简述
茚虫威是杜邦公司研发的二嗪类杀虫剂,其独特的作用方式是通过阻塞钠离子的通道对鳞翅目昆虫的控制。茚虫威〔试验代号:DPX-JW062、DPX-M P062、DPX-KN128、DPX-KN127, 通用名称:indoxacarb, 商品名称:Ammate(全垒打)、Avatar(安打)、Avaunt 、Steward。
茚虫威是杜邦公司研发的二嗪类杀虫剂,其独特的作用方式是通过阻塞钠离子的通道对鳞翅目昆虫的控制。
茚虫威〔试验代号:DPX-JW062、DPX-M P062、DPX-KN128、DPX-KN127, 通用名称:indoxacarb, 商品名称:Ammate(全垒打)、Avatar(安打)、Avaunt 、Steward。
茚虫威具有一对对映异构体,其中S-异构体为有效体(杜邦公司试验代号为DPX-KN128),R-异构体没有生物活性(DPX-KN127)。茚虫威的英文通用名称(ISO)indoxacarb实际上是指有效体DPX-KN128。大鼠急性经口LD50:雄 1730mg/ kg , 雌 268mg/kg;兔急性经皮 LD50:>5000mg/kg。对兔眼睛和皮肤无刺激。无“ 三致”。鹌鹑急性经口LD50:98mg/kg。野鸭(5 天)LC50:5620mg/kg , 鹌鹑(5 天)LC50:808mg/kg 。虹鳟 LC50(96小时):0.65mg/ L 。蜜蜂LD50(48h):23.33 μg/只(经口) , 1.34 μg/只(接触)。蚯蚓 LC50(14d)>1250 mg/kg 。30~50g a.i./hm2剂量下对有益生物、动物等很少或无副作用。茚虫威对靶标昆虫外的生物基本表现为低毒,但由于对鱼、蜜蜂以及家蚕高毒,田园使用茚虫威时应避免蜜蜂活动区域、桑园以及流水区域,以免造成不必要的危害。茚虫威是一种新型钠通道抑制剂,与目前的各类杀虫剂作用机制不同。茚虫威被昆虫摄入后,在脂肪体特别是中肠中迅速代谢为杀虫活性更强的N-去甲氧羰基代谢物。这个活化代谢过程需要酯酶或酰胺酶的催化。神经生理学研究表明,茚虫威 在昆虫体内代谢为DCJW,不可逆阻断钠离子通道,从而导致靶标昆虫运动失调、停止取食、麻痹并死亡。茚虫威具有杀幼虫和杀卵作用,主要作用方式是胃毒和触杀作用。
主要用于蔬菜,水果,经济作物上的鳞翅目害虫防治,如棉铃虫、菜青虫、烟青虫、小菜蛾、甜菜夜蛾、斜纹夜蛾、甘蓝夜蛾、银纹夜蛾、粉纹夜蛾、卷叶蛾类、苹果蠹蛾、叶蝉、葡萄小食心虫、葡萄长须卷叶蛾、金刚钻、棉大卷叶螟、牧草盲蝽、马铃薯块茎蛾、马铃薯甲虫等。
2000年在美国茚虫威用于控制水果和蔬菜作物上的主要蠕虫病害(杀卵剂和杀幼虫剂),但同样也作用于梨果类鳞翅目害虫。这个产品对控制棉花上的棉铃虫有独特防效。并于2000年在法国,意大利,西班牙引进用于葡萄种植,同时在土豆和非洲的棉花上也得到推广。2001年茚虫威首先在棉花用药上在美国获得登记,随后在其他种类的作物上获得登记。茚虫威的低用药剂量和新颖的作用方式促成了其商业成功并且使其销售额在2003年突破了一亿美元。
随后其在印度作为对棉花防控的引进得到了迅速的推广,并且逐步在印度推广到其他的作物上。茚虫威现在已全面实现了原药和制剂在欧盟的登记。2007年在澳大利亚也获得了在棉花、鹰嘴豆和蚕豆的登记批准。2012年先正达收购了杜邦的专业产品业务其中就包括了茚虫威的作物保护产品和Advion(火蚁控制产品)。

制剂单剂146个,主要剂型为茚虫威15%SC,茚虫威30%WDG以及杀蚁饵剂等。国内登记复配共计119个,主流是与甲维盐、阿维菌素、虫螨腈等复配。
从全球市场的登记情况和使用作物情况分析,目前茚虫威主要分布的市场区域在以下国家:
1. 澳大利亚,主要的适用作物为:棉花,豆类作物
2. 巴西,主要作物为棉花
3. 印度,主要作物为棉花,部分的果蔬作物
4. 亚洲区域:韩国、日本,主要作物为果蔬,土豆
5. 欧盟。主要作物为葡萄、土豆(包含土壤处理)、水果、玉米(主要用于土壤害虫防治中的预处理用药)
6. 卫生用药。用于防治蚂蚁、白蚁等害虫。
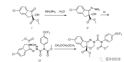
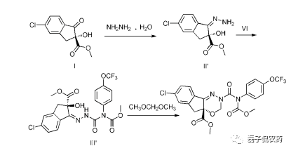
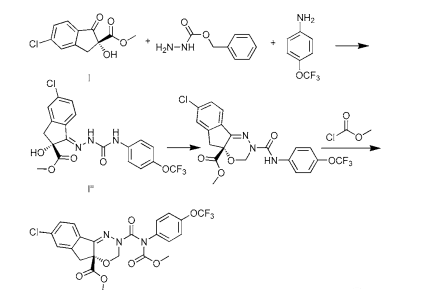
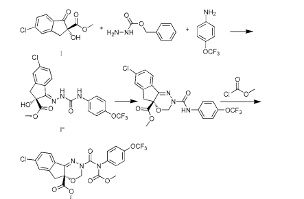
茚虫威的合成以关键中间体茚甲酯(5-氯-2,3-二氢-1-氧代-1H-茚-2-羧酸甲酯)为原料经过不同的单元反应,可分为以下3条路线。
路线1:以关键中间体茚甲酯为原料经氧化、缩合、闭环、催化加氢脱保护,然后与酰氯化物(化合物VI)反应等5步反应得到茚虫威,其中酰氯化物是以4-三氟甲氧基苯胺为原料经酰化与光气化2步反应制得。

路线2:以路线1中的化合物I为原料,经先缩合、酰化,后闭环反应得到茚虫威。

路线3:以路线1中的化合物I、肼甲酸苄酯和对三氟甲氧基苯胺为原料,经缩合和胺化、闭环和酰化反应得到茚虫威。

茚虫威抗性的产生
茚虫威虽作用位点独特,其长时间,大剂量的使用仍然会引起斜纹夜蛾,小菜蛾等的抗性,如图所示预测不同选择压力下斜纹夜蛾对茚虫威抗性提高100倍所需的代数。结果显示, 斜纹夜蛾的抗性发展速率随茚虫威选择压力的提高而加快, 当死亡率为80%~90%时 ,斜纹夜蛾对茚虫威抗性增长100倍仅需8~10代。
曾几何时,由于夜蛾科和小菜蛾对茚虫威的高抗,茚虫威淡出了人们的视线。而随着近年来氯虫苯酰胺类产品产生严重抗性,2018年的北方杀虫剂市场,各种沉寂了十几年的产品逐渐回归主流大众的视野。其中热度最高的当属茚虫威、虱螨脲、虫螨腈,阿维菌素等。
由于过度依赖康宽,茚虫威的抗药性自然是“来也匆匆,去也匆匆!”大量的抗茚虫威的个体被其取代产品杀死,作用靶标昆虫对氯虫苯甲酰胺抗药性的逐年增加间接导致了抗茚虫威个体数量的降低。靶标害虫重新对茚虫威表现出敏感。
同时对于草地贪夜蛾等鳞翅目害虫的防治,茚虫威与甲维盐的复配是对于氯虫苯甲酰胺强有力的竞争者。