当前全球农药市场规模依然保持着稳定增长,伴随着转基因作物的推广以及农药抗药性渐显(增大用量或推出新品种),全球农药销售额从2009年的377亿美元增长至2022年的877亿美元,其中2022年全球作物保护市场销售额达787.15亿美元,同比增长9.9%,年复合增长率为12.4%。2023年市场销售额为789.80亿美元,乐观预计2023—2033年的复合年增长率为2.5%。传统产品温和增长,生物农药预计强劲增长。在全球农药销售额平稳增长的同时,整个市场的集中度不断提高,以先正达、拜耳作物科学、巴斯夫和科迪华为第一梯队的农化巨头的销售额占据了整个销售总额的一半以上(55.00%)。集中度的提高有助于优势企业充分发挥技术革新能力,推动农药行业良性发展。
农药新产品开发成本巨大、周期长,研制一种农药新的活性成分,需要筛选16万个化合物,耗资2.86亿美元,历时超过10年。但是专利农药利润率高,因此第一梯队农药企业不断增加研发投入,开发新的专利农药,以获得高额利润,农药新品种的开发已基本由这些公司垄断。尽管专利农药的利润丰厚,但一旦专利期满即可被自由仿制,因此也有不少具备一定技术实力的国内外农药企业把业务重点放在非专利农药的生产和销售领域。
近10余年来,琥珀酸脱氢酶抑制剂(SDHI)类杀菌剂新产品的持续上市致其销售额逐年攀升,已从一类小宗产品飙升至杀菌剂市场前3强。2004年销售额仅为1.18亿美元,2022年达到22.37亿美元,2017—2022年间,其销售额复合年增长率高达6.6%。预计2027年SDHI类杀菌剂的销售额将达到26亿美元。目前,全球上市的SDHI类杀菌剂有20多个,其中10余个产品的化合物专利仍在保护期内。在2022—2033年间,有15个SDHI类产品的化合物专利到期(见表1),其中不乏重磅产品,本文将对销售额位列该类前10的8个重点品种进行较详细的介绍。
表1 2022—2033年专利到期的SDHI类杀菌剂


氟唑菌酰胺是巴斯夫继啶酰菌胺之后推出的第2个SDHI类杀菌剂。主要通过抑制线粒体呼吸链复合物Ⅱ的琥珀酸脱氢酶,从而抑制真菌孢子萌发,芽管和菌丝生长。氟唑菌酰胺高效、广谱、持效期长、选择性强,具有优异的内吸传导性能,耐雨水冲刷。
氟唑菌酰胺已在欧盟登记,由于欧盟登记延续批准程序缓慢,批准延期至2021年,新的有效期至2025年5月31日。开发了与吡唑醚菌酯的混配制剂,其中Orkestra在巴西登记,主要用于防治亚洲大豆锈病;Lexicon Intrinsic在美国登记用于草坪;Priaxor在加拿大、阿根廷和其他国家登记;Sercadis在美国登记用于防治水稻纹枯病。巴斯夫向孟山都提供氟唑菌酰胺,用于孟山都Acceleron大豆和棉花种子处理剂系列。2019年,巴斯夫在美国推出Obvius Plus种子处理剂(氟唑菌酰胺+吡唑醚菌酯+甲基硫菌灵+甲霜灵)防治疫霉、腐霉、镰刀菌和丝核菌等主要病原菌;在西班牙推出了Dagonis(氟唑菌酰胺+苯醚甲环唑);四季度在日本推出2款杀菌剂Axar Flowable(氟唑菌酰胺+苯醚甲环唑)和用于大田作物的Imtrex Flowable(氟唑菌酰胺);在法国上市Dagonis(氟唑菌酰胺+苯醚甲环唑)。2020年,1月巴斯夫在英国上市Revystar XE(氯氟醚菌唑-Revysol+氟唑菌酰胺-Xemium),用于所有谷类作物的病害防治;3月新西兰环保局(EPA)批准了巴斯夫进口和销售Revystar(氯氟醚菌唑+氟唑菌酰胺)的申请,主要用于防治作物叶锈病等;6月加拿大提议批准种子处理剂Teraxxa F4(吡唑醚菌酯+灭菌唑+甲霜灵+氟唑菌酰胺),用于防治种子和土壤病害;9月加拿大PMRA确认批准延长氟唑菌酰胺在高尔夫球场产品Xzemplar中的使用。2021年,巴斯夫在乌克兰推出了用于大麦和小麦的Systiva(氟唑菌酰胺);种子处理剂Vercoras(噻虫胺+氟吡菌酰胺+甲霜灵+氟唑菌酰胺+吡唑醚菌酯)在加拿大的登记批准,用于转基因耐除草剂油菜籽,防治种子和土壤病害;在巴西推出Blavity(氟唑菌酰胺+丙硫菌唑),用于防治亚洲大豆锈病Phakopsora pachyrhizi和黄瓜叶斑病Corynespora cassicola;在俄罗斯推出用于谷物的Ceriax Plus(吡唑醚菌酯+氟唑菌酰胺+氟环唑)和种子处理剂Kinto Plus(氟唑菌酰胺+灭菌唑+咯菌腈);在西班牙引入Priaxor(氟唑菌酰胺+吡唑醚菌酯),用于防治小麦的主要叶部病害以及大麦的褐锈病Puccinia hordei和黑斑病Ramularia colo-cygni。2022年,巴西批准了巴斯夫的Palivar(氯氟醚菌唑+吡唑醚菌酯+氟唑菌酰胺),用于大麦、咖啡、棉花、芸豆、玉米、小米、高粱、大豆、甘蔗、燕麦、黑麦和小黑麦。
氟唑菌酰胺化合物专利WO2006087343申请于2006-02-15,智慧芽专利数据库中其同族专利申请43件,目前至少在30个国家或地区内有效,CN101115723B、EP1856055B1、JP5210638B2、US8008232B2预计到期日分别为2026-02-15、2026-02-15、2026-02-15、2027-12-15(PAT调整668 d)。
氟唑菌酰胺被巴斯夫重点打造并计划将其引入世界上70多个国家,用于100多种作物。自上市以来,销售额一路攀升,于2015年超越啶酰菌胺,成为SDHI类杀菌剂中的首席产品,从此一直保持着这一市场地位。2019年销售额已超过5亿美元,在整个杀菌市场销售排名前10。氟唑菌酰胺2019—2023年全球销售额趋势见图1。

图1 氟唑菌酰胺2019—2023年全球销售额趋势图
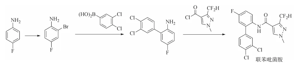
氟唑菌酰胺合成路线报道较多,例如通过二氟乙酰乙酸乙酯合成1-甲基-3-二氟甲基吡唑-4-羧酸,通过Suzuki偶联等反应合成3',4',5'-三氟联苯基-2-胺,然后吡唑羧酸或其衍生物与3',4',5'-三氟联苯基-2-胺在适当条件下反应得到目标物,合成线路见图2。

图2 氟唑菌酰胺的合成路线

苯并烯氟菌唑是由先正达发现的吡唑酰胺结构的SDHI类杀菌剂,分子中同时含有独特的苯并降冰片烯基团,具有很好的内吸传导性,能够紧密结合植物的蜡质层,缓慢渗透到植物组织中,通过干扰真菌细胞的正常呼吸过程来作用于靶标病原菌,影响病原菌的呼吸链电子传递系统,阻碍其能量代谢,抑制病原菌生长,导致其死亡,从而达到防治病害的目的。可通过叶面喷雾或土壤处理防治多种作物的叶面病害和土壤病害。适用于草皮、观赏植物和粮食作物,如苹果、大麦、小麦、蓝莓、玉米、棉籽、瓜类蔬菜、干去荚青豆、大豆、葫芦科蔬菜、葡萄、花生、仁果类水果、油菜籽、结节和球茎类蔬菜等。国内登记作物主要有观赏菊花、花生,防治对象为白粉病、锈病。苯并烯氟菌唑混配性能优秀,可与嘧菌酯、丙环唑、苯醚甲环唑、丙硫菌唑等进行混配。
2013年苯并烯氟菌唑率先在巴拉圭和玻利维亚上市,同年5月,先正达与杜邦(现科迪华)签署了全球相互授权协议。2014年在阿根廷和巴西引入Elatus(苯并烯氟菌唑+嘧菌酯)。在欧盟注册后,Elatus于2016年在法国获得批准。2017年,先正达加拿大公司(Syngenta Canada)获得了Approvia(苯并烯氟菌唑)的标签扩展,包括马铃薯和一系列园艺作物上的应用;杜邦在巴西推出了Vessarya(苯并烯氟菌唑+啶氧菌酯)。2016—2018年,先正达先后在英国、爱尔兰、意大利、德国和西班牙上市Elatus Era(苯并烯氟菌唑+丙硫菌唑),用于防治小麦、大麦、黑麦、燕麦和小黑麦等谷物叶部病害。Elatus Ace于2019年7月和10月分别在阿根廷和澳大利亚获批使用。2020年,先正达在美国上市Ascernity(苯并烯氟菌唑+苯醚甲环唑),用于高尔夫球场草皮病害防治;9月在巴拉圭全球首发上市Mazen Forte(苯并烯氟菌唑+丙环唑),用于防治亚洲大豆锈病Phakopsora pachyrhizi;科迪华在巴西推出了内吸性杀菌剂Vessarya(啶氧菌酯+苯并烯氟菌唑),用于防治亚洲大豆锈病Phakopsora pachyrhizi等大豆病害;Aprovia Top(苯醚甲环唑+苯并烯氟菌唑)上市,用于葡萄、葫芦、水果蔬菜和大蒜的病害控制。2021年,先正达在加州上市Ascernity(苯并烯氟菌唑+苯醚甲环唑),用于高尔夫球场草皮;Mural(苯并烯氟菌唑+嘧菌酯),用于温室和苗圃观赏作物;在巴西推出用于大豆的Mitrion(苯并烯氟菌唑+丙硫菌唑)和Alade(苯并烯氟菌唑+环丙唑醇+苯醚甲环唑)。
苯并烯氟菌唑化合物专利WO2007048556申请于2006-10-23,智慧芽专利数据库中其同族专利申请48件,目前在中国、欧洲、美国、日本等至少30个国家或地区内有效,其中中国专利CN101296913B预计将于2026-10-23到期。
苯并烯氟菌唑是目前先正达第二大杀菌剂,其2019年的销售额突破4.00亿美元,是近年来增长最快的SDHI类杀菌剂之一,现已在该类杀菌剂中排名第2,也是先正达继嘧菌酯之后最重要的杀菌剂。苯并烯氟菌唑2019—2023年全球销售额情况见图3。

图3 苯并烯氟菌唑2019—2023年全球销售额趋势图
苯并烯氟菌唑的合成路线见图4。

图4 苯并烯氟菌唑的合成路线

氯氟联苯吡菌胺是拜耳作物科学公司开发的吡唑酰胺类化合物,为线粒体抑制剂,扰乱复合体Ⅱ在呼吸作用中电子传递功能,对琥珀酸脱氢酶有抑制作用。为广谱、内吸性杀菌剂,专用于叶面喷雾,可用于防治子囊菌、担子菌、半知菌纲真菌引起的多种谷物病害,及对甲氧基丙烯酸酯类杀菌剂产生抗性的壳针孢属病原菌引起的叶斑病等。
2011年在英国上市,主要是氯氟联苯吡菌胺和丙硫菌唑的混剂,Aviator Xpro用于小麦,Siltra Xpro用于大麦。Aviator在德国被批准用于冬小麦、黑麦和小黑麦。2011年,Aviator Xpro在智利被批准用于小麦和大麦。2017年,Aviator Xpro在澳大利亚上市,用于油菜籽和鹰嘴豆。2013年获得欧盟附件1批准。富美实从拜耳作物科学公司获得了氯氟联苯吡菌胺在美国和加拿大开发和独家分销权。2019年美国环保署批准了富美实的4个氯氟联苯吡菌胺的混剂:F96521-1杀菌剂(+异菌脲)、F9654-1(+粉唑醇)、F9653-1(+嘧菌酯)和F9651-2(+戊唑醇),用于谷物(水稻除外)、大豆、花生、根茎类蔬菜、块茎类和球茎类蔬菜等。拜耳于2018年在阿根廷推出了Cripton Xpro(氯氟联苯吡菌胺+丙硫菌唑+肟菌酯),用于花生。2019年9月,加拿大批准了富美实的一种基于氯氟联苯吡菌胺的杀菌剂,用于控制小麦、大麦、燕麦和大豆的叶面病害,目前在国内没有登记。潜在风险是氯氟联苯吡菌胺作用位点单一,具有较高的抗性风险;其对水生生物毒性极高,需要进行抗性管理和远离水生环境使用。
氯氟联苯吡菌胺化合物专利WO2003070705申请于2003-02-06,智慧芽专利数据库中其同族专利申请31件,目前在大多数国家已经期限届满,在中国(CN100503577C)也已于2023-02-06到期。
氯氟联苯吡菌胺在2011年上市后其市场迅速增加。目前是拜耳排名前5的杀菌剂之一,拜耳预测氯氟联苯吡菌胺的年峰值销售额将突破3.00亿欧元。氯氟联苯吡菌胺2019—2023年全球销售额情况见图5。

图5 氯氟联苯吡菌胺2019—2023年全球销售额趋势图
氯氟联苯吡菌胺的合成路线报道较多,常用的路线见图6。

图6 氯氟联苯吡菌胺的合成路线

氟吡菌酰胺是由拜耳作物科学有限公司开发的吡啶乙基苯甲酰胺类杀菌剂、杀线虫剂,其杀菌机理是通过抑制线粒体呼吸,抑制病原菌孢子萌发、芽管生长、菌丝体生长及芽孢形成,导致其死亡,达到防治病害的目的。可用于防治80多种作物如葡萄树、鲜食葡萄、梨果、核果、蔬菜以及大田作物等的多种病害,包括灰霉病、白粉病、菌核病、褐腐病。同时还是全新作用机理的杀线虫剂,有选择性地抑制线虫线粒体中的呼吸链的复合体Ⅱ。线粒体是线虫的能量来源,干扰其呼吸作用,导致线虫细胞中能量(ATP)很快耗尽而死亡。
作为拜耳收购孟山都的条件之一,拜耳于2018年将Copeo和IleVO 2个品牌剥离给巴斯夫。拜耳宣布计划扩大在堪萨斯州的氟吡菌酰胺生产。2019年,拜耳的Luna Sensation(氟吡菌酰胺+肟菌酯)在西班牙获得了辣椒上使用期延长的许可;拜耳与精准灌溉专家Netafim和BGN Technologies签署了一项为期3年的协议,在以色列通过滴灌使用Velum Prime(氟吡菌酰胺)作为杀线剂。2019年,巴西Anvisa批准了氟吡菌酰胺,并推荐将其用于豆类的叶面施用,棉花的叶面施用和种子处理,马铃薯的沟施,咖啡和甘蔗的灌根,玉米的种子处理以及大豆的叶面施用和种子处理;10月巴斯夫在澳大利亚推出了杀菌剂Ilevo(氟吡菌酰胺),防治油菜茎基溃疡病菌。2020年,1月意大利批准了拜耳的Luna Care(氟吡菌酰胺+三乙膦酸铝),水分散颗粒剂用于控制苹果和梨上的白粉病Podosphaera leucotricha和苹果黑星病Venturia inaequalis;9月拜耳在加拿大推出了Proline Gold(丙硫菌唑+氟吡菌酰胺)。2022年,2月拜耳在美国推出Prosaro Pro 400(丙硫菌唑+戊菌唑+氟吡菌酰胺),用于防治禾谷镰刀菌Fusarium graminearum;3月在奥地利首次推出Propulse(丙硫菌唑+氟吡菌酰胺),用于多种作物,包括玉米、大豆、马铃薯、南瓜、油菜籽、芥菜和罂粟;6月在西班牙推出了“集成”杀线虫解决方案Control Prime,是以Velum(氟吡菌酰胺)杀线虫剂、丁香拟青霉菌株251为基础的生物溶液、BioAct(数字农业工具)、Nematool和De Ruiter番茄砧木的组合,用于覆盖番茄种植全过程。
氟吡菌酰胺相关专利的申请情况和发展趋势已有文献报道,其化合物专利WO2004016088A2申请于2003-08-08,智慧芽专利数据库中其同族专利申请34件,目前在中国、印度等大多数国家均已期限届满,在美国(US7572818B2)、日本(JP4782418B2)和巴西(BRPI0313340B1)分别将于2025-11-15、2026-12-01和2025-08-18到期。
氟吡菌酰胺上市以来迅速上升为全球市场领先的杀菌剂之一。法国和美国是氟吡菌酰胺的重要市场,2021年其在法国和美国的销售额分别为2,153、1,903万美元,分别占全球销售市场的11.4%和10.0%;其后依次为日本(1,373万美元,占7.3%)、德国(1,220万美元,占6.5%)等。氟吡菌酰胺2019—2023年全球销售额情况见图7。

图7 氟吡菌酰胺2019—2023年全球销售额趋势图
氟吡菌酰胺合成方法研究报道较多,主要路线见图8。

图8 氟吡菌酰胺的合成路线

氟唑环菌胺是由先正达发现、开发和生产的吡唑甲酰苯胺类杀菌剂。主要抑制线粒体呼吸链电子传递功能的复合物II(琥珀酸脱氢酶),属于高效、广谱、内吸性杀菌剂,具有保护和治疗作用,以保护作用为主。专门用于种子处理,防治多种病害,还可预防种子感染。
开发了多种混配制剂,包括先正达的Cruiser Maxx系列,与噻虫嗪、咯菌腈、精甲霜灵的混配。美国批准登记的Vibrance已从谷物扩展到其他作物,包括Clariva Complete Beans(噻虫嗪+氟唑环菌胺+咯菌腈+精甲霜灵)用于大豆胞囊线虫。已在澳大利亚获得批准,并已获得欧盟注册,目前批准有效期至2024年1月底。2017年,Cruiser Maxx Vibrance(噻虫嗪+氟唑环菌胺+咯菌腈+苯醚甲环唑)作为马铃薯种子处理剂在美国上市。2018年,先正达获得美国批准用于玉米种子处理剂的Vibrance Cinco(氟唑环菌胺+噻菌灵+嘧菌酯+咯菌腈+精甲霜灵)和用于大豆种子处理剂的Vibrance Trio(氟唑环菌胺+咯菌腈+精甲霜灵);Vibrance Maxx(咯菌腈+精甲霜灵+氟唑环菌胺)种子处理剂在阿根廷上市;马铃薯种子处理剂Vibrance Ultra potato(双炔酰菌胺+苯醚甲环唑+氟唑环菌胺)获得加拿大批准。2020年,1月先正达获得了美国批准,用于马铃薯的种子处理产品Vibrance Ultra Potato(双炔酰菌胺+苯醚甲环唑+氟唑环菌胺);2月先正达在美国推出了用于水稻的种子处理剂Vibrance RST(嘧菌酯+嘧菌腈+精甲霜灵+氟唑环菌胺)。2022年3月,先正达公司的大豆种子处理剂CruiserMaxx APX(噻虫嗪+精甲霜灵+四唑吡氨酯+咯菌腈+氟唑环菌胺)获得了美国批准,用于防治早期虫害和由疫霉菌、镰刀菌、丝核菌引起的病害。
从专利技术方案类型来看,先正达在2002年3月5日递交氟唑环菌胺化合物核心专利后,又陆续围绕氟唑环菌胺的制备方法、组合物、吡唑中间体、苯胺中间体布局了多件专利;从专利区域分布来看,先正达在全球范围内开展同族专利布局。在中国化合物专利CN1293058C申请于2003年2月21日,保护期20年,该专利权已于2023年2月21日到期。需要注意的是:氟唑环菌胺化合物核心专利在美国(US7951752B2)和奥地利(AT365719T)仍处于专利权有效期内,预计到期日分别为2025-01-08和2026-10-04。
氟唑环菌胺系列产品继2011年上市以来,取得了较好的市场增长,得益于氟唑环菌胺系列产品的不断推新,先正达的种子处理业务保持了相对稳定的逐年增长,其种衣剂的全球市场份额一度增长至36%。美国和加拿大是氟唑环菌胺重要市场,近几年欧洲地区也成为销售额增长的重要引擎。谷物、玉米、马铃薯、水稻是氟唑环菌胺重要的作物市场,其在非作物领域也拥有较大的市场潜力。氟唑环菌胺2019—2023年全球销售额情况见图9。

图9 氟唑环菌胺2019—2023年全球销售额趋势图
氟唑环菌胺可由图10所示方法进行制备。

图10 氟唑环菌胺的合成路线

氟唑菌苯胺是拜耳公司开发的琥珀酸脱氢酶抑制剂类杀菌剂。可用于紫花苜蓿、油菜、谷物、棉花、玉米、马铃薯、水稻、小谷物、大豆、向日葵、块根蔬菜等作物,防治担子菌门真菌和子囊菌门真菌引起的土传或种传病害。对纹枯病有很好的防治效果,可用作种子处理剂。
2011年Emesto在英国首次上市用于马铃薯。2012年在美国、加拿大和乌克兰获得批准。同时多种混剂被开发,Titan Emesto(氟唑菌苯胺+噻虫胺+丙硫菌唑)于2012年在加拿大上市,用于马铃薯;Emesto Silver(氟唑菌苯胺+丙硫菌唑)用于马铃薯;EverGol Prime(氟唑菌苯胺)用于棉花;EverGol Energy(氟唑菌苯胺+丙硫菌唑+甲霜灵)用于小麦。2013年在美国推出了Prosper EverGol(氟唑菌苯胺+肟菌酯+甲霜灵+噻虫胺),用于油菜籽。EverGol Prime于2013年在澳大利亚获得批准,用于防治小麦和大麦的根腐病和黑穗病。杜邦先锋公司与拜耳已达成协议,拜耳提供EverGol Energy(氟唑菌苯胺+丙硫菌唑+甲霜灵),该产品作为杜邦(现科迪华)在美国大豆种子处理项目的一部分。2018年,欧盟成员国批准将氟唑菌苯胺的使用范围扩大到种薯块茎以外,并批准将其用于木材防腐剂。2017年,拜耳在加拿大上市了三元种子处理剂Trilex EverGol(氟唑菌苯胺+肟菌酯+甲霜灵)。2018年组合化学登记了杀虫剂/杀菌剂Fullthrottle Box GR(溴氰虫酰胺+三氟苯嘧啶+异噻菌胺+氟唑菌苯胺)。2019年,EverGol Energy(氟唑菌苯胺+丙硫菌唑+甲霜灵)在澳大利亚上市,用于小麦、大麦、小黑麦和燕麦。2022年3月,先正达日本公司推出了Minect Forster SC(溴氰虫酰胺+氟唑菌苯胺+异噻菌胺),用于在插秧箱中培育水稻幼苗。
氟唑菌苯胺化合物专利WO2003010149A1申请于2002-07-12,智慧芽专利数据库中其同族专利申请23件,目前在日本以外的所有国家均已陆续过期,日本专利JP5671559B2预计将于2025-10-11到期。
氟唑菌苯胺2019—2023年全球销售额情况见图11。

图11 氟唑菌苯胺2019—2023年全球销售额趋势图
氟唑菌苯胺可由多条路线进行合成,较常见的路线见图12。

图12 氟唑菌苯胺的合成路线

吡唑萘菌胺是先正达开发的琥珀酸脱氢酶抑制剂,相比于其他SDHI类杀菌剂,吡唑萘菌胺因其独特的双环结构[吡唑环、苯并桥环(或苯并降冰片烯环)],赋予该产品较为广泛的杀菌谱和良好的亲脂性,可以很好地与作物蜡质层及真菌作用位点相结合,实现优异的耐雨水冲刷、抗紫外光解、预防杀菌活性以及较长的持效作用;其在叶片内还可以跨层传导。对多种作物上的多种病害均具有杰出的防治性能,对三唑类和甲氧基丙烯酸酯类抗性品系病菌高效,尤其对壳针孢属Septoria真菌十分高效,如对小麦锈病和大麦锈腐病的防效均优于氟环唑。该杀菌剂以保护作用为主,但在田间试验中亦显示出一定的治疗作用,其持效期长,施药7周后仍表现出明显效果,保护期比三唑类杀菌剂长2周左右。
2010年在英国首次批准Bontima与嘧菌环胺联合用于大麦。在英国和德国进一步推出的产品包括Seguris(与氟环唑混剂),用于小麦、大麦、小黑麦和黑麦。2014年在阿根廷推出Reflect Extra。2014年,先正达绿妃™在我国上市。绿妃™不仅是吡唑萘菌胺在中国上市的第1个产品,同时也是先正达在中国上市的第1个SDHI类杀菌剂。2017年,吡唑萘菌胺在意大利上市,商品名为Reflect,用于蔬菜。2018年,8月美国先锋公司的全资子公司先锋墨西哥公司收购了先正达在墨西哥销售的选择性除草剂和接触型杀菌剂,包括基于吡唑萘菌胺的Reflect;澳大利亚农药和兽药管理局(APVMA)提议批准先正达的杀菌剂Seguris Flexi用于梨果。2022年5月,欧盟委员会撤销了对先正达吡唑萘菌胺(商品名为IZM)的批准。
吡唑萘菌胺首次报道于组合物专利WO2006037632中,其结构包含于化合物专利WO2004035589A1(申请日2003-10-14),但未被具体公开(不是列表化合物)。智慧芽专利数据库中WO2004035589A1同族专利申请49件,目前在多数国家已期限届满,但US7598395B2、JP4607591B2、KR100858013B1、BRPI0314875B1等仍在有效期内,预计到期日分别为2027-02-11、2025-10-26、2026-06-21、2024-11-18。
吡唑萘菌胺是先正达推出的首款SDHI类杀菌剂,吡唑萘菌胺2019—2023年全球销售额情况见图13。

图13 吡唑萘菌胺2019—2023年全球销售额趋势图
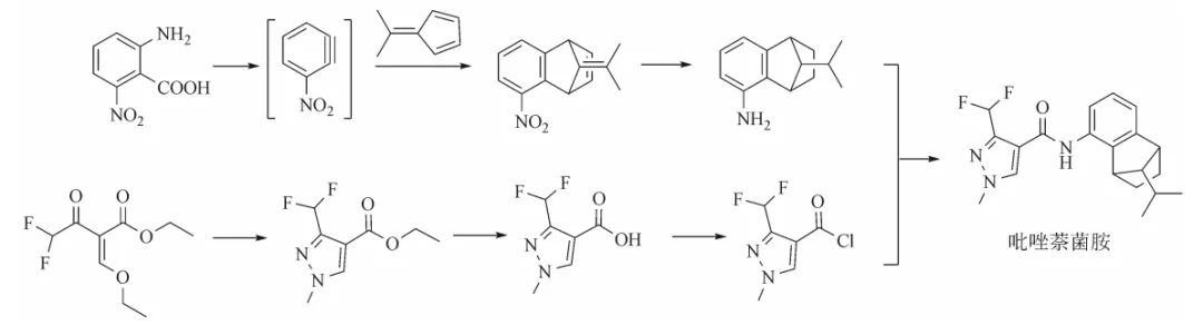
吡唑萘菌胺的合成路线主要分为2类,一类是分别构建吡唑环和四氢萘环再进行酰胺键的构建,另一类是先进行酰胺键的构建再合成吡唑环,其中较常见的合成路线见图14。

图14 吡唑萘菌胺的合成路线

氟唑菌酰羟胺是吡唑酰胺类杀菌剂、杀线剂,也是先正达继吡唑萘菌胺、氟唑环菌胺、苯丙烯氟菌唑之后开发的第4个SDHI类杀菌剂。氟唑菌酰羟胺具有良好的内吸活性,能够在植物体内平衡分布。具有良好的耐雨水冲刷特性,即使在低浓度下也可以长期抑制病害。对QoIs、DMIs、PPs及Aps没有交互抗性。同时,还可以有效抑制真菌毒素。2个对映异构体具有相似的活性,这也降低了合成难度。相对于其他众多SDHI类杀菌剂而言,氟唑菌酰羟胺在应用上有两大突破:突破性地防治由镰刀菌Fusarium spp.引起的病害,如小麦赤霉病等,是目前SDHI类杀菌剂中唯一高效防治赤霉病的药剂;突破性地防治线虫(商品名Saltro),尤其对大豆胞囊线虫Heterodera glycines具有卓越防效,这是继拜耳氟吡菌酰胺之后又一高效防治线虫的SDHI类化合物。
2016年进入上市阶段,最先在阿根廷登记,商品名为Adepidyn。2017年初,在阿根廷推出了Miravis Duo(氟唑菌酰羟胺+苯醚甲环唑),用于大豆预防周期末期病害(end-of-cyclediseases,EFCs)。在乌拉圭也被用于预防季末综合病害。2018年,先正达在阿根廷上市Miravix Top(氟唑菌酰羟胺+苯醚甲环唑),用于番茄和马铃薯,Adepidyn获得美国和加拿批准用于作物、草坪和观赏植物。同年,澳大利亚提议批准Miravis用于油菜籽、葡萄和马铃薯。2019年,先正达在美国推出了杀菌剂Miravis Ace(氟唑菌酰羟胺+丙环唑),用于防治小麦赤霉病;Saltro(氟唑菌酰羟胺)获美国环保署的批准;12月在阿根廷推出了Miravis Duo(氟唑菌酰羟胺-Adepidyn+苯醚甲环唑),用于防治向日葵黑胫病和叶枯病。2020年1月,先正达在加拿大推出5种氟唑菌酰羟胺混剂;在中国推出Miravis Duo(氟唑菌酰羟胺+苯醚甲环唑),商品名“美甜”;2月在美国推出用于大豆的Saltro(氟唑菌酰羟胺);3月在澳大利亚推出了种子处理剂Saltro Duo(氟唑菌酰羟胺+咯菌腈);8月针对美国高尔夫球场草皮推出了3款杀菌剂,包括Posterity XT和Posterity Forte(均为氟唑菌酰羟胺+嘧菌酯+丙环唑);8月种子处理剂Saltro(氟唑菌酰羟胺)获得批准,这是第1个油菜籽种子处理剂,防治子叶期由气流传播引起的油菜黑胫病。2021年,新西兰环境保护局批准了Miravis Plus(氟唑菌酰羟胺+咯菌腈)的进口和生产,用于防治水果和蔬菜中的主要真菌病害;先正达在澳大利亚推出了Miravis Star(咯菌腈+氟唑菌酰羟胺),用于控制油菜和豆类作物的各种病害;在澳大利亚又推出Miravis Prime(氟唑菌酰羟胺+咯菌腈),用于水果和蔬菜作物,悬浮剂配方用于防治蔬菜菌核病,浆果作物和葡萄灰霉病以及马铃薯中的白粉病;先正达获得美国环保署批准,使用Trebuset Cereals(氟唑菌酰羟胺)作为种子处理剂,用于防治谷类作物土传病害;Miravis Duo(氟唑菌酰羟胺+苯醚甲环唑)在加州注册,用于坚果防治枯萎病、褐腐病、叶斑病等多种病害;Miravis Duo在加拿大登记用于防治马铃薯早疫病;Miravis Bold(氟唑菌酰羟胺)在加拿大登记用于油菜籽防治菌核病Sclerotinia sclerotiorum。2022年,1月先正达在乌克兰推出了Miravis Neo(氟唑菌酰羟胺+丙环唑+嘧菌酯),用于小麦、大麦;2月加拿大公司上市了Miravis Era(氟唑菌酰羟胺+丙硫菌唑)防治小麦赤霉病;3月在美国上市Postiva(氟唑菌酰羟胺+苯醚甲环唑),用于观赏作物防治叶斑病、灰霉病和白粉病等;5月在俄罗斯上市Miravis Neo(氟唑菌酰羟胺+嘧菌酯+丙环唑),用于春冬小麦和大麦防治叶斑病、白粉病和锈病;7月巴西农业部批准先正达的氟唑菌酰羟胺用于棉花、咖啡、玉米、大豆和几种小型作物。
氟唑菌酰羟胺化合物专利WO2010063700A2申请于2009-12-01,智慧芽专利数据库中同族专利申请47件,目前在全球约40个国家或地区有效,其中中国专利CN102239137B预计到期日为2029-12-01。
氟唑菌酰羟胺商业化至今不到8年,目前已在包括中国在内的全球55个国家上市,该产品自上市以来,市场增长迅速,先正达预计,氟唑菌酰羟胺有望成为10亿美元年销售额的重磅植保活性成分。氟唑菌酰羟胺2019—2023年全球销售额情况见图15。

图15 氟唑菌酰羟胺2019—2023年全球销售额趋势图
目前关于氟唑菌酰羟胺合成方法的报道相对较少,主要可分为先构建酰胺键后构建吡唑环和先构建吡唑环后构建酰胺键2类,后者反应路线见图16。

图16 氟唑菌酰羟胺的合成路线
对2022—2033年专利到期的15个SDHI类杀菌剂进行了汇总,并对8个销售额排在前列的品种进行了较详细的介绍。8个品种中,2022年到期1个(氟唑菌苯胺),2023年到期4个(氟吡菌酰胺、氯氟联苯吡菌胺、氟唑环菌胺、吡唑萘菌胺),2026年到期2个(氟唑菌酰胺、苯并烯氟菌唑),2029年到期1个(氟唑菌酰羟胺)。需要注意的是,这些品种在各个国家(或地区)的专利到期时间不完全相同,有涉外情况请关注专利在该国的法律状态。
众所周知,新农药创制研究虽然利润高,但是其研究难度大、周期长、竞争激烈、风险极高——在研究过程中一旦有任何不符合人类安全、环境生态安全的问题,就会前功尽弃。面对新有效成分数量不断下降的现实,目前已有多家以研发为核心的公司把重点转移到专利过期品种的经营上,期望有效成分失去专利保护后,仍能在激烈竞争的市场中保持较好的销售份额。特别是一些中小企业很难在技术开发能力和经济实力上与国内外大公司抗衡,若要可持续发展,那么利用过专利保护期的产品进行进一步开发和创新,不仅可以节省大量的资金投入,还可以缩短研发时间,在短时间内将技术转化为生产力,进而转化为资金,获取利润,以达到少花钱不侵权地使用他人技术的目的。因为某些产品的专利虽然在法律层面上失效,但是并不代表它的技术含量和市场价值也随着一并消失,有很多过专利期产品在保护期满以后很长时间内仍然具有先进性,具有很高的开发利用价值和市场前景。
作者:汪国庆1 张斌2 李慧超1(1.沈阳中化农药化工研发有限公司 新农药创制与开发国家重点实验室,农药国家工程研究中心;2.沈阳科创化学品有限公司)