双唑草腈(pyraclonil)作为水稻田除草剂,最初系德国先令公司(现为拜耳公司)发现的具有吡唑并吡啶环的新颖结构化合物,并于1992年10月12日申请专利(WO9408999)。双唑草腈为原卟啉原氧化酶(PPO)抑制剂,是一种触杀型除草剂,通过植物神经中原卟啉原氧化酶积聚发挥药效作用,能有效抑制各类杂草、稗草、阔叶杂草和莎草以及耐磺酰脲类除草剂的杂草。用于水稻田对稗草和同时发生的一年生具芒碎米莎草科萤蔺、牛毛毡,阔叶杂草车前状雨久花、陌上菜,以及多年的野慈菇、荸荠等杂草有很高的活性。

2002年该药剂由拜耳公司转让给日本八洲化学工业公司在日本进行开发和应用研究,于2007年在日本取得登记,2008年其单剂及混剂在日本进行商品化,2009年在全球多个国家上市。之后,包括三井化学、SDS生物、日本农药、住友化学、日产化学和石原产业等6家日本公司参与双唑草腈的混配制剂研究。
2010年其销售市场低于0.10亿美元,至2011年该除草剂的销售额达0.80亿美元。2013年其在日本耕种面积达159.7万hm2的水稻田应用面积比为38.4%,达61.3万hm2,为杀稗草除草剂位居首位。2014年全球销售额为0.90亿美元,位列当年PPO抑制剂的除草剂品种的第5位。
2016年9月湖北相和精密化学有限公司在国内首先获得农业部检定所双唑草腈的临时登记,用于防治水稻田一年生杂草,并于2017年在国内上市。2018年4月22日该公司正式转为正式登记了97%双唑草腈原药和2%双唑草腈颗粒剂,商品名稻田盛夫TM,从而开启了在国内水稻田应用的新市场。
双唑草腈为原卟啉原氧化酶(PPO)抑制剂,在植物、动物、细菌和真菌中都含有原卟啉原氧化酶,它在分子氧的条件下能催化原卟啉原IX生成原卟啉IX;原卟啉原氧化酶是四吡咯生物合成中最后一个普通酶,主要合成亚铁血红素和叶绿素。在植物体内,原卟啉原氧化酶分别位于线粒体和叶绿体中。原卟啉原氧化酶是触杀性除草剂,主要通过抑制植物色素合成达到除草目的,在土壤的残留期短,对后茬作物无药害。
双唑草腈施药后可以抑制原卟啉原氧化酶的活性,会导致原卟啉原IX的积累,之后从叶绿体进入到细胞质,迅速氧化为原卟啉IX,由于原卟啉IX不能与叶绿体和线粒体中的Mg和Fe的螯合物相互作用,所以它不能在叶绿素和血红素合成途径中发挥作用;光和氧的作用下,原卟啉IX产生单线态氧,加速细胞膜的每一次氧化,最终导致致命的细胞损伤。
双唑草腈在水稻与杂草之间有不同的选择性(没有明显选择性,将导致有效除草剂不能商品化),此选择性与两者对药剂的吸收量,药剂在两者的渗透性、代谢和分解能力、作用点及反应强度不同等因素有关。双唑草腈通过杂草根部和叶基部位吸收药剂,致使植物神经中原卟啉原氧化酶积聚发挥药效作用。药剂处理后的杂草会出现叶片卷曲、黄花、枯萎等症状,随后杂草因干枯而死亡。
一般在水稻田稗草发生初期用双唑草腈进行处理可有效进行防除,同时对多种一年生杂草和多年生杂草也有效。此外,该除草剂对一些对磺酰脲类除草剂具抗性的杂草也有很好的效果。其应用特性为:
(1)杀草谱广,防效好
据日本八洲化学工业公司1999—2007年试验所得到的双唑草腈杀草谱如下:试验条件,室内、灌水、无渗水;处理时间,杂草发生始期;用药量200 g a.i./hm2;处理后28~60d调查。对防除一年生杂草,如凹头苋、稗子、鸭舌草、陌上菜类、节节草、沟繁缕、萤蔺、紫水苋菜、鳢肠、狼把草、田皂角等防效均在90%~100%。防除多年生杂草如水莎草、眼子菜、荸荠等防效均在80%~90%,防除扁杆藨草、矮慈姑、野慈姑等防效均在90%~100%,防除日本藨草和假稻防效在60%~70%,防除稻状秕壳草和双穗雀稗防效在70%~80%。对磺酰脲类抗性杂草,如萤蔺、鸭舌草、陌上菜、雨久花、存疑母草、狭叶母草、白花水八角、窄叶泽泻,其他类:青苹等防效在90%~100%。
(2)对野慈姑有特效
药剂对水层以下或10cm左右的野慈姑的球茎、植株有很好的防效,继续使用可以减少野慈姑发生的基数。
(3)杀草作用迅速
双唑草腈属于PPO抑制剂,通过杂草根部和叶基部位吸收药剂,致使植物神经中原卟啉原氧化酶积聚发挥药效作用。一般药剂处理后3~7d,杂草即呈现枯萎症状,随后因干枯在10~14d内死亡。
(4)使用方便
双唑草腈主要剂型产品为颗粒剂,可直接在田间撤施,使用方便,且省工省力。
(5)安全性高
水稻田插秧返青后即可使用,对水稻十分安全。且对种植后茬作物如小麦、油菜和小白菜安全。
(6)复配和混用可提高杀草药效
如当与苄草隆、双环磺草酮、丙嗪嘧磺隆、吡草酮、吡唑特、呋喃磺草酮、噁嗪草酮、溴丁酰草胺、苄嘧磺隆等复配的二元或三元甚至四元产品,可扩大防除谱,同时提高药效。在稗草大量发生时,与丙草胺、丁草胺、苯噻酰草胺等混用可提高杀草效果。
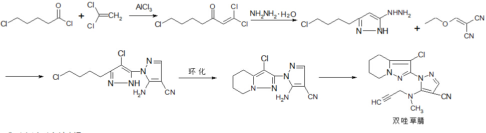
(1)以5-氯戊酰氯和1,1-二氯乙烯为起始原料,经氯化、吡唑环化、环化等反应即可制得双唑草腈。反应式如下:
或者可由以下反应式制得:

葛发祥研究了如下合成工艺路线,以5-氯戊酰氯和1,1-二氯乙烯为起始原料首先通过加成反应制得1,1,7-三氯-1庚烯-3-酮(产率93.8%,沸点125℃/40Pa)。然后滴加水合肼反应后,加入氢氧化钾的合成(加成环合、取代)得到2-肼基-4,5,6,7-四氢吡唑并[1,5-a]吡啶(黄色油状物,产率35.6%)。该产物采用适当方法将氨基保护,然后与乙氧基亚甲基丙二腈进行加成环合反应得到5-氨基-1-(4,5,6,7-四氢吡唑并[1,5-A]吡啶-2-基)-1H-吡唑-4-甲腈(产率91%)。然后该产物溶解在二氯甲烷中用磺酰氯进行氯化反应,得到5-氨基-1-(3-氯-4,5,6,7-四氢吡唑并[1,5-A]吡啶-2-基)-1H-吡唑-4-甲腈(密度1.66,产率99.8%)。该产物在四氢呋喃中悬浮液先后滴加氯丙炔和碘甲烷,进行氨烷基化反应得到最终产物双唑草腈(产率90%)。结论为试验工艺路线可行,各步反应可以进一步优化,以降低成本,提高产品竞争力。
(2)以2-氰基亚甲基吡喃、水合肼及丙二腈为起始原料,用以下方法合成双唑草腈。反应式如下:

双唑草腈的结构式如下:
双唑草腈原药为白色固体,熔点93.1~94.6℃,沸点263℃附近分解,闪点283.916℃,密度1.325 g/cm3,蒸气压(25℃)1.9×10-7Pa,辛醇-水分配系数(20℃,pH7)1.61,土壤吸附系数Koc(25℃)161~362。
水中溶解度(20℃):50.1mg/L,有机溶剂中溶解度(20℃):甲醇102g/L,乙酸丁酯158g/L,丙酮和三氯甲烷均>500g/L。稳定性:避光常温贮存条件下稳定,在pH5.0~9.0时不发生水解。光解不稳定。
双唑草腈对人畜及鱼贝类十分安全,蒸气压低,在水田土壤中半衰期为6d,故对环境安全。双唑草腈对雄性大鼠急性经口LD50为4979 mg/kg,对雌性大鼠急性经口LD50为1127 mg/kg;对雌、雄大鼠急性经皮毒性LD50>2000 mg/kg。对鲤鱼LC50>28 mg/L(96 h),对大型溞蚤EC50为16.3mg/L(48 h),对水生生物十分安全。
双唑草腈的剂型主要有1.8%和2%颗粒剂(GR)及1.8%双唑草腈水分散粒剂(WG)和可湿粉剂外,还研发了分别与磺酰脲类、吡唑特、溴丁酰草胺和双环磺草酮等多种除草剂的混配制剂,以充分发挥双唑草腈更多、更大的作用。
国外双唑草腈的配伍产品有双环磺草酮(商品名Sunshine®)、呋喃磺草酮(tefuryltrione)(商品名Get-Star®)、呋喃磺草酮(tefuryltrione)+嗪吡嘧磺隆(商品名Comet®)、杀草隆+嗪吡嘧磺隆(商品名Ginga®)、吡嘧磺隆+噁嗪草酮+双环磺草酮(商品名SiriusExa®)、苄嘧磺隆+溴丁酰草胺+杀草隆(商品名IpponD®)等。
在日本,双唑草腈登记和开发用于水稻田防除一年生杂草的单剂产品有:1.8%双唑草腈粒剂和3.8%双唑草腈水和剂(即WP)。
二元复配产品有:23.6%苄草隆·双唑草腈(20%+3.6%)水和剂(WP),5.1%双唑草腈·丙嗪嘧磺隆(3.4%+1.7%)水和剂(WP);13.8%苄草隆·双唑草腈(12%+1.8%)粒剂,13.3%双唑草腈·双环磺草酮(6.6%+6.7%)粒剂,4%双唑草腈·双环磺草酮(2%+2%)粒剂,7.25%双唑草腈·丙嗪嘧磺隆(5%+2.25%)。
三元复配产品有:22.3%双环磺草酮·双唑草腈·吡草酮(4%+3.8%+14.5%)水和剂(WP),36%溴丁酰草胺·双唑草腈·苄嘧磺隆(18%+4%+14%)水和剂(WP),13.3%双唑草腈·呋喃磺草酮·噁嗪草酮(3.8%+5.7%+3.8%)水和剂(WP);8%双环磺草酮·双唑草腈· 吡草酮(2%+2%+4%)粒剂,14%双唑草腈·吡唑特·双环磺草酮(2%+10%+2%)粒剂,11.75%溴丁酰草胺·双唑草腈·苄嘧磺隆(9%+2%+0.75%)粒剂;13.3%双唑草腈·呋喃磺草酮·噁嗪草酮(3.8%+5.7%+3.8%)水剂。
四元复配产品为双唑草腈·吡嘧磺隆·丁草胺·双环磺草酮(2%+0.3%+7.5%+2%)粒剂。
双唑草腈加工的主要单剂产品如上所说,主要为颗粒剂(GR)、水和剂(WP)和水分散粒剂(WG),且含量都以低含量为主。据其理化性质,按理说还可以加工安全环保的悬浮剂,但未有这方面报道。
但目前已有加工安全环保的水乳剂报道,如国内李彦飞等研制了6%双唑草腈水乳剂(EW)。为了溶解双唑草腈原药,通过试验选择了重芳烃溶剂(S-200溶剂油)为主溶剂,辅以亲水性溶剂(环己酮)的混合溶剂(10%+25%)体系为最佳溶剂。再通过乳化剂、防冻剂、增稠剂、防腐剂的选择,最终确定6%双唑草腈水乳剂最佳配方为:双唑草腈(含量97%)6%(折百)、EL-40 3.0%、SoprophorSC(索尔维公司产品) 2.0%、溶剂油S-200 25%、环己酮10%、黄原胶0.16%、卡松0.16%、尿素5.0%、SAG1522 0.2%、去离子水补足至100.00%。
对配方样品进行了指标检测,结果为:6%双唑草腈水乳剂外观为可流动白色稳定液体,双唑草腈含量为6.22%,pH为6.84,乳液稳定性(稀释200倍)为合格,泡沫持久性/mL(1min后≤18),倾倒性:倾倒后残余物≤3.12%,洗涤后残余物≤0.28%,热贮和冷贮稳定性均合格,该产品配方的各项指标均满足水乳剂的标准要求。
同时利用德国KRUSS光学接触角测量仪DSA-100测定稀释液的静态表面张力(20℃),稀释倍数分别为3750、3000、2000的静态表面张力分别为44.81、43.60、35.78mN/m。
(1)马国兰等研究表明:双唑草腈对水稻田禾本科杂草稗草、阔叶杂草鸭舌草均有很好的除草活性。在室内试验中,该药剂对稻田稗草和鸭舌草的ED50分别为11.50g/hm2和8.22g/hm2,均高于对照药剂丙草胺对稻田稗草和鸭舌草的活性;双唑草腈在3种水稻和稗草之间的选择性指数分别为4.15、3.44和3.73,高于对照药剂丙草胺。田间试验结果显示:2014年田间试验,1.8%双唑草腈颗粒剂108 g/hm2处理20d后对鸭舌草防效稍差(91.8%)外,1.8%双唑草腈颗粒剂162、216和324 g/hm2处理,对稗草、鸭舌草、节节草及异型莎草的株防效均在98%以上。药后40d对稗草、鸭舌草、节节草及异型莎草的株防效均为100%,表现出优异特性。
2015年田间试验,1.8%双唑草腈颗粒剂162、216和324g/hm2处理,在药后20d对稗草、鸭舌草、节节草及异型莎草的株防效均为100%。与对照药剂80%丙炔噁草酮可湿性粉剂和50%丙草胺乳油的防效差异不显著。药后40d,1.8%双唑草腈颗粒剂162、216和324g/hm2处理对稗草、鸭舌草、节节草及异型莎草的防效仍在99%以上,表现出较好的持效性。
采用1.8%双唑草腈颗粒剂162、216和324g/hm2处理后,试验过程中各处理的水稻生长一致,未出现变色(包括褪绿、黄花、白化、锈斑等)、萎缩及畸形等症状。各处理下3种后茬作物为小麦、油菜和小白菜植株出苗整齐,出苗期一致,叶色,长势均正常,未观察到药害症状。因此,双唑草腈对水稻以及三种主要后茬作物小麦、油菜和小白菜是安全的。
(2)徐蓬等通过田间小区试验,验证了2%双唑草腈颗粒剂(GR)对机插秧稻田杂草的防效及对水稻的安全性。试验结果表明:机插秧水稻移栽后12 d,2%双唑草腈GR 600g/667 m2及其以上剂量,撒施处理对机插秧田稗属杂草、千金子、鸭舌草、耳叶水苋、鳢肠、异型莎草等杂草的株数防效和鲜重质量防效优于机插秧稻田常规2次封闭施药处理(移栽前3d,50%苯噻·苄WP 70 g/667 m2毒土撒施+移栽后12d 50%丙·苄WP 80g/667 m2毒土撒施),且对水稻安全。水稻移栽后12d2%双唑草腈GR 600 g/667 m2撒施处理1次用药,可有效控制机插秧稻田稗属杂草、千金子、鸭舌草、耳叶水苋、鳢肠、异型莎草等杂草,具有节约成本和减少药量的综合效益,且对水稻安全,在机插秧稻田的推广应用前景广阔。
(3)徐蓬通过室内生测研究了双唑草腈对稻田主要杂草的生物活性及对不同类型水稻的安全性;田间小区试验、示范验证其对机插秧稻田杂草的防效及对水稻的安全性,明确水稻田双唑草腈的应用技术。
研究结果如下:
1)双唑草腈的除草活性及对水稻安全性,采用室内整株生测法测定了双唑草腈除草活性及对不同类型水稻的安全性。双唑草腈有效成分150~195 g a.i/hm2处理后3d,杂草表现出叶片干枯、黄化、僵苗等中毒症状,见效速度明显快于对照药剂五氟磺草胺。药后18d,对0叶期、1叶期和2叶期稻田常见杂草稗、耳叶水苋、鸭舌草、雨久花、野慈姑和异型莎草的鲜重抑制率均高于92%,对0叶期和1叶期稻稗的鲜重抑制率高于85%。直播水稻播后苗前、1叶期和2叶期施用双唑草腈48.6~291.6 g a.i/hm2,“玉珍香”(籼稻)表现较敏感,对“玉珍香”(籼稻)不安全;播后苗前或1叶期施用,双唑草腈在水稻[‘南粳9108'(粳稻)、‘K两优10'(杂交稻)]和稗间的选择性指数均大于4,对“南粳9108”和“K两优10”水稻安全。在移栽水稻4叶期和6叶期施用双唑草腈在[“南粳9108”、“K两优10”和“玉珍香”]和稗间的选择性指数均高于4,对三种类型水稻都安全。
2)双唑草腈颗粒剂对机插秧稻田杂草防效及水稻安全性的田间小区试验以2%双唑草腈颗粒剂(GR)为供试药剂,田间小区试验验证双唑草腈对机插秧稻田杂草防效及水稻安全性。试验结果表明:机插秧水稻移栽后12d施药,处理45d后2%双唑草腈GR 180~360ga.i/hm2撒施处理对机插秧田稗属杂草、千金子、鳢肠、鸭舌草、耳叶水苋、异型莎草等杂草的株数和鲜重防效均高于91%,优于常规两次封闭施药处理(移栽前3d,50%苯噻·苄WP 525 ga.i/hm2毒土撒施,移栽后12d,50%丙·苄WP 525 ga.i/hm2毒土撒施),且对水稻安全。水稻移栽后12d,2%双唑草腈GR 180ga.i/hm2撒施处理一次用药可有效控制机插秧稻田稗属杂草、千金子、鳢肠、鸭舌草、耳叶水苋、异型莎草等杂草,对水稻安全。
3)双唑草腈颗粒剂对机插秧稻田杂草防效及水稻安全性的示范验证于2016年在苏州市张家港、无锡市宜兴、常州市金坛、南京市六合区、南通市如皋、扬州江都、泰州市兴化、泰州红旗农场、淮安市洪泽、淮安市涟水、盐城市方强农场、盐城市阜宁县、连云港市赣榆13个地区杂草危害比较严重的水稻机插秧田进行示范验证。试验结果表明:2%双唑草腈颗粒剂180 g a.i/hmm2对机插秧水稻安全,对稗属杂草、千金子、耳叶水苋、鸭舌草、异型莎草等杂草的防效均高于90%,在机插秧稻田的推广应用前景广阔。
(4)伏荣桃等为了筛选适宜四川地区水稻旱直播田的有效除草剂,试验选用了噁唑酰草胺、氯氟吡氧乙酸、氟吡磺隆、双唑草腈、苄嘧磺隆、丁草胺和丁·苄复配药剂进行了防除杂草的筛选试验;通过调查旱直播田杂草种类和数量,研究了这7种除草剂的除草效果。
试验结果表明:10%噁唑酰草胺乳油+20%氯氟吡氧乙酸乳油、1.8%双唑草腈水分散剂和35%丁·苄复配可湿性粉剂,在防除禾本科及阔叶类杂草总防效均较好;30d总杂草的株防效和鲜重防效都达到91%以上,且对水稻苗安全性好,可在四川地区水稻旱直播田推广应用。
(5)吴小美等为有效控制机插稻田杂草的发生与危害,选取1.8%双唑草腈颗粒剂、47%异隆·丙·氯吡可湿粉剂(灵旺)、35%丙炔噁草酮·丁草胺水乳剂、19%氟酮磺草胺悬浮剂、3%氯氟吡啶酯乳油(灵斯科)、16%吡嘧磺隆·丙草胺大粒剂(埂上抛)等高活性、广谱、低毒的除草剂进行7种组合除草效果试验。
试验结果表明:47%灵旺+1.8%双唑草腈颗粒剂和50%丙草胺乳油+1.8%双唑草腈颗粒剂组合2次用药(水稻移栽前3d和移栽后12d各用1次)除草效果最佳,移栽后30、45d总草防效均在99%以上。
(6)张月等通过大田试验测定了双唑草腈及其与苄嘧磺隆、五氟磺草胺和扑草净混用对双季水稻田杂草的防效,并评价了双唑草腈对水稻及后茬作物的安全性。
试验结果表明:2%双唑草腈颗粒剂(GR)对双季水稻田杂草具有良好的防治效果,210、315和420 g/hm2处理,药后30d和40d对禾本科杂草和阔叶类杂草的防效均在87%以上;低剂量140g/hm2处理,药后30d和40d对禾本科杂草和阔叶类杂草的防效均在75%以上。2%双唑草腈颗粒剂(GR)以140、210、315和420 g/hmm2处理对后茬作物小白菜、马铃薯、小麦、紫云英和冬季油菜生长安全。
2%双唑草腈颗粒剂(GR)以140、210 g/hm2分别与苄嘧磺隆或五氟磺草胺混用,药后30d和40d对禾本科杂草和阔叶类杂草的防效均在93%以上,显著优于2%双唑草腈颗粒剂(GR)相应浓度的单剂处理;其中2%双唑草腈颗粒剂(GR)210g/hmm2+10%苄嘧磺隆WP 30g/hmm2混用可以达到2%双唑草腈颗粒剂(GR)315g/hm2处理的防治效果,且对水稻生长安全。
单独施用50%扑草净WP 450g/hmm2对双季稻田禾本科杂草的防效较差,其与2%双唑草腈颗粒剂(GR)混用后防效显著提高,但对水稻生长有较强的抑制作用。综上结果,2%双唑草腈及其与苄嘧磺隆或五氟磺草胺混用对双季水稻安全,可在双季水稻田推广应用。
(7)李彦飞等研制6%双唑草腈水乳剂(见上文),并进行了药效试验,以验证其药效。试验在湖北省监利县植保站试验田,水稻品种为五优 308.水稻田杂草以稗子、鳢肠、萤蔺和水莎草为主,且杂草处于1~2叶期。对照药剂为100g/L双草醚悬浮剂和10%噁唑酰草胺乳油,以清水作物空白对照。试验结果见下表:
当6%双唑草腈EW的制剂用量在150~225 mL/hm2时,药后15 d和30 d,对稗子、鳢肠、萤蔺的防效均能达到90%以上,对水莎草的防效也达到85%以上。与对照药剂相比,该药剂用量低,防效突出,且对水稻安全,水稻叶色无明显发黄,各处理对株高和分蘖均无影响。
(8)张月等研究了双唑草腈在7种典型土壤中的淋溶行为,为该药的环境风险提供数据支持。方法是采用物理模拟人工降雨,结合高效液相色谱-串联质谱(HPLC-MS)检测土壤中双唑草腈残留量的分析方法。研究了双唑草腈在7种典型土壤中的淋溶行为,农药添加量为最高推荐用量的倍量,降雨量为200 mm/48 h。结果表明:经过3 d模拟人工降雨后,双唑草腈在7种土壤淋溶向下迁移特性顺序为紫土、棕壤、水稻土、褐土、黄壤、砖红壤、黑土。得到结论是:在黑土中施用双唑草腈,对地下水的污染风险较小;在砖红壤、褐土、水稻土和黄壤土中使用,对地下水存在潜在威胁;在紫土和棕壤中使用,将会对地下水的污染风险较大。
双唑草腈具有吡唑并吡啶环的新颖结构化合物,属原卟啉原氧化酶(PPO)抑制剂,即当植物体内原卟啉原氧化酶(PPO)活性被抑制后,原卟啉IX无法氧化生成,叶绿素合成受阻,从而导致植物死亡,能有效抑制各类禾本科杂草、阔叶杂草和一年生莎草以及耐磺酰脲类除草剂的杂草。
双唑草腈具有杀草谱广、作用迅速、使用方便、安全性高的特点;对水稻田稗草有很高的活性,在日本为杀稗草首选除草剂,复配或混用可扩大防治谱,同时提高杀草效果。可以深信,双唑草腈将会发展成为一个用于水稻田销售额超过1亿美元的大型除草剂品种。在国内双唑草腈目前已登记用于水稻田防除1年生杂草的效果较好,但产品主要以单剂为主,并有待开发更多的复配和混剂产品在水稻田中得到应用和提升市场,发展成为可选用的除草剂热门品种。
来源:现代农药