近日,先正达创新产品Flumetnicam获得国际标准化组织(ISO)正式通用名批准,此外住友化学新型甲氧基丙烯酸酯类(Strobilurin)杀菌剂Bifemetstrobin获得国际标准化组织(ISO)正式批准,还有浙江宇龙药业有限公司的间二酰胺杀虫剂新通用名称Trioxyflanilide获ISO临时批准。中文通用名氟溴虫酰胺。
先正达的烟酰胺类杀虫剂Flumetnicam获得国际标准化组织(ISO)正式通用名批准。Flumetnicam是氟啶虫酰胺的代谢产物,具有杀虫活性。
中文化学名称:4-(三氟甲基)吡啶-3-甲酰胺
英文化学名称:4-(trifluoromethyl)pyridine-3-carboxamide
CAS号:158062-71-6
分子式:C7H5F3N2O
活性:杀虫剂(烟酰胺)
IUPAC国际化学品标识搜索码:JUIWZYBJXUPIKF-UHFFFAOYSA-N
IUPAC国际化学品标识符:InChI=1S/C7H5F3N2O/c8-7(9,10)5-1-2-12-3-4(5)6(11)13/h1-3H,(H2,11,13)


产品概述:Flumetnicam可以与昆虫体内的NAAM(nicotinamidase,烟酰胺酶)结合并抑制其活性。烟酰胺酶在脊膜张力受体神经元/弦音器神经元(chordotonal stretch-receptor neurons)中表达,它也是昆虫神经系统中第9个分子靶标。Flumetnicam对NAAM的抑制将导致底物NAM烟酰胺的积累,从而过度激活TRPV离子通道产生中毒症状。
美国、欧盟已将其纳入氟啶虫酰胺在食品中的残留定义物,同时部分农药企业已申请或取得了该化合物的杀虫组合物等专利,防治对象包括蚊虫、棉蚜、白粉虱、水稻褐飞虱等。
住友化学新型甲氧基丙烯酸酯类(Strobilurin)杀菌剂Bifemetstrobin获得国际标准化组织(ISO)正式批准,开发代号为S-2326,CAS为2454319-63-0。
英文化学名称:methyl (2Z)-3-methoxy-2-[(4-methylbiphenyl-3-yl)oxy]prop-2-enoate
中文化学名称:(2Z)-3-甲氧基-2-[(4-甲基[1,1'-联苯]-3-基)氧基]-2-丙烯酸甲酯
分子式:C18H18O
结构类别:苯氧基丙烯酸酯
产品概述:该分子中包含了经典的甲氧基丙烯酸酯侧链,这是Strobilurin类杀菌剂的标志性结构,独特之处在于其引入了联苯骨架,使其区别于传统的丙烯酸酯类杀菌剂如嘧菌酯、吡唑醚菌酯、醚菌酯、肟菌酯等。strobilurin类杀菌剂以天然抗生素Strobilurin A为先导化合物开发的一类新型杀菌剂,现有20个商业化品种,包括嘧菌酯、肟菌酯、吡唑醚菌酯等明星成分。
INCHIKEY(IUPAC国际化学品标识搜索码):IWSICNFCWDNIOY-ATVHPVEESA-N
INCHI(IUPAC国际化学品标识符):InChI=1S/C18H18O4/c1-13-9-10-15(14-7-5-4-6-8-14)11-16(13)22-17(12-20-2)18(19)21-3/h4-12H,1-3H3/b17-12-
结构式:

该化合物拥有一系列相关专利的保护,包括JP2020079269 A、WO2021153759 A1、JP2023064110 A和JP2023078251,这些专利涵盖了化合物专利、合成路线专利以及应用技术专利。
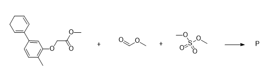
根据专利信息,Bifemetstrobin的合成路线为:以2-[(4-甲基[1,1'-联苯]-3-基)氧基]乙酸甲酯、甲酸甲酯以及硫酸二甲酯为原料,在甲醇钠的作用下反应生成目标产物。

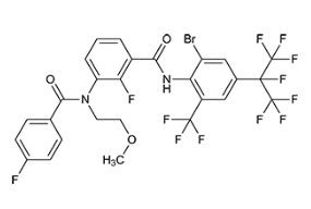
2024年12月15日,浙江宇龙药业有限公司的间二酰胺杀虫剂新通用名称Trioxyflanilide获ISO临时批准。中文通用名氟溴虫酰胺,开发代号为 SYN2971,CAS为2922115-20-4。
英文化学名称:N-[3-[[[2-bromo-4-[1,2,2,2-tetrafluoro-1-(trifluoromethyl)ethyl]-6-(trifluoromethyl)phenyl]amino]carbonyl]-2-fluorophenyl]-4-fluoro-N-(2-methoxyethyl)benzamide
中文化学名称:2‑氟‑3‑{[(4‑氟苯基)羰基](2‑甲氧乙基)氨基}‑N‑[2‑溴‑4‑(1,1,1,2,3,3,3‑七氟丙烷‑2‑基)‑6‑(三氟甲基)苯基]苯甲酰胺
结构式:
