提示
×
取消
确定
当前位置:首页 > 新闻资讯
新型介离子嘧啶酮类杀虫剂三氟苯嘧啶,现已成为稻飞虱防治的新标杆
来源:农化专利网   发布时间:2023-12-28 09:39
简述
四、登记查询1. 中国登记信息:原药(96%)。2. 马来西亚登记信息:3. 越南登记信息:94%原药+复配制剂。4. 日本登记信息:单剂+复配制剂,共计22个。

图片

四、登记查询


1. 中国登记信息:原药(96%)。


图片


2. 马来西亚登记信息:


图片


3. 越南登记信息:94%原药+复配制剂。


图片


4. 日本登记信息:单剂+复配制剂,共计22个。


图片

图片


5. 加拿大登记信息:


图片

图片

五、专利信息


2009年,杜邦公司申请了关于三氟苯嘧啶的化合物专利,包括PCT专利、欧洲专利、美国专利、中国专利等,这些专利均将于2029年期满。其他相关专利信息如下图:


图片

六、合成路线简介


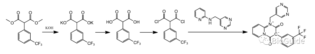
合成路线一:以间三氟甲基苯乙酸和2-氨基吡啶为起始原料。


图片


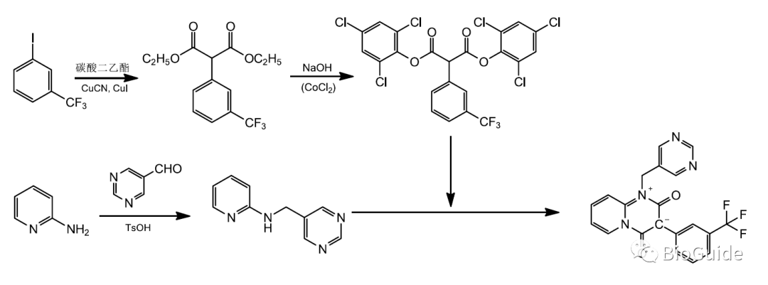
合成路线二:


图片


合成路线三:


图片

图片

文章来源BioGuide