描述了含有2-(2,4-二氯苯基)甲基-4,4-二甲基-3-异噁唑烷酮(2,4-DC)或2-(2,5-二氯苯基)甲基-4,4-二甲基-3-异噁唑烷酮(2,5-DC)的除草剂组合物。还公开了含有2,4-DC或2,5-DC以及第二除草剂的组合物,其中,组合没有同时含有2,4-DC和2,5-DC。也描述了使用该组合物的方法。
申请号:CN201580009820.X
申请日:2015.02.20
公开号(授权):CN106455569B
公开日期(授权):2022.12.09
申请人(授权):FMC有限公司
提供一种除草剂组合物,该组合物包含具有聚合物壳的微囊及含于其中的异噁草松和稳定剂,所述稳定剂含有脲。还提供了一种制备该组合物的方法,该方法包括以下步骤:提供包含异噁草松、脲、异氰酸酯及任选的ACD交联剂的与水不混溶相;提供含一种或多种表面活性剂的水相;将所述与水不混溶相与所述水相混合,形成与水不混溶相在水相中的分散体;由此形成含与水不混溶相液滴的聚脲微囊;及使微囊固化。
申请号:CN201510130067.1
申请日:2015.03.24
公开号(授权):CN104938500B
公开日期(授权):2022.01.18
申请人(授权):江苏龙灯化学有限公司
新的炔基-取代的3-苯基吡咯烷-2,4-二酮及其用作除草剂的用途
本发明涉及新的活性的式(I)的炔基取代的N-苯基吡咯烷-2,4-二酮或其农业化学上可接受的盐,其中X=C1-C4烷基、C1-C4卤代烷基或C3-C6环烷基,Y=C1-C4烷基或C3-C6环烷基,R1=氢、C1-C6烷基或C3-C6环烷基,R2=氢或甲基,R3= C1-C6烷基或C1-C6烷氧基C2-C6烷基,G=氢、可裂解基团L或阳离子E。
本发明还涉及包含通式(I)的化合物的除草剂组合物和本发明化合物用于防治经济作物栽培中的杂草和禾本科杂草的用途。
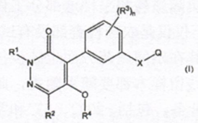
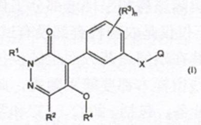
申请号:CN201680066096.9
申请日:2016.10.04
公开号(授权):CN108349888B
公开日期(授权):2022.03.25
申请人(授权):拜耳作物科学股份公司
本发明提供对不期望的植物显示显著的除草活性的新的除草剂。通式(I)所示的哒嗪酮系化合物或其盆,(式中,X为-O-、-S-、-SO-、-SO2-或-N (Y)-;Q为可以具有Z取代基的单环式芳基、可以具有Z取代基的单环式杂芳基等;Y为氢原子或烷基;Z为卤素、烷基等;R1为烷基、烯基等:R2为氢原子、烷基等;R3为卤素、羟基等R4为氢原子、烷基等n为0~4的整数)。

申请号:CN201780021103.8
申请日:2017.03.29
公开号(授权):CN108884055B
公开日期(授权):2022.07.12
申请人(授权):石原产业株式会社
本发明涉及式(I)的尿嘧啶吡啶类或其可农用盐或衍生物,其中变量根据说明书定义,制备式(I)的尿嘧啶吡啶类的方法和中间体,包含它们的组合物及其作为除草剂,即控制有害植物的用途,以及还有一种控制不希望的植物生长的方法,包括使除草有效量的至少一种式(I)的尿嘧啶吡啶作用于植物、其种子和/或其生长地上。

申请号:CN201780031783.1
申请日:2017.05.22
公开号(授权):CN109311842B
公开日期(授权):2022.03.25
申请人(授权):巴斯夫欧洲公司
本申请公开了一种除草组合物,其包含第一除草剂氟丁酰草胺或其旋光富集形式,和选自以下的第二除草剂:WSSA第15组除草剂;WSSA第13组除草剂;WSSA第27组除草剂;WSSA第9组除草剂;WSSA第10组除草剂;WSSA第22组除草剂;WSSA第7组除草剂;WSSA第3组除草剂;WSSA笫14组三唑啉酮除草剂;WSSA第1组环己二酮除草剂;WSSA第2组咪唑啉酮除草剂;WSSA第14组N-苯基邻苯二甲酰亚胺除草剂;WSSA第14组二苯醚除草剂;WSSA第14组嘧啶二酮除草剂;WSSA第5组1,2,4-三嗪除草剂;和选自以下的除草剂:噁唑酰草胺、莠去津、精噁唑禾草灵、2,4-D(2,4-二氯苯氧基乙酸)、双氟磺草胺、氯吡嘧磺隆和苄草丹。本申请还公开了一种通过向此类植物的所在地施用除草有效量的除草组合物来控制作物中不希望的植物的方法。
申请日:2017.12.22
公开号(授权):CN110325038B
公开日期(授权):2022.10.04
申请人(授权):FMC公司 本发明公开一种除草剂三甲苯草酮的中间体2,4,6-三甲基苯甲醛的制备方法,属农用化学品原料技术领域。按照下述步骤实施:于反应瓶中加入N,N-二甲基甲酰胺和无水有机溶剂,缓慢滴加一定量POC13,10℃下搅拌20min后,滴加2,4,6-三甲基苯,控制温度在5℃以下搅拌10min,回流反应4.0h~8.0h,反应完毕,减压除去有机溶剂,缓慢倾入一定量的冰水中,混合液以饱和碳酸钠中和至pH=7,乙酸乙酯萃取数次,合并有机层,干燥,脱溶得2,4,6-三甲基苯甲醛(I)。
申请号:CN201711500116.1
申请日:2017.12.26
公开号(授权):CN108299170B
公开日期(授权):2022.07.22
申请人(授权):河北大学
本发明公开了式1的化合物(包括其所有的立体异构体、N氧化物及盐),包含其的农业组合物,以及其作为除草剂的用途,其中R1、R2、L、G和W如本公开所定义,并且A选自并且X1、X2、X3、X4、X5、X6、X7、X8、X9、X10、Y和Y1如本公开所定义。

申请号:CN201880029150.1
申请日:2018.03.28
公开号(授权):TWI785022B
公开日期(授权):2022.12.01
申请人(公开):FMC公司
本发明公开了一种利用化学酶法生产L-草铵膦的方法,所述方法为:以外消旋N-乙酰草铵膦为底物,以含羧肽酶基因的工程菌经发酵培养获得的湿菌体或湿菌体超声破碎后提取的纯酶为催化剂,以pH值为5~10的缓冲液为反应介质,在45℃水浴摇床200rpm条件下反应,反应完全后,获得含DN-乙酰草铵膦和L-草铵膦的反应液,将反应液分离纯化,收集DN-乙酰草铵膦消旋化后用于循环拆分,同时获得L-草铵膦。本发明方法不需要辅酶循环系统及与产物结构相似的氨基供体,反应步骤简单,易于分离,光学选择性高(ee值99%),离子交换柱分离效果明显,更易得到高纯度的L-草铵膦(纯度为98%)。
申请号:CN201810338960.7
申请日:2018.04.16
公开号(公开):CN108690854A
公开日期(公开):2018.10.23
申请人(公开):浙江工业大学
取代的苯甲酰胺及其作为除草剂的用途。本发明涉及作为除草剂的通式(I)的苯甲酰胺。在式(I)中,X、R和Ra表示基团如烷基、环烷基和卤素。Q为五元杂环。

4-氨基-6-(杂环)吡啶甲酸酯和6-氨基-2-(杂环)嘧啶-4-羧酸酯及其作为除草剂的用途
4-氨基6-(杂环)吡啶甲酸酯及其衍生物:6-氨基-2-(杂环)嘧啶-4-羧酸酯及其衍生物:以及使用它们作为除草剂的方法。
申请号:CN201880042410.9
申请日:2018.05.04
公开号(授权):CN111065269B
公开日期(授权):2022.06.10
申请人(授权):美国陶氏益农公司
包含HPPD抑制剂类除草剂的三元除草组合物及其应用
本发明属于农药领域,具体涉及一种包含HPPD抑制剂类除草剂的三元除草组合物及其应用。所述三元除草组合物,包括除草有效量的活性成分A、B和C,其中,A选自以下HPPD抑制剂类除草剂化合物中的一种或多种:双唑草酮,环吡氟草酮和/或其盐/酯等衍生物:B选自以下化合物中的一种或多种:苯唑草酮、硝磺草酮、环磺酮等和/或其盐/酯等衍生物;C选自以下化合物中的一种或多种:丙草胺、丁草胺、苯噻酰草胺、莎稗磷等和/或其盐/酯等衍生物。该组合物能有效防除作物田中的碎米荠、繁缕、荠菜、牛繁缕、猪殃殃、看麦娘、日本看麦娘、菵草等杂草问题,具有扩大杀草谱、减少施用量、对作物安全、能够产生增效作用并解决抗性杂草等特点。
申请号:CN202210268291.7
申请日:2018.07.21
公开号(公开):CN114431244A
公开日期(公开):2022.05.06
申请人(公开):青岛清原化合物有限公司
包含4-氨基-3-氯-5-氟-6-(4-氯-2-氟-3-甲氧基苯基)吡啶-2-甲酸或其衍生物和环磺酮和/或苯吡唑草酮的除草组合物
本文提供了利用(a)具有式(I)的化合物:或其农业上可接受的盐或酯以及(b)环磺酮和/或苯吡唑草酮的除草组合物和控制不希望的植被的方法。本文提供的组合物和方法提供了对例如玉米作物、高梁和任何其他对这些活性成分天然耐受或含有针对这些活性成分的除草剂耐受性状的作物中的不希望的植被的控制,所述玉米作物是例如田间玉米、为种子种植的田间玉米、和爆米花玉米、甜玉米。
本发明涉及作为除草剂的式(I)的3-酰基-苯甲酰胺。在式(I)中,X、Y、Z和RX表示基团如烷基、环烷基和卤素。

本发明属于农用除草剂领域,具体涉及一种异噁唑啉羧酸酯类化合物及其盐的制备和应用研究。一种异噁唑啉羧酸酯类化合物及其盐的化合物如通式(I)所示,通式(I)化合物具有很好的除草活性,可以有效地控制稗草、狗尾草、苘麻、百日草等杂草,在低剂量下就可以获得很好的除草效果,在农业上可用作除草剂。

本发明公开了一种除草组合物和方法。描述了油分散体,所述油分散体包含一种或多种基础油;包含三唑啉酮、4-羟基苯基丙酮酸双加氧酶抑制剂和磺酰脲类的除草剂组合物的除草剂组合物:和包含磷酸和/或磷酸衍生物、以及/或者磷酸和/或磷酸衍生物与尿素和/或尿素衍生物的混合物的稳定剂;所述分散体显示出增强的杂草控制谱和增强的稳定性。还描述了制备除草组合物的方法和控制杂草的方法。
申请号:CN201880066203.7
申请日:2018.08.10
公开号(授权):CN111372452B
公开日期(授权):2022.07.26
申请人(授权):爱利思达生命科学有限公司
本公开涉及FR901464和/或思普力西欧他汀(spliceostatin)C化合物及其作为除草剂的用途。此外,本发明涉及用于作物保护的组合物和用于控制不想要的植被的方法。
申请号:CN201880057959.5
申请日:2018.09.06
公开号(授权):CN111246740B
公开日期(授权):2022.06.10
申请人(授权):马罗内生物创新公司
本发明公开了一种含苯嘧草唑的除草剂组合物,含有A、B两种活性组分,A为苯嘧草唑,B选自精异丙甲草胺、丁草胺、乙草胺中的一种,优选A、B采用1:1.5~10的质量百分比组分,该组合物可以配制成多种剂型。本发明适用于防除园林地和非耕地中的一年生及多年生杂草的应用,两种有效成分复配具有明显的增效作用,提高了防治效果,降低了农药使用量。
申请号:CN202210045271.3
申请日:2018.10.20
公开号(公开):CN114532347A
公开日期(公开):2022.05.27
申请人(公开):南通江山农药化工股份有限公司;沈阳中化农药化工研发有限公司
本发明属于除草剂技术领域,提供了一种7-芳氧乙酰氧基异黄酮衍生物及其在农药上的应用,合成步骤如下:适当温度下,按比例将7-羟基异黄酮衍生物与芳氧乙酰氯加入到适当反应溶剂中,加入适当催化剂,进行反应,反应完成后,除去溶剂,向残余物中加入NaOH溶液,过滤、洗涤、干燥,重结晶即得7-芳氧乙酰氧基异黄酮衍生物。
本发明提供了一类新型的异黄酮类化合物的制备方法。本发明的化合物具有很高的除草活性,与其他的类化合物相比,除草活性有了很大的提高。本发明的化合物对供试杂草如双子叶杂草模式植物油菜有很高的防效。
申请号:CN201811312627.5
申请日:2018.11.06
公开号(授权):CN109400568B
公开日期(授权):2022.10.25
申请人(授权):江苏大学
本发明涉及一种喹啉衍生物;具体地,本发明涉及式(I)所示的喹啉衍生物或式(I)所示喹啉衍生物的立体异构体、氮氧化物或其盐,及喹啉衍生物的制备方法,及它们在农业中作为除草剂的用途,及其除草剂组合物的形式,以及用这些化合物或组合物来防治杂草的方法;其中,X1、X2、X3、Z、Het、R1、R2和R3具有本发明所述的含义。
本发明总体上涉及包含草铵膦组分和生长素除草剂组分的含水除草组合物。本发明进一步涉及制备这些组合物的方法和使用这些组合物控制有害植物的方法。
申请号:CN202211054143.1
申请日:2018.12.21
公开号(公开):CN115349524A
公开日期(公开):2022.11.18
申请人(公开):孟山都技术有限公司
本发明涉及农药领域,公开了一种二氯喹啉酸除草剂中间体7-氯-8-甲基喹啉的制备方法,该方法包括:在有机溶剂存在下,将2-甲基-3-氯苯胺、一元无机酸、丙烯醛以及脱氢试剂进行接触反应,得到7-氯-8-甲基喹啉的步骤。通过本发明的方法,能够避免在环和反应中使用硫酸,从而减少了液碱的用量,减少了废水量。
申请号:CN201811621340.0
申请日:2018.12.28
公开号(授权):CN111377859B
公开日期(授权):2022.12.16
申请人(授权):北京颖泰嘉和生物科技股份有限公司
本发明公开了一种除草剂异噁唑草酮关键中间体的制备方法,具体涉及除草剂制造技术领域,包括以下步骤:中间体I的制备和5-环丙基-4- [2-甲硫基-4-(三氟甲基)苯甲酰基]异噁唑的制备共两个步骤,将1-环丙基-3- (2-甲硫基-4-三氟甲基苯基)丙基-1,3-二酮与N,N-二甲基甲酰胺二甲缩醛在有机溶剂中反应5~10小时。
本发明通过在步骤二的反应中,加入酸质子化中间体I中的烯胺氮原子,增强了二甲胺基团的离去性,使得羟胺盐不必游离出来便可参与反应,省去了缚酸剂的使用,降低了成本,减少了固废的产生,同时加入酸也能活化羰基,使得环合脱水更加容易,缩短了反应时间,有利于减少了异构体的生成,提高了产物的收率和纯度。
申请号:CN201811643801.4
申请日:2018.12.30
公开号(授权):CN109553586B
公开日期(授权):2022.09.13
申请人(授权):南京正荣医药化学有限公司
式(I)的脂肪酸衍生物可以用作除草剂:其中:R1是含有117个碳原子的脂族基团,其是线性、支化、饱和或者不饱和的;R2、R3、R4、R5、R6、R7独立地是氢、甲基、乙基或者羟甲基;m、n和p是017的数,条件是m+n+p≥1,和m+n+p<18,其中不同的单体可以是以统计学次序、交替地或者作为嵌段共聚物排列的,和m、n和p可以是统计学混合物;X独立地是共价键或者羟基亚甲基;R8是含有110个碳原子的脂族基团,其是线性、支化、环状、饱和或者不饱和的,取代的或者未取代的苯基或者取代的或者未取代的苄基。
申请号:CN201980015328.1
申请日:2019.02.25
公开号(授权):CN111770685B
公开日期(授权):2022.09.09
申请人(授权):科莱思国际有限公司
含查尔酮的芳氧羧酸酯类化合物的合成方法及其在农药上的应用
本发明属于除草剂技术领域,具体提供了一种含查尔酮的芳氧羧酸酯类化合物的合成方法及其在农药上的应用,合成步骤如下:适当温度下,按比例将4-羟基查尔酮衍生物与芳氧乙酰氯加入到适当反应溶剂中,加入适当催化剂,进行反应,反应完成后,除去溶剂,向残余物中加入NaOH溶液,过滤、洗涤、干燥,重结晶即得含查尔酮的芳氧羧酸酯类化合物。本发明提供了一种简单、有效的方法合成含查尔酮的芳氧羧酸酯类化合物,且本发明的化合物具有较强的除草活性。
申请号:CN201910265836.7
申请日:2019.04.03
公开号(授权):CN110041198B
公开日期(授权):2022.03.22
申请人(授权):江苏大学
本发明涉及除草剂领域,具体涉及一种异噁唑类除草剂中间体及其制备方法,该异噁唑类除草剂中间体中的一种具有式A所示结构,且另一种具有式D所示结构。以及式A中间体的方法包括:在第一有机溶剂的存在下,将式B所示化合物、络合物和第一缚酸剂进行接触反应,其中,所述络合物由化合物X和化合物Y经络合反应得到,所述化合物X选自N,N-二甲基甲酰胺、N-甲基甲酰胺和N,N-二乙基甲酰胺中的至少一种;所述化合物Y选自硫酸二甲酯和/或硫酸二乙酯。本发明能够有效提高式D所示结构的收率和纯度,并且本发明的方法更加简便、安全和环保。
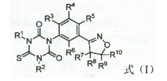
硫代三嗪酮异噁唑啉类化合物及其制备方法和应用、原卟啉原氧化酶抑制剂和除草剂
本发明涉及农药领域,具体涉及硫代三嗪酮异噁唑啉类化合物及其制备方法和应用,以及含有该硫代三嗪酮异噁唑啉类化合物和原卟啉原氧化酶抑制剂和除草剂。含硫代三嗪酮异噁唑啉类化合物具有式(I)所示的结构,其中R1、R2各自独立地选自H、-NH2、C1-C6的烷基或C1-C6的卤代烷基等。本发明所提供的硫代三嗪酮异噁唑啉类化合物能够高效的抑制植物原卟啉原氧化酶的活性,且兼具良好的除草活性和作物安全性。
