环磺酮是拜耳公司2007年开发的苯甲酰环己二酮类除草剂,为对羟基苯基丙酮酸双氧化酶(HPPD)抑制剂,HPPD催化对羟基丙酮酸转化为尿黑酸(homogentisic acid),进而转化为光合作用中电子传递所需要的质体醌(plastoquinone)和生育酚(tocopherol)。HPPD抑制剂的作用结果是引起植物体内质体醌和生育酚减少,植物出现失绿、褪色症状,组织坏死,最终植物在2周内死亡。
环磺酮主要用于玉米,对众多一年生禾本科杂草和阔叶杂草高效,此外,其对一些抗性杂草也具有防除效果;与同类品种硝磺草酮相比,环磺酮活性更高,更耐雨水冲刷,且防治适期更长。
为了延缓其抗性产生,拜耳将其与多个品种复配,其中,环磺酮与噻酮磺隆的复配尤为成功。目前,环磺酮已在美国、欧洲、拉美等多个国家和地区上市,取得令人瞩目的成绩。
自2007年上市以来,环磺酮总体保持高速增长态势,2009-2014年复合年增长率高达51.6%,远高于HPPD抑制剂类其他品种;2015年,其全球销售额为2.3亿美元,同比略有下降。
2015年,环磺酮在玉米田除草剂中排第7位,在HPPD抑制剂类除草剂中排第2位;2019年,根据Kleffmann数据统计,环磺酮全球销售额为1.84亿美元,基本与硝磺草酮等三酮类除草剂处于类似的发展步调。
1. 市场概况
环磺酮自2007年上市以来,受到市场的欢迎,销售额一路攀升。2014年环磺酮全球销售额达2.4亿美元;2015年受全球农药市场的影响,其销售额略有下降,2010-2015年复合年增长率为19.3%;2016年,其全球市场继续下行,销售额下降至2.1亿美元。环磺酮是拜耳十大畅销产品之一,其销售额见表1。
在环磺酮的地区市场中,拉丁美洲市场地位最为重要,其后依次为欧洲、北美自由贸易区(NAFTA)。2016年,环磺酮在拉丁美洲的销售额为0.97亿美元,较上年上升26.0%,占总市场的46.2%;在欧洲和NAFTA的销售额分别为0.46亿美元、0.26亿美元,其中NAFTA地区销售额与上年相比降幅显著。
2016年环磺酮在巴西销售额最高,为0.96亿美元,占总市场的45.7%;在美国销售额居第二,为0.22亿美元,与2015年相比,销售额下降57.7%,这也是2016年环磺酮全球市场下降的主要原因;在匈牙利销售额居第三。
根据Kleffmann统计,2017-2019年,环磺酮的销售情况如表2所示。
从销售情况中可以看出,环磺酮的均价在最近三年中变化很大,销售量变化也较大,有相当规模的体量增长。从各国环磺酮销售数据来看,主要市场国家美国、巴西、墨西哥等国的销售量历年保持稳定,且价格随其他三酮类玉米除草剂的价格呈现同幅度波动;但2018年以来,环磺酮在小众作物上的应用得到了巨大提升,2019年小众作物上的制剂折百分布从2018年的90余吨提升到约360吨(小作物上的销售量分布已达到环磺酮总量的30%左右)。
这体现了环磺酮作为除草剂在玉米之外作物上的推广潜力,但拜耳在小众作物上的积极推广,不利于仿制企业在同类作物上开发仿制产品,也进一步提高了拜耳在专利上的壁垒。
2. 环磺酮主要国家和地区的销售额
根据Kleffmann数据库显示,环磺酮2017-2019年全球分国家分作物销售额情况详见表3(统计国家销售额中超过50万美元销售额的市场)。

目前环磺酮的销售区域主要为以下地区:
(1)拉美市场。拉美是环磺酮最重要的市场之一,市场份额占全球的约25%,主要作物为巴西和墨西哥的玉米,销售额为0.42亿美元。近年来由于成本原因,巴西环磺酮销售额有所下降,墨西哥基本稳定。
(2)北美市场。北美是环磺酮第二个重要的销售市场,市场份额占全球市场的25%,主要作物为玉米,销售国家为美国,3年来销售额、销售量、价格均保持稳定。
(3)欧洲市场。欧洲匈牙利、德国、法国、保加利亚等14个国家是环磺酮目前最主要的销售市场,市场份额占全球市场的约40%,主要作物为玉米;在罗马尼亚,环磺酮在向日葵上有少量应用,销售额约为0.5亿美元。特别是在东欧国家,如罗马尼亚和保加利亚,环磺酮的增长较为迅速。
(4)印度市场。近年来印度市场环磺酮常年保持在2000万美元以上的销售额,占全球市场的10%。(印度环磺酮为美国拜耳进口原药至印度,当地进行制剂加工;采购季节集中在每年4-7月。)
3. 环磺酮在主要作物上的销售额
从作物分布来看,环磺酮目前全球市场主要使用领域为玉米,销售额为1.62亿美元;2017年以来,小众作物上的销售持续增加,环磺酮在非作物上销售额可观,销售额高达0.43亿美元,目前已占到环磺酮全球销售额的30%左右。
目前环磺酮销售基本还是活跃在玉米作物上,但由于硝磺草酮的竞争,目前玉米上的增长非常有限,基本处在与硝磺草酮进行价格竞争的态势下。
小众作物虽然销售活跃,但所有制剂都为拜耳投放,仿制企业的参与度有限。
值得注意的是,几乎所有环磺酮制剂都需要配套相当于环磺酮质量比50%的双苯噁唑酸作为安全剂使用,此配套安全剂对于环磺酮开发企业来说需要特别关注。
另外,目前在美国和巴西市场,环磺酮制剂在牧草种植上的开拓非常活跃,未来需要重点关注此作物板块。(目前牧场除草剂相对产品单一,超过50%的销售在2,4-D+毒莠定制剂上。)
4. 近几年海外市场热点
对于国内企业来说,以下市场目前是登记与海外开拓较多关注的热点:
(1)欧盟原药等同登记。主要着眼于开发欧洲玉米田,与特丁津(目前唯一可以使用的三嗪类除草剂)进行配套使用。
(2)巴西。主要着眼于硝磺草酮的替代与竞争产品,目前拥有硝磺草酮登记的巴西企业,大都已提交或准备提交环磺酮的原药与制剂登记。
(3)印度。印度环磺酮为拜耳进口;印度当地企业希望获得中国进口原药登记,或基于中国的核心中间体和合成技术,在印度进行环磺酮的合成。
(4)土耳其。主要考虑基于土耳其当地制剂加工,由中国贸易企业提供原药,制剂完成加工后销往罗马尼亚、保加利亚等现有环磺酮市场。
以上市场方向,国内企业需要加以关注。
5. 市场中的主要参与者及进口商
目前,磺草酮市场中主要生产商为拜耳,拜耳的环磺酮原药合成工厂在美国境内。除拜耳外,国内主要的环磺酮企业有以下这些:
(1)安徽久易。主要立足于自主研发环磺酮合成技术,目前产能500吨,基于拜耳2023年新采购合约,有计划将产能扩展至700吨。但安徽久易仅考虑原药布局,目前并没有投入制剂海外开发和登记动向。
(2)泰禾。基于泰禾江西天宇工厂,泰禾对环磺酮进行了较为系统的开发,根据目前掌握的信息,江西天宇第一期产能为300吨。由于泰禾目前在南美2,4-D的作物应用与客户关系上有较大资源优势,因此考虑环磺酮作为其2,4-D相关作物方案的补充产品。
(3)中山化工设计产能500吨,张掖大弓设计产能300吨。这2家企业主要考量点是为其现有硝磺草酮提供补充方案,一旦客户硝磺草酮采购量下降,则可以通过环磺酮进行补充。但以上企业目前均未实现成熟的量产技术,尚无原药产品出口。
目前没有观察到印度企业参与环磺酮合成、代工相关业务,但是考虑到印度的环磺酮市场与其代工业务现状,未来出现印度环磺酮合成企业的可能性较大,需要加以关注。
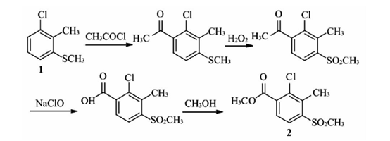
以3-氯-2-甲基苯胺为原料,合成环磺酮,反应方程式如下:
(1)3-氯-2-甲基苯甲硫醚(中间体1)合成路线
起始原料3-氯-2-甲基苯胺首先与亚硝酸钠反应,制得的重氮盐产物,再与二甲基二硫醚反应得到3-氯-2-甲基苯甲硫醚(中间体1)。
(2)2-氯-3-甲基-4-甲磺酰基苯甲酸甲酯(中间体2)合成路线
中间体1与乙酰氯经傅克反应,制得2-氯-3-甲基-4-甲硫基苯乙酮,后与双氧水及次氯酸钠溶液反应,得到2-氯-3-甲基-4-甲磺酰基苯甲酸,再经酯化反应制得中间体2。

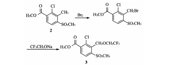
(3)[2-氯-4-甲磺酰基-3-(2,2,2-三氟乙氧基)甲基]苯甲酸甲酯(中间体3)合成路线
中间体2进行侧链溴化转化为溴甲基衍生物后,再与三氟乙醇钠进行取代反应,制得[2-氯-4-甲磺酰基-3-(2,2,2-三氟乙氧基)甲基]苯甲酸甲酯(中间体3)。

(4)环磺酮合成路线
中间体3经水解、酰氯化转化为相应的苯甲酰氯,再与1,3-环己二酮反应制得烯醇酯,最后在丙酮氰醇存在下进行重排反应制得目标产物环磺酮。
需要关注的是,环磺酮存在晶型专利ZL200880008536.6,发明名称为“2-[2-氯-4-甲基磺酰基-3-(2,2,2-三氟乙氧基甲基)苯甲酰基]环己烷-1,3-二酮的晶形”。虽然此专利已于2021年被泰禾子公司江西天宇宣告无效,但是海外环磺酮晶型专利依然有效,这对环磺酮的未来推广带来了阻碍。(可以比对杀菌剂中丙硫菌唑专利考虑。)
1999年9月9日,德国安万特作物科学公司(现拜耳公司)对环磺酮等化合物提出PCT申请,专利号为WO0021924;专利名称:苯甲酰基环己烷二酮的制法,及其作为除草剂与植物生长调节剂的用途(Benzoylcyclohexandiones, method for the production and use thereof as herbicides and plant growth regulators)。该申请获得阿根廷、奥地利、澳大利亚、保加利亚、巴西、加拿大、中国、德国、匈牙利、意大利、日本、韩国、墨西哥、俄罗斯、美国等多个国家和地区的专利授权。其欧洲专利(EP1117639)和中国专利(ZL99811954)将于2019年9月8日到期,其美国专利(US6376429)到期日为2019年10月7日,SPC专利保护到期时间为2021年。
除化合物专利外,环磺酮合成专利US6028035.Preparation of Substituted 4-Benzoylpyrazoles as Herbicides已于2020年1月22日到期。
值得注意的是,虽然中国环磺酮晶型专利已于2020年被国内江西天宇公司宣告无效,但是在美国、欧盟、巴西主要市场,该专利依然存在,且到期时间将推迟至2028年,这对环磺酮的整体海外推广非常不利。
2007年,环磺酮在奥地利首先取得登记并上市。产品中加入了安全剂双苯噁唑酸,商品名为Laudis®,用于防除玉米田禾本科杂草和阔叶杂草。
2008年环磺酮在巴西登记,2009年在葡萄牙登记,2010年在智利上市,2011年在希腊登记,2012年在意大利上市。
2007年,环磺酮原药及其产品获得美国登记;2010年,环磺酮与噻酮磺隆的复配产品Capreno在美国上市,其后在欧洲和拉美取得进一步登记;2016年,环磺酮与麦草畏复配剂DiFlexx Duo在美国上市,用于玉米。
2014年5月1日,环磺酮被列入欧盟农药登记条例(1107/2009)已登记有效成分名单,有效期至2024年4月30日。奥地利为其文件起草国,目前已在奥地利、比利时、保加利亚、捷克、德国、EL、西班牙、法国、克罗地亚、匈牙利、意大利、卢森堡、荷兰、波兰、罗马尼亚、斯洛文尼亚、斯洛伐克、英国等取得登记。其在美国、加拿大、法国的登记产品详见表4-6。



在欧盟,硝磺草酮与环磺酮存在玉米作物上的同区位竞争,而先正达硝磺草酮主要合成地点为瑞士,受欧盟2022年暴发的能源危机成本上升压力较大。拜耳环磺酮合成地点为美国,在2022年出现了相对的成本优势;同时拜耳通过与安徽久易签订长约供货协议,进一步巩固了供应链安全。且环磺酮与硝磺草酮的采购季节非常集中,从这个角度来看,在2023年跨国公司层面的推广中,环磺酮会出现供货稳定性与成本的优势。
但国内的硝磺草酮受2022年价格下跌严重影响且出现工厂滞销,在仿制产品层面,价格下跌几乎是必然的;而环磺酮成本又远高于硝磺草酮,因此在仿制产品层面,环磺酮缺乏相对于硝磺草酮的优势。
未来还需要关注环磺酮在印度本土的登记与代加工机会,目前印度已经是全球第三大环磺酮单一推广市场。
小众作物的除草,尤其是牧场除草剂方面,需要关注环磺酮的动态,尤其是巴西企业原药登记与制剂投放的动态,这是目前仿制企业较为活跃,且竞争压力较小的领域。
整体而言,环磺酮未来销售额应当趋于稳定,不会出现大幅增长。对于仿制企业而言,由于硝磺草酮的价格竞争、安全剂配套、制剂多样性相关的知识产权风险、晶型专利等阻碍,环磺酮的推广存在一定难度;相对于自主登记与推广,与欧盟、美国、巴西、印度的当地大客户合作开发相对较为稳妥。