提示
×
取消
确定
当前位置:首页 > 专利信息
手性化合物瑞德西韦(Remdesivir)研发企业的专利布局战略
来源:农化专利网   发布时间:2020-02-08 19:04
简述
新型冠状病毒肺炎疫情相关的资讯总是牵动着人们的心弦。这几天最受关注的消息之一是被称为潜在有效药瑞德西韦(Remdesivir)的各种新闻和“传闻”。最新消息称,中日友好医院已经在武汉疫区牵头开展瑞德西韦(Remdesivir)治疗2019-nCoV新型冠状病毒的临床研究,试验从2月3日开始,4月27日结束。

新型冠状病毒肺炎疫情相关的资讯总是牵动着人们的心弦。这几天最受关注的消息之一是被称为潜在有效药瑞德西韦(Remdesivir)的各种新闻和“传闻”。最新消息称,中日友好医院已经在武汉疫区牵头开展瑞德西韦(Remdesivir)治疗2019-nCoV新型冠状病毒的临床研究,试验从2月3日开始,4月27日结束。同时看到消息,已使用患者反馈良好,这些无疑给我们当前抗击疫情的严峻形势带来了新的希望。


在当下诸多瑞德西韦的消息当中,除了人们对其疗效和安全性问题的关注之外,许多人也十分关注其专利问题,一时间便有了很多“故事”和“谈资”,甚至有些话题快要把专利“妖魔化”了。本着以研究为主,希望最大程度还原瑞德西韦专利原本面目的目的,笔者这几天来也尝试对研发企业吉列德公司在该药物上的全球专利布局状况进行了一些解读分析,希望能够对该药物的临床实验、进一步研发和未来的产品竞争等提供一些参考建议。


_

_

1

手性化合物和瑞德西韦概况


要说清楚瑞德西韦,需要先科普几个有机化学概念。我们就从手性化合物说起,手性化合物是指一个化合物和它的镜像对映体的混合物,它们的分子量、分子结构都完全相同,但左右排列相反。就像你平展开的双手一样,两只手不能完全重合,但却是左右对称的。这两个互为镜像的对映体,我们将其分别称之为S型对映体(左旋)和R型对映体(右旋),而包含了这一对对映体的手性化合物,我们一般称为外消旋体或外消旋混合物

手性化合物的对映体由于分子组成相同,许多理化性质也都是一样的,但也会有理化性质差别很大的情况存在!在生物活性上,对映体常常会表现出截然不同的性质,例如上世纪六十年著名的孕妇药物反应停,最后被临床发现对胎儿造成肢体先天性致残,就是对映体混合物惹的祸。其中一种对映体有较好的治疗作用,而另一种对映体则是对人体是完全有害的。因此,在制药领域中,手性化合物对映体生物活性的研究,以及对映体提纯分离甚至合成都具有重要的意义。

再介绍一下瑞德西韦吧!

 瑞 德 西 韦 

英文名:  Remdesivir

别   名:  GS-5734

CAS登记号:  1809249-37-3

分子式:  C27H35N6O8P

分子量:  602.576


由美国吉利德科学公司(Gilead Sciences, Inc.,)研发的核苷类似物,具有抗病毒活性,已发现在HAE细胞中,对SARS-CoV和MERS-CoV的EC50值为74nM,在延迟脑肿瘤细胞中,对鼠肝炎病毒的EC50值为30nM。同时,瑞德西韦也是一个前面所说的手性化合物


根据JMC2017中的文献记录(见下图)

我们看到瑞德西韦是一个具有多个手性中心的化合物,其中磷原子在这个结构中就是一个手性中心。上图中化合物4a是一个磷原子的S型对映体和R型对映体大致1:1混合的手性化合物混合物,只有当磷原子是S型时的对映体(4b),才是我们所说的抗病毒药物瑞德西韦(Remdesivir,GS-5734)

注意,这里面的化合物4,它是吉利德公司在与美国疾病控制与预防中心和美国陆军传染病医学研究所合作对数据库进行筛选抗埃博拉病毒化合物时,发现的母体化合物。而文中的4a和4b都是这个母体化合物的前药。此外瑞德西韦的体内代谢产物是4的单磷酸酯,也就是真正在体内具有抗病毒作用的化合物。

(Siegel D, Hui HC, Doerffler E, et al. Discovery and Synthesis of a Phosphoramidate Prodrug of a Pyrrolo[2,1- f ][triazin-4-amino] Adenine C -Nucleoside (GS-5734) for the Treatment of Ebola and Emerging Viruses. J Med Chem. 2017;60(5):1648-1661. doi:10.1021/acs.jmedchem.6b01594)

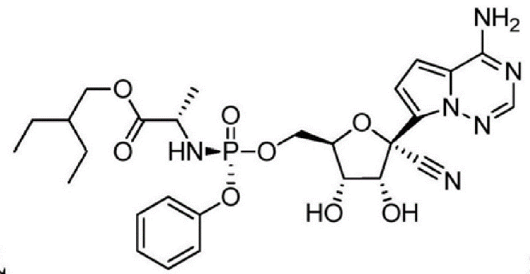
好了!弄清楚上面这几个概念后,我们就来看看瑞德西韦准确的化学结构究竟是什么样的。为了本文方便描述,我把本文重点要说的瑞德西韦化合物简称为S型,具体化学结构见下图:

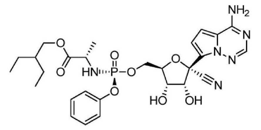
它的R型对映体我们就简称为R型,其化学结构是这样的:

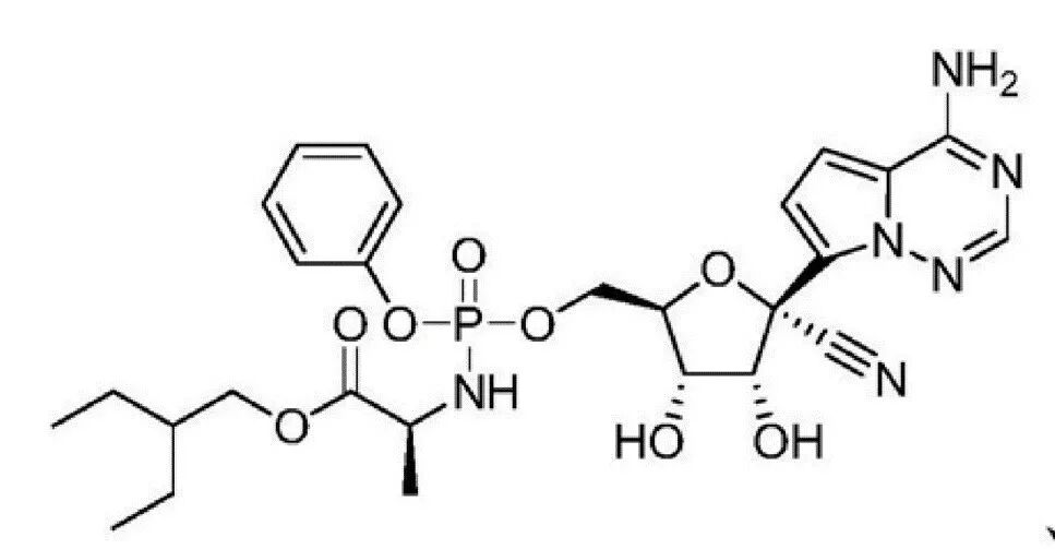
它们的外消旋体混合物呢?我们就简称为RS型瑞德西韦,其化学结构可以表示如下:

乍一看好像这几个结构没有差别,其实关键在磷(P)原子所连接的键的方向是不同的,学过有机化学的朋友都懂的!没学过的朋友看图也是能够区分出来的!

这几个结构在瑞德西韦的相关专利中都会反复出现!好了,以上科普基本上差不多,我们就进入正题。

2

吉列德公司对瑞德西韦专利的全球申请情况


经过我们对多个数据库的检索与数据分析,目前我们一共找到了由吉列德公司申请,与瑞德西韦相关的扩展专利族8个,涉及专利346件。当然还有一些吉列德公司之外,其他研究机构和企业申请的专利,这里面也有中国企业所申请的专利(能确定的是武汉病毒所并不是第一家),与本文主题无关,这里就不纳入分析范围了。吉列德公司的专利情况,我们按照申请时间顺序逐个解读一下。

专利族一

用于抗病毒治疗的1’-取代的CARBA-核苷类似物

专利族二

用于治疗副黏病毒科病毒感染的方法和化合物

专利族三

治疗丝状病毒科病毒感染的方法

专利族四

治疗沙粒病毒科和冠状病毒科病毒感染的方法

专利族五

METHODSFOR TREATING FLAVIVIRIDAE VIRUS INFECTIONS

专利族六

METHODS OF TREATING FELINE CORONAVIRUS INFECTIONS

专利族七

(S)-2-(((S)-(((2R,3S,4R,5R)-5-(4-氨基吡咯并[2,1-f][1,2,4]三嗪-7-基)-5-氰基-3,4-二羟基四氢呋喃-2-基)甲氧基)(苯氧基)磷酰基)氨基)丙酸-2-乙基丁基酯的结晶形式

专利族八

COMPOSITIONS COMPRISING AN RNA POLYMERASE INHIBITOR ANDCYCLODEXTRIN FOR TREATING VIRAL INFECTIONS



3

瑞德西韦专利布局分析

PART 1 瑞德西韦的专利保护体系

首先,瑞德西韦专利到底有没有授权?答案是肯定的,化合物专利已经得到了授权!早先网上的一些报道是不准确的。CN103052631B和CN105343098B两项中国专利已经授权,其中就包含了RS型瑞德西韦化合物。虽然该专利中并没有提到S型瑞德西韦,但却提到了消旋体进一步分离提纯得到对映体采用的是常规方法,可以推论出,S型瑞德西韦化合物在这件专利中也已经得到了保护。

除了化合物之外,通过上述专利,RS型瑞德西韦已经在中国得到了治疗副黏病毒科病毒感染的用途专利权利保护。

在此后的专利申请中,我们看到被分离开的S型和R型瑞德西韦和RS型外消旋体都被分别公开了出来,并且,都已经申请了治疗丝状病毒科病毒、沙粒病毒科病毒、冠状病毒科病毒、黄病毒科病毒的用途专利,治疗猫冠状病毒感染的专利则主要是RS型外消旋体,其中一部分已经在中国申请并进入到了实质审查阶段。由此可见,S型瑞德西韦抗病毒活性的发现具有重要的意义,而R型瑞德西韦,由于在实施例中较少有实验提及,并且在后续专利申请中越来越少见,因此不作为分析的重点。

此外,单独的S型瑞德西韦还申请了结晶形式、新型盐以及冻干注射剂的专利,这些都是未来要基于S型瑞德西韦进行产品化的重要信息。

因此说,化合物、对映异构体、用途、结晶和盐、剂型,吉列德已经在药物瑞德西韦上构建起了一个相对成型的核心技术保护体系而且我们看到,中国是吉列德公司重点选择的专利布局保护区域之一。

PART 2 专利布局策略分析

如前所述,利用近十年的时间,吉列德公司初步完成了瑞德西韦专利保护体系的建立,我们不难看出,其整体的专利布局策略在过去十年中是由研发驱动来进行了。最初的瑞德西韦化合物还不是吉列德公司所筛选出来的重点活性化合物,其早期化合物专利申请中并没有重点关注瑞德西韦,甚至没有给出瑞德西韦的相关抗病毒实验数据。但在后来通过不断的抗病毒活性实验筛选,才逐步筛选出了S型瑞德西韦具有较好的抗沙粒病毒科和冠状病毒科病毒活性等等,这些数据都体现在随后的用途专利中,其中均能够看到外消旋体和S型瑞德西韦的相关抗病毒实验数据及其对比,希望这些能够对我们的科研有所借鉴。

瑞德西韦的专利布局进入到正式的产品化布局阶段是近两三年的事情,相信在未来时间里还会进一步加强制剂、制备方法等产品化专利布局和相关外围专利的布局。

从这个角度来看,我们应该看到瑞德西韦的专利布局周期相对漫长,布局体系目前还不够严谨强大的实际情况。相信假如该药物在此次治疗2019-NCoV感染的临床实验中获得巨大成功的话,不仅是中国,可能全球有许多研究机构和企业都会盯上这块“蛋糕”,不排除有人在其核心化合物专利和S型对映体专利上下功夫,做文章。

PART 3 一些建议

首先,建议医药产业界相关人士应当加强对瑞德西韦现有科技和专利文献的研究分析。从中获取瑞德西韦详细全面的制备工艺和抗病毒实验数据,上述专利中有瑞德西韦近十年来抗病毒活性实验的相关数据,并且从专利发展趋势上,也能够看到其技术研发的清晰脉络,值得加强研究。

其次,重视研究瑞德西韦专利的布局策略,有针对性地开展技术研发。尤其是在当前的形势下,需要产业界和知识产权界合作,知己知彼,未雨绸缪,加快创新,低调布局,选择好一些可能的方向,力争在外围专利布局上有所突破。个人分析,由于瑞德西韦手性化合物的特性,特别是,理想的活性成分是其中一个对映体。那么在后续的专利布局保护和技术创新上就可能会有很多可以发挥的空间。例如,我们前面提到的母体化合物、体内代谢产物、对映异构体制备工艺、新晶型、药物制剂、药物用途,甚至R型瑞德西韦方面,都可能有进一步的科研和专利布局的可能。还是前面所说的,瑞德西韦自身专利布局体系也不见得是铜墙铁壁,未来觊觎的人也会很多。

第三是重视专利申请质量和申请策略,手性化合物的专利审查是一个难点,需要我们在技术创新的基础上,更好地谋划专利申请保护的方向,在提高专利授权率的基础上,尽量扩大保护范围。

最后,也说一些这几天值得欣慰的题外消息吧,笔者连日来一直对疫情动态持续进行分析,根据官方公布数据,每天新增的治愈人数正在快速增长,虽然和增长数量级更大的确诊人数相比还是少了很多,但我们相信随着越来越多的病人被治愈,为医疗人员优化治疗方案就越能够提供更多的依据和经验。相信全国人民万众一心,一定能够共克时艰!

也许,我们有一天会发现,瑞德西韦并不是我们唯一的选择。有时候猎人追得越快,狐狸就跑得越快。毕竟,2019-NCoV更容易变异。


来源:思博知识产权网