环虫腈(dicyclanil)是1987年由汽巴嘉基公司研发的新型氰基嘧啶类杀虫剂,最早的环虫腈被作为兽药开发用于家蝇、蚊子和跳蚤的幼虫防治,所以环虫腈还有一个更令人熟知的名字—地昔尼尔。从结构上看,环虫腈可看作是在灭蝇胺的基础上通过对中心环的修饰得到的,灭蝇胺的中心环是均三嗪结构,而环虫腈的中心环是嘧啶环,这一改变使得环虫腈的活性比灭蝇胺更高,同样作为昆虫生长调节剂环虫腈不能直接杀死害虫,但进入虫体后,可减少害虫产卵量或降低孵化率,阻止幼化蛹及变成成虫,或在昆虫生长发育过程中通过使几丁质在昆虫外骨骼中的位置发生混乱,从而导致昆虫外骨骼不能完整形成,导致昆虫殒命。研究表明环虫腈不但对于双翅目幼虫有特效,而且对于部分鳞翅目(夜蛾、二化螟、棉铃虫)、鞘翅目(跳甲)、半翅目(稻飞虱、蚜虫、粉虱)、缨翅目(蓟马)等害虫也有增效作用。同时也被用于家庭卫生防治苍蝇、蚊子等害虫。

英文名称:dicyclanil
中文名称:环虫腈
其他名称:地昔尼尔、丙虫啶
化学名称:4,6-二氨基-2-(环丙氨基)嘧啶-5-腈
分子式:C8 H10 N6
相对分子质量:190.205
CAS登录号:112636-83-6
结构式:

三维结构式:
理化性质:原药为白色微结晶粉末,沸点:543.6±60.0°C、密度:1.44±0.1 g/cm3、溶解度:DMSO: 38 mg/mL (199.78 mM);Ethanol: 2 mg/mL (10.51 mM)、酸度系数:(pKa)4.09±0.50
环虫腈属于几丁质抑制剂(也叫二氢叶酸酯还原酶的抑制剂)通过改变几丁质在表皮的沉着而发挥杀虫作用。
应用作物:棉花、玉米、水稻、蔬菜、果树、蘑菇
靶标害虫:潜叶蝇、蚊、甜菜夜蛾、小菜蛾、斜纹夜蛾、金纹细蛾、二化螟、三化螟、稻飞虱、稻纵卷叶螟、棉铃虫、红铃虫、盲蝽、食心虫、蚜虫、跳甲、蓟马、粉虱、介壳虫等
开发剂型:10%环虫腈SC、20%环虫腈SC
1987年汽巴嘉基公司在中国、美国等全球26个国家和地区申请了基于环虫啶在内的嘧啶类化合物专利
专利名称:取代的嘧啶类化合物
申请号:CN87103168.X
申请日:1987/04/29
失效日:1992/08/19
公开号:CN87103168A
摘要:本发明所涉及的是式(Ⅰ)的新化合物及其盐,其制备方法及有关各中间体的制法,以及可用于防治昆虫及蜱螨目中有代表性的害虫,尤其是危害植物的食草昆虫及危害动物的体外寄生虫的含有这些化合物的组合物.式Ⅰ中各符号的含义见说明书。

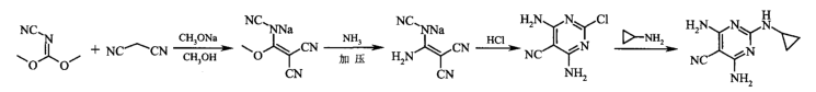
路线一:汽巴嘉基公司在专利EP0711285中描述了以(N-氰亚氨基)碳酸二甲酯为起始原料,通过缩合、氨化、环合、取代得到环虫腈,合成路线如下:

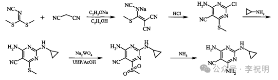
路线二:以2-氰基-3-氰氨基-3-甲硫基丙烯腈为起始原料,通过环合、取代、氨化得到最终产物环虫腈,合成路线如下:[1]张梅.新杀虫剂丙虫啶的合成与应用[J].世界农药, 2000, 22(1):2.DOI:CNKI:SUN:NYSJ.0.2000-01-009.

路线三:目前工业化生产主要采用路线3,即以N-氰亚胺基-S,S-二硫代碳酸二甲酯为起始原料,通过缩合、环合、取代、氧化、氨化得到最终产物环虫腈。合成路线如下:[1]陆建国.地昔尼尔合成工艺的改进[J].安徽化工, 2014(3):37-38.DOI:10.3969/j.issn.1008-553X.2014.03.013.

路线四:以双氰胺钠、丙二腈、环丙胺等为起始原料,通过缩合、环合、取代3步反应得到目标产物,合成路线如下:[1]王学成,苏文杰,朱建民.昆虫生长调节剂环虫腈的合成研究[J].现代农药, 2015, 14(3):3.DOI:10.3969/j.issn.1671-5284.2015.03.009.

作为杀虫剂环虫腈可选择与氯虫苯甲酰胺、虫螨腈、茚虫威、甲萘威、杀虫单、虫酰肼、甲氧虫酰肼、呋喃虫酰肼、环虫酰肼、唑虫酰胺等增加对鳞翅目及双翅目害虫的防治,可选择与毒死蜱、氟啶虫酰胺、氟啶虫胺腈、烯啶虫胺、螺虫乙酯、乙虫腈、三氟苯嘧啶、吡蚜酮、吡丙醚等增加对半翅目害虫的防治。更可以和黑科技复配增加持效期。
目前环虫腈(地昔尼尔)主要商业应用集中在兽用领域,特别是预防绵羊的蝇蛆病。农业上并未进行商业化开发,未来向公共卫生领域(如蚊蝇幼虫控制)及高价值农作物害虫防治延伸是潜在的推广方向,如在百合科作物斑潜蝇、根蛆的防治和食用菌产业中菌蛆的防治中都是其开发方向。