炔草酯是瑞士先正达作物保护有限公司开发的一种乙酰辅酶A羧化酶(ACCase)抑制类除草剂,商品名为Topic、Celio。为小麦田禾本科杂草高效、低毒的茎叶除草剂。
炔草酯通用名为clodinafop-propargyl,化学名:(R)-2-[4-(5-3-氟-2-吡啶氧基)苯氧基]丙酸炔丙基酯。CAS登录号为[105512-06-9],结构式如下:

炔草酯是一种芳氧苯氧基丙酸脂类(AOPP)内吸传导性除草剂, 作用于植物乙酰辅酶A羧化酶来抑制脂肪酸的合成,从而破坏细胞生长分裂和膜系统,导致植物死亡。
炔草酯主要通过杂草叶部组织吸收,通过木质部由上向下传导,并在分生组织中累计,高温、高湿条件下可以加速传导速度,低温条件下药效稳定,即使在下雪天也能施用,只要施药后 1 周左右不出现强降温低温霜冻天气,一般不会对小麦造成太大的不良影响。
大鼠急性口LD50 1829 mg/kg,大鼠急性吸入 LD50>2000 mg/kg,大鼠急性吸入LC50(4小时)> 2325 mg/m3,对兔皮肤、眼晴匀无刺激作用。
炔草酯在土壤中迅速降解,在土壤中基本无活性,对后茬作物无影响。
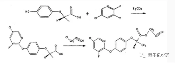
炔草酯的合成方法大致有两种:第一种是以(R)-2-(4-羟基苯氧基)丙酸、5-氯-2,3一二氟吡啶及3-氯丙炔为主要原料,采用“一锅煮”的工艺完成反应,反应式如图1。
主要过程如下:将(R)-2-(4-羟基苯氧基)丙酸溶于DMF中,于70℃加入K2C03粉末,搅拌反应1~2h,然后再加入适量K2C03并缓慢滴加5-氯-2,3一二氟吡啶,反应4小时后,加入3-氯丙炔的甲苯溶液进行酷化反应。反应结束后将产物过滤、洗涤、旋转蒸发,粗产品经乙醇/水溶液洗涤析晶得炔草醋,产率为80-85%。

图1 合成路线1
该合成工艺的显著优点是无需更换溶剂,在一个反应器中直接完成所有反应过程,有利于降低设备投资成本,避免复杂的分离与蒸馏步骤,节省时间,并且产物的纯度和产量都相对较高,易于为工业生产采用。
第二种是以5-氯-2,3-二氟吡啶、对苯二酚、S-(-)一对甲苯磺酰乳酸甲酯和丙炔醇做主要原料,分五步反应合成炔草酸,反应步骤见图2。

图2为合成路线2
该路线的优点是各反应步骤的条件都比较温和,且产物纯度、产率都相对较高。该法的缺点是每一步反应产物都要经过提纯处理才能为下步反应所用,这就给反应增加了难度,而且整体上增长了反应时间,反应过程繁杂,生产效率降低,不易实现工业生产。
含有安全剂解毒喹(Cloquintocet-mexyl)的制剂登记用于防除小麦田多数禾本科杂草,尤其是防治小麦田的黑麦草(Lolium persicum)、看麦娘(Alopecurus aequalis)、野燕麦(Avena fatua)、硬草(Sclerochloa kengiana)、稗草(Echinochioa crusgalli)等。
截止到2020年12月3日,我国登记的炔草酯产品共有199个,其中原药登记24个,单剂135个,复配制剂40个。原药含量有95%,96%,97%和98%。单剂产品的主要剂型有微乳剂、水乳剂、乳油、可湿性粉剂、可分散油悬浮剂。
今年新获登记有5个分别是:18%炔草酯·双氟·唑草酮微乳剂(PD PD20200771,海利尔药业),20%唑啉·炔草酯乳油(PD20200424,英国捷利诺华),10%唑啉·炔草酯乳油(PD20200414,安徽众邦;PD20200404,安徽圣丰),12%二磺·炔草酯·唑草酮乳油(PD20200089,海利尔药业)
众多田间药效试验表明,炔草酯制剂适用于冬小麦和春小麦田除草,对小麦高度安全,无药害现象发生。为避免产生药害,在小麦田施用时,应根据小麦品种,选择对其耐药性高的品种。农业生产管理中还应注意小麦的播种方式,避免种子裸播,并且不要盲目混用除草剂及生长激素调节剂,可与异丙隆、苯磺隆、精恶唑禾草灵、唑草酮、唑啉草酯等混用。
只有这样,才能确保农田杂草的治理效果,保护生产作物免受伤害,以及延长优秀除草剂品种的使用寿命。
麦田草害尤其是禾本科草害一直以来都是影响小麦生产的重要障碍,炔草酯在防除小麦禾本科杂草上发挥了重要作用。由于其独特的作用机理不易产生交互抗性,且对其他恶性杂草也具有良好的防效,该产品在农业生产中具有更广阔的的应用前景。
参考文献
1. https://www.chemicalbook.com/
2. Alexander S L, Treatment with herbicide TOPIK induces oxidative stress in cereal leaves. Pesticide biochemical and physiology,2013
3. 钱兰娟,炔草酯除草剂对小麦安全性的研究 扬州大学
来源:磊子侃农药