啶氧菌酯(picoxystrobin)是由 Zeneca Agrochemicals(现为 Syngenta AG)公司开发的甲氧基丙烯酸酯类药剂,具有预防和治疗的功效,在某些作物中具有比嘧菌酯更好的治疗活性。
先正达首先于2001年在欧洲引入啶氧菌酯,商品名为Acanto,用于防治小麦、大麦和燕麦作物中的各种锈病、白粉病、烟灰霉菌等病害。CAS号:117428-22-5,英文名称:Picoxystrobin。

先正达在绝大多数欧洲市场登记了啶氧菌酯,但是,由于嘧菌酯影响了其市场定位,所以其市场潜能受到限制。2006年,该产品被杜邦收购,先正达从杜邦换取了杀虫剂氯虫苯甲酰胺的混配权。杜邦通过新增登记以及开发复配产品等来提升啶氧菌酯的销售业绩,尤其是与环丙唑醇的复配产品,用于防治大豆的亚洲大豆锈病。杜邦还从先正达公司获得了一项授权,将苯并烯氟菌唑与啶氧菌酯复配,用于巴西的大豆和其他作物。
啶氧菌酯的开发之初就是为了取代对嘧菌酯使用不理想的作物,其主要的市场压力也时来自于同门师兄弟嘧菌酯和肟菌酯等。而对于啶氧菌酯的田间实验也证明,啶氧菌酯相对于肟菌酯和醚菌酯,具有一定的谷类作物的增产作用。
啶氧菌酯是线粒体呼吸抑制剂,即通过在细胞色素b和C1间电子转移抑制线粒体的呼吸。防治对14-脱甲基化酶抑制剂、苯甲酰胺类、三羧酰胺类和苯并咪唑类产生抗性的菌株有效。
啶氧菌酯一旦被叶片吸收,就会在木质部中移动,随水流在运输系统中流动;它也在叶片表面的气相中流动并随着从气相中吸收进入叶片后又在木质部中流动。正是由于啶氧菌酯的内吸活性和熏蒸活性,因而施药后,有效成分能有效再分配及充分传递,因此啶氧菌酯比商品化的嘧菌酯和肟菌酯有更好的治疗活性。
啶氧菌酯为广谱杀菌剂,主要应用于小麦和大麦上的相关病害防治,可有效防治小麦上由壳针孢菌引起的叶枯病、颖枯病、褐锈病、黄斑病和白粉病,大麦上的网斑病、云斑病、褐锈病和白粉病,燕麦上的冠锈病和叶斑病,以及黑麦上的褐锈病和云斑病等,用药量通常为250g/hm2。其主要应用作物包括:果树、谷物等。
啶氧菌酯1988年2月9日申请中国专利,专利号为CN1020391B,专利已于2008年到期。
国内目前有11个原药登记:

目前有10个单剂登记,主要剂型为啶氧菌酯22.5%悬浮剂。
目前国内有12个复配登记,主要是与丙环唑,苯醚甲环唑复配,扩大的杀菌谱,增加药效。

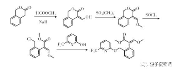
国外关于啶氧菌酯的合成文献报道主要有以下2条路线:
路线1:3-异色酮与氯化亚砜反应得到邻氯甲基苯乙酸甲酯,然后经醚化、酯缩合、甲基化反应得到啶氧菌酯。
路线2:3-异色酮经酯缩合、甲基化、开环、醚化反应得到啶氧菌酯。

欧盟委员会决定不再续登杀菌剂活性成分啶氧菌酯。欧盟成员国最迟于 2017年11月30日前撤回含有啶氧菌酯的产品,其设置的缓冲期已经于2018年11月30日到期。
据欧盟委员会介绍,他们在评估期间确定了以下有关啶氧菌酯的风险:不能排除其代谢物IN- H8612的致畸变和细胞遗传毒性风险;代谢物IN- QDY63对水生生物、蚯蚓以及以蚯蚓为食的哺乳动物具有高风险。此外,尚有一些风险是评估无法确定的。
相对于甲氧基丙烯酸酯类的嘧菌酯和吡唑醚菌酯,以及肟菌酯。啶氧菌酯并不具有显著的优势。更不用提甲氧基丙烯酸酯类杀菌剂或多或少都有的增产效果。由于其水生生物风险和环境风险是其市场发展的主要限制因素。