组合化学工业株式会社(下称组合化学)的产品涵盖农用化学品在内的精细化工产品多个领域,而农药业务是其主要部分,占据公司业务的80%。砜吡草唑是组合化学联合庵原化学工业株式会社共同开发的一种广谱、高效芽前除草剂,品牌名为AXEEV®,ISO通用名为pyroxasulfone, CAS登录号447399-55-5,分子式C12H14F5N3O4S,其化学结构式如图1所示,可用于防除小麦、玉米、大豆、棉花、向日葵、马铃薯和花生等作物田一年生阔叶杂草和禾本科杂草。除草剂抗性行动委员会(HRAC)将砜吡草唑列为K3类除草剂,属于细胞分裂抑制剂,通过抑制极长链脂肪酸(VLCFA)合成,进而阻碍分生组织和胚芽鞘生长。砜吡草唑对禾本科杂草和阔叶杂草均高效,在澳大利亚是防除抗性黑麦草的首选除草剂。

图1 砜吡草唑化学结构式
砜吡草唑2011年在澳大利亚率先上市,2012年获得美国EPA批准,2019年在我国获得原药登记,但截至当前,尚未获得欧盟登记。砜吡草唑除单剂登记外,还有与小麦田、玉米田、大豆田除草剂的混配制剂登记,目前已在全球23个国家完成产品登记。在全球登记并销售砜吡草唑单剂和混剂的跨国公司有富美实(FMC)、巴斯夫(BASF)、拜耳(Bayer)、VALENT(住友子公司)等。组合化学拥有砜吡草唑全球专利组合,包括但不限于砜吡草唑的原药、中间体、制备工艺、晶型、复配组合物、制剂等相关专利,组合化学的AXEEV®不仅在美国、澳大利亚、阿根廷、巴西和印度等关键市场取得显著销售业绩,其销售网还成功扩展至亚洲、非洲等地区。AXEEV®的销售额在2013—2023年持续攀升,特别是2021—2023年增长高速,如图2所示,2021—2023年的销售额分别为355、544、731亿日元,短短3年内实现了2.45倍的惊人增长。

图2 2018‒2024年组合化学的AXEEV全球销售额
2022 年之后,砜吡草唑原药及部分中间体合成工艺专利陆续到期,没有了核心化合物专利权的封锁,各国农化企业加速了砜吡草唑仿制进程,纷纷推出其仿制药,对该旗舰产品展开追逐和扩张。由于仿制药价格下降,AXEEV®的销售价格也有所调整。2024财年,AXEEV®销售额下降至711亿日元(图2),组合化学的营业利润同比减少23.32亿日元(18.9%)至99.76亿日元。但组合化学通过多重外围专利与诉讼策略的持续施压,2025年9月5日,组合化学在其9个月(截至2025年7月31日)合并财务业绩报告中表明在日本以外的市场,由于对专利侵权产品的法律行动,AXEEV®在澳大利亚的销售额有所增长。
针对砜吡草唑,组合化学在澳大利亚和中国的知识产权保护展现出卓越的布局和维权能力,本文基于组合化学近年在澳大利亚、中国的专利数据与诉讼案例,揭示组合化学构建的专利壁垒与诉讼策略,为中国企业的知识产权管理和保护提供参考。
1. 组合化学在澳大利亚发起的砜吡草唑专利侵权诉讼
澳大利亚的专利主要包含3种,一是标准专利(类同中国发明专利),二是创新专利(类同中国实用新型),三是外观设计专利。其中,创新专利是一种相对特殊类型,通过形式审查后即可获得授权,与中国实用新型专利不同的是,澳大利亚创新专利还可以保护方法,如商业方法、治疗和诊断方法等。专利权人在行使创新专利的维权、转让和许可等相关专利权前,需主动请求并通过实质审查才能使其澳大利亚创新专利具备实质的法律保护效力。由于创新专利授权快,授权标准低,许多大型企业在澳大利亚申请了大量创新专利。但为了鼓励中小企业的创新和技术进步,澳大利亚政府已决定自2021年8月26日起不再受理新的创新专利申请。
1.1 澳大利亚砜吡草唑诉讼相关专利申请
组合化学近年在澳大利亚的砜吡草唑诉讼相关专利申请情况如图3所示,专利的保护主题包括砜吡草唑的制备工艺、包含砜吡草唑特定晶型的组合物及其制备、包含砜吡草唑特定晶型的特定剂型的组合物的制备等,其中AU2020300922为基础专利。

图3 组合化学近年在澳大利亚的砜吡草唑诉讼相关专利申请情况
AU2020300922的反应路线如图4所示,该专利的核心技术在于以受体数为0~50的有机溶剂和水为混合溶剂,以双氧水为氧化剂,在金属催化剂存在下进行氧化反应制备式(5)所示的化合物,相对于现有技术采用间氯过氧苯甲酸等作为氧化剂在有机溶剂中进行氧化的方法,氧化试剂价格低廉,且后处理简单,三废减少,氧化反应完全,产物中基本不含有式(6)所示亚砜类的副产物,说明书实施例2‒1~2‒36中式(5)所示的化合物(即砜吡草唑)的收率最高达99.4%,式(6)所示的亚砜类副产物的HPLC含量最低为0%。AU2020300922说明书中详细记载了采用不同的工艺条件参数如催化氧化体系、反应溶剂等制备式(5)所示的化合物的实例,还针对性提供了多个比较例和参考例,用以证明该专利的合成方法所取得的技术效果以及现有技术的制造方法所存在的缺陷,还记载了由上述方法所制得的砜吡草唑特定晶型及其表征数据,以及包含该砜吡草唑特定晶型的制剂及其性能参数,如润湿性、稀释液的再分散性等,该专利申请于2023年1月5日获得授权。

图4 AU2020300922反应路线
2023 年,组合化学以AU2020300922为基础专利,通过分案提交了AU2023201945(包含砜吡草唑特定晶型的组合物及其制备),进一步扩展了保护范围,之后又以AU2023201945为基础提交了2个创新专利申请AU2023100061、AU2023100062,分别要求保护上述式(5)化合物的制备,均已获得授权。2024年,组合化学以AU2023201945为基础,通过分案再次提交了3个创新专利申请AU2024100033、AU2024100034、AU2024100035和1个标准专利申请AU2024219674,分别要求保护砜吡草唑特定晶型的制备、包含砜吡草唑特定晶型的组合物及其制备、包含砜吡草唑特定晶型的特定剂型(水分散颗粒制剂、水悬浮浓缩物)的组合物的制备等(图3),除AU2024219674尚在审中,AU2024100033、AU2024100034和AU2024100035均已获得授权。
2023 年4月,ADAMA公司针对AU2020300922向澳大利亚知识产权局专利局提出了异议,组合化学积极调整应对策略,发现AU2020300922B2的稳定性存在明显不足时,通过修改权利要求书,明确了所述氧化步骤中采用的金属催化剂为选自钨催化剂、钼催化剂、铌催化剂的具体种类,并进一步限缩了目标产物取代基的范围(R1=R4=R5=甲基,R2=三氟甲基,R3=二氟甲基),该专利的出版历史如表1所示,目前该异议程序仍在进行中。
表1 AU2020300922出版历史

1.2 澳大利亚砜吡草唑专利侵权诉讼
2024 年,组合化学针对5家澳大利亚企业:ADAMA Australlia Pty Ltd.、Kenso Corporation(M)Sdn.Bhd及其关联公司Kenso Agcare Pty Ltd.、CropSmart Pty Ltd.、4 Farmers Australia Pty Ltd.、ConquestCrop Protection Pty Ltd.向澳大利亚联邦法院提起5起单独的专利侵权诉讼(表2),涉案产品均为包含砜吡草唑作为活性成分的850WG除草剂。
表2 组合化学在澳大利亚发起的砜吡草唑专利侵权诉讼

上述5起侵权诉讼中,组合化学已成功获得2项禁令。ADAMA公司于2024年7月19日、4 Farmers公司于2025年9月12日分别向澳大利亚联邦法院作出承诺:在AU2023100061有效期内,未经组合化学许可或授权,不会在澳大利亚销售、以其他方式处置、提供销售或以其他方式处置、使用或进口,或为实施任何上述行为而保留,APVMA产品编号90790或任何通过该专利中要求保护的方法生产的砜吡草唑产品。2025年4月17日,澳大利亚联邦法院准许组合化学中止对Crop公司的专利侵权诉讼。
面对组合化学严密的专利保护网和可能面临的被诉,多家企业通过策略性反诉、无效等手段进行抗辩。2024年,分案专利AU2023201945分别被5家企业:Kenso、Conquest、Dan Yang、Nufarm、Adama同时提出异议,但目前该异议均已被撤回,澳大利亚专利公报中并未说明撤回具体原因。笔者猜测,异议撤回可能出于以下几种常见原因:当事人之间达成和解或协议,认为继续争议的成本与收益不匹配;或者是发现缺乏足够的法律或技术依据,即对专利的有效性已不再存有实质性争议;又或是业务或战略调整,涉案企业决定放弃对该专利的竞争或转向其他技术路线等。
可以看出,组合化学在澳大利亚的专利布局极具战略性,首先通过标准专利建立基础技术壁垒,再通过澳大利亚的创新专利制度″短、平、快″地将氧化工艺、砜吡草唑特定晶型的制备工艺、包含砜吡草唑特定晶型的不同剂型的组合物及其制备工艺拆成多件小专利,从而形成了″攻防一体″的专利保护网。通过把创新专利AU2023100061进行实质审查后再以5家澳大利亚企业分销和销售含有砜吡草唑活性成分的除草剂为由向澳大利亚联邦法院提起专利侵权诉讼,分案AU2023201945被5家同时异议又全部撤回,也足见其织就的专利保护网足够严密、牢固。
2. 组合化学在中国发起的砜吡草唑专利侵权诉讼
2.1 在中国的砜吡草唑相关专利申请布局
组合化学自2002年起在全球30个国家/地区的知识产权机构就砜吡草唑、中间体及其合成工艺提交了专利申请,其中国专利布局见表3。
组合化学2002年在我国申请了砜吡草唑的化合物专利ZL02804675.7,保护砜吡草唑原药及其作为除草剂的用途,之后又陆续申请了中间体及其生产方法专利ZL03819895.9、ZL200580010635.9、ZL200780005559.1,还通过上述中间体及其生产方法专利的分案申请ZL200710002002.4、ZL201210121587.2进一步拓展了保护范围,上述专利中,除5-烷氧基-4-羟基甲基吡唑化合物的制备方法专利ZL200780005559.1、ZL201210121587.2将于2027年2月8日到期之外,其余专利均已失效。
2018 年之前,组合化学在中国提交的专利申请主要集中于含吡唑片段的中间体及其生产方法,2018年之后则聚焦于含异唑片段的中间体及其生产方法、硫醚中间体的氧化工艺等。其中,除草剂及其中间体的制备方法专利申请CN202080003718.X即为AU2020300922的中国同族,国家知识产权局于2023年7月28日作出驳回决定,目前处于复审阶段。
组合化学还先后提交了多种复配组合物、制剂专利申请,涉及与甲磺草胺、氟噻草胺、唑草酮等几十种活性成分的二元/三元复配,制剂的类型包括粒剂、微囊、水性悬浮液等,既延缓了抗性发展,也拓宽了除草谱。
表3 组合化学砜吡草唑及其中间体合成工艺中国专利布局

注:*为由庵原化学工业株式会社变更为组合化学工业株式会社。
2.2 组合化学在中国发起的砜吡草唑专利维权行动
2023 年8月,组合化学向山东省知识产权局提起专利侵权纠纷请求,主张中国某公司未经许可,为生产经营目的使用中间体5-羟基-4-硫甲基吡唑化合物的制备方法中国专利ZL200580010635.9的方法生产化合物产品并使用、销售、许诺销售依照该专利方法直接获得的产品,估算年产量超过10 t,并多次出口印度。2023年9月11日,该公司以专利ZL200580010635.9的说明书不符合专利法第二十六条第三款的规定、权利要求1~6不符合专利法第二十六条第四款的规定、第二十二条第三款的规定为由向国家知识产权局提出无效宣告请求,2024年3月15日,国家知识产权局作出第565648号决定,维持专利权全部有效。2024年11月11日,组合化学与1家中国公司就ZL200580010635.9专利侵权纠纷达成重要和解,在和解协议中,该公司同意与其关联公司今后将尊重组合化学的知识产权,在该专利有效期内,未经组合化学明确许可的情况下,不会实施组合化学拥有的与砜吡草唑产品相关的任何中国专利,ZL200580010635.9已于2025年3月31日届满终止。
2024—2025年,组合化学就砜吡草唑在中国共发起了7起专利侵权诉讼,以维护其专利权益,如表4所示,争议的焦点均围绕砜吡草唑中间体或其制备方法专利。
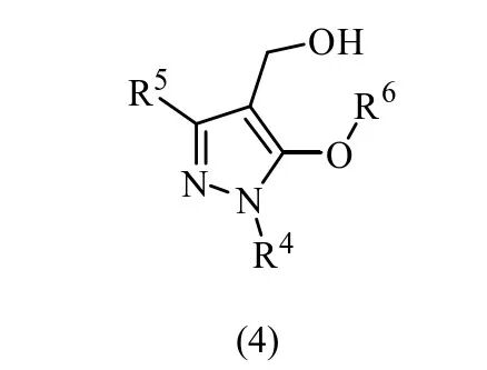
组合化学于2024年6月和8月先后请求法院禁止多家中国公司从事侵犯中间体化合物中国专利ZL201210121587.2的行为,该专利保护式(4)所示的生产砜吡草唑除草剂产品所需的关键中间体5-烷氧基-4-羟基甲基吡唑化合物,其化学结构式如图7所示。现有技术中为了获得5-烷氧基-4-羟基甲基吡唑化合物,需要3步反应,反应过程复杂、耗时长、且目标产物的总产率低,该专利说明书验证了权利要求保护的中间体化合物能够通过在一步反应中对所述吡唑环上的5-位和6-位进行修饰得到,解决了与之类似的现有技术的化合物制备工艺步骤多、反应复杂的问题,目标产物的收率大幅提高,最高可达88.2%,该专利将于2027年2月8日届满到期。

图7 ZL201210121587.2的中间体式(4)化合物
面对组合化学的专利维权,国内企业纷纷采取专利无效挑战的策略,先后就ZL201210121587.2分别向国家知识产权局提出无效宣告请求。由于请求人提出的创造性不足主张均不成立,2025年8月6日,国家知识产权局就上述2个无效宣告请求分别作出第584781、587691号决定,维持专利权全部有效。此案显示组合化学对非核心专利的防御性布局,即使未直接覆盖主流技术,仍构成威慑。据悉,目前又有4家公司针对专利ZL201210121587.2分别提交了无效宣告请求,尚无进一步进展。 由上述案例可以看出,组合化学面对侵权行为,在中国采用了2条路径进行维权行动,一是通过司法途径,向人民法院提起专利侵权诉讼,该路径法律效力强且职权范围更广,可以合理判定侵权损失的赔偿数额。二是通过行政裁决结合自行和解的方式,最终签订和解协议,达到了预期的目的。
3. 结语
在农药行业激烈的市场竞争环境下,如何进行突围,如何实现高质量发展是农药企业无法回避的重大问题,而布局重要专利或其组合是企业提高核心竞争力的重要手段之一。涉及知识产权的争议和纠纷也呈现出复杂化、多样化,通过对组合化学在澳大利亚和中国的砜吡草唑专利布局及相关诉讼案例的梳理可以看出,组合化学在澳大利亚和中国的上述专利权能够在经历诉讼、异议/无效宣告请求后依然有效,最主要的原因是组合化学拥有关键核心技术和卓越专利布局能力,在分析市场行情和竞争对手专利状况基础上,推动专利技术的开发和运用,构建专利壁垒,获取专利竞争优势,控制甚至独占市场。因此国内企业要组建自主的专利管理部门,以优化企业的专利战略执行,将专利保护工作前置到研发过程中,在专利申请时就思考如何能够稳固专利权、提升专利质量,定期检视专利或其组合,监测竞争对手在关键技术领域的专利布局变化,及时调整和优化专利布局,提前规避专利风险。企业还要在国内和国际范围内根据产品的市场需求和自身的发展战略,根据关键市场和地区的专利审查制度差异化地制定专利申请策略,形成专利群,确保自己的专利权益不受侵害。当发现市场上的侵权行为时,要果断地采取必要的法律手段进行专利维权。