的制剂复配比例在5%+5%的时候,协同增效的作用最为明显,拥有最佳的叶片粘附性和展布性,亩用量200ml时对稗草、千金子等杂草效果最好。当噁唑酰草胺复配剂性超过5%+5%比例时,需现配现用,否则会出现药液稳定性下降,造成除草效果、安全性下降。
噁唑酰草胺虽与氰氟草酯同属ACCase类除草剂,但其除草活性是氰氟草酯的3倍,在作物体内代谢及活性完全不同,噁唑酰草胺仍是当前稻田防除禾本科杂草最优秀的药剂之一。
来源:富美实FMC