环庚草醚是巴斯夫近年来重点推向市场的拥有全新作用机理的除草剂,该产品早在20世纪80年代即有报道,但直至2000年,研究人员才真正明晰了它的作用机理,从而为其在应用上的精准定位提供了理论根据。环庚草醚是由巴斯夫研发的拥有独特化学结构和新颖作用机理的苄基醚类除草剂,专注防除抗性禾本科杂草。
环庚草醚几易其主。该产品原由壳牌公司研发,开发代号为:SD95481(壳牌)、WL95481(壳牌)。1985年在英国布赖顿会议上报道,1989年由壳牌公司(现巴斯夫)在中国上市,杜邦曾参与该产品的生产和销售。1993年,美国氰胺公司完成对壳牌公司农药部的兼并;2000年,巴斯夫收购了美国氰胺公司。环庚草醚从此归于巴斯夫旗下,现由巴斯夫生产和开发。
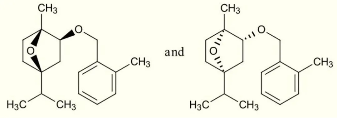
环庚草醚的英文通用名为:cinmethylin;商品名为:Luximo、Luximax等;开发代号为:BAS 684 H(巴斯夫);化学名称为:(1RS,2SR,4SR)-1,4-环氧-p-䓝-2-基2-甲基苄基醚;CAS登录号为:87818-31-3(外消旋体);分子式为:C18H26O2;相对分子质量为:274.4;结构式如图1。

图1 环庚草醚的结构式
环庚草醚纯品为深琥珀色液体;熔点:313℃/760 mmHg;蒸气压:10.1 mPa(20℃);KowlogP=3.84;密度:1.014 g/mL(20℃)。溶解性:在水中的溶解度为63 mg/L(20℃);易溶于许多有机溶剂。稳定性:在不高于145℃的情况下,热力学稳定;在pH 3~11、25℃条件下,水解稳定;在空气存在下,发生光催化分解。闪点:147℃。
环庚草醚为酰基载体蛋白(acyl carrier protein;ACP)脂肪酸硫酯酶(fatty acid thioesterase;FAT)选择性抑制剂,通过抑制脂肪酸生物合成,破坏细胞膜,导致杂草死亡。该产品主要通过苗期杂草的芽和根吸收,通过植株向上传导,干扰芽和根生长点中分生组织的生长发育。
巴斯夫指出,FAT对植物细胞膜的发育和功能至关重要。这种抑制作用可以破坏禾本科杂草的萌发和发生。公司认为,环庚草醚有望成为有效、可持续防除禾本科杂草解决方案中的骨干,通过轮换使用多种作用机理的除草剂,共同抗击抗性杂草。据报道,环庚草醚无已知交互抗性,可用于杂草的综合治理。2020年,环庚草醚获得了由国际除草剂抗性行动委员会(HRAC)给予的自1985年以来第一个新作用机理分类。它是HRAC“Group Q”或“Group 30”中的首个有效成分,另一有效成分为methiozolin,两者皆为苄基醚类化合物。

环庚草醚为苗前除草剂,具有持效作用,对谷物田许多禾本科杂草提供土壤残效防除作用,包括抗性杂草以及难以防除的杂草,如大穗看麦娘(Alopecurus myosuroides)、黑麦草(Lolium rigidum)等,并对一些禾本科杂草提供抑制作用;环庚草醚也可用于防除水稻田重要杂草,如稗属杂草(Echinochloa spp.)、鸭舌草(Monochoria vaginalis)、异型莎草(Cyperus difformis)等,移栽后使用,根据栽培方式的不同,用药量为25~100 g/hm2,施药时至少保持3 cm水层。主要剂型有:乳油、颗粒剂。为了扩大防治谱,环庚草醚可以与阔叶杂草除草剂桶混使用。
研究表明,环庚草醚对黑麦草特别有效,并提供持效作用。而黑麦草是全球许多国家大面积种植中所遇到的主要难治杂草。
巴斯夫指出,环庚草醚是30余年来防除黑麦草的第一个新作用机理的化合物。在一年生黑麦草防治上,Luximax(750 g/L环庚草醚乳油)是一个突破,它为农户带来具有独特作用机理的防治工具。它为除草剂轮用增加了新选项,强化了现有的杂草综合治理策略,对黑麦草提供长达12周的持效防控作用,包括对现有作用机理除草剂产生抗性的杂草生物型(如D、J、K类)。环庚草醚不仅高效、低毒,而且对环境友好。根据世界卫生组织(WHO)的毒性分级标准,环庚草醚的正常使用无急性危害。
其对哺乳动物的毒性:大鼠急性经口LD50为4,553 mg/kg;对大鼠和兔急性经皮LD50>2,000 mg/kg。对兔皮肤有中等刺激、对兔眼睛有轻微刺激作用。大鼠急性吸入LC50(4 h)>3.5 mg/L。大鼠NOEL为30 mg/kg·d。ADI为0.3 mg/kg。毒性分级:WHO(a.i.)为U级(正常使用无急性危害),EPA(制剂)为Ⅲ级。
生态毒性:鸟类:鹌鹑急性经口LD50为1,600 mg/kg;鹌鹑和野鸭饲喂LC50(5 d)>5,620 mg/kg饲料。鱼类LC50(96 h):虹鳟鱼为6.6 mg/L,大鳍鳞鳃太阳鱼为6.4 mg/L,羊雕为1.6 mg/L。大型溞:LC50(48 h)为7.2 mg/L。其他水生生物:招潮蟹LC50>1,000 mg/L。
环庚草醚能被土壤强烈吸附,在环境中的半衰期较短。在有氧条件下,在土壤中降解的半衰期DT50为23~75 d(因土质不同而异);在厌氧条件下,因微生物分解减速而使代谢减慢。2018年,巴斯夫向澳大利亚和欧盟申请登记环庚草醚。2019年11月14日,巴斯夫澳大利亚公司的环庚草醚原药在澳大利亚取得登记;2019年11月15日,Luximax(750 g/L环庚草醚乳油)在澳大利亚的多个州(ACT、NSW、NT、QLD、SA、TAS、VIC、WA)取得首次登记;2020年7月1日,Luximax在澳大利亚取得登记,有效期至2025年6月30日。早在2003年11月5日,巴斯夫澳大利亚公司的环庚草醚原药曾在该国取得登记。
Luximax主要用于小麦田,防除一年生黑麦草(Lolium rigidum)、芒属杂草(Vulpia spp.)、Toad rush等,抑制雀麦草、野燕麦等禾本科杂草。
Luximax于2020年在澳大利亚上市,它是巴斯夫计划在2021年前在澳大利亚上市的3个除草剂中的第1个产品。另外两个产品依次为:苗后除草剂Frequency(苯唑草酮+安全剂解草酯),苗前除草剂Voraxor(三氟草嗪+苯嘧磺草胺)。
时至目前,环庚草醚尚未在英国、加拿大、美国、中国、欧盟登记。
经查中国农药信息网,我国曾经登记过9个基于环庚草醚的产品。时至2009年11月11日,所有这些产品的登记皆已过期。其中,巴斯夫欧洲公司在我国曾登记过92%环庚草醚原药及100 g/L环庚草醚乳油,制剂产品通过毒土法施用,防除水稻移栽田稗草、鸭舌草、异型莎草。
据业内专家介绍,当年巴斯夫的环庚草醚在我国做了多年的试验示范,使用技术成熟,安全性、药效均好,但因为价格较高,淡出了中国市场。近年来,巴斯夫又开始在我国开展试验,计划重返中国市场。
环庚草醚不是新有效成分,只是作为新农药重出江湖,其化合物专利已经过期。环庚草醚原创公司壳牌曾将其首先应用于水稻田,防除禾本科杂草,但因成本较高,市场竞争力不强。如今,随着环庚草醚作用机理的明确,加之农田杂草,尤其是抗性杂草的防治难度越来越大,市场特别需要全新作用机理的除草剂来帮助应对杂草的防治问题。所以环庚草醚回炉再造后重新定位,是市场发展所需,该产品有望成为巴斯夫谷物田禾本科杂草除草剂产品组合中的重要成员,它将在抗性禾本科杂草防除领域担纲重要角色。