氯虫苯甲酰胺(chlorantraniliprole,CAP)是邻甲酰氨基苯甲酰胺类杀虫剂,试验代号DPX-E2Y45。化学名称为:3-溴-N-[4-氯-2-甲基-6-[(甲氨基)羰基]苯基]-1-(3-氯-2-吡啶基)-1H-吡唑-5-酰胺;商品名为:康宽;CAS登录号:500008-45-7,结构式见图1。该药为鱼尼丁受体作用剂,是邻甲酰氨基苯甲酰胺类杀虫剂中的第1个有效成分,广谱、高效防治果树、蔬菜、大田作物、特种作物和草坪上的咀嚼式口器害虫。除了防治鳞翅目害虫外,氯虫苯甲酰胺在增加用药量的情况下,还可以防治科罗拉多甲虫、叶蝉等,同时,对粉虱具有抑制作用,广泛应用于水稻、大豆、棉花、果蔬等农作物。氯虫苯甲酰胺自2008年上市以来,已在世界100多个国家销售,几乎覆盖了所有主要市场,优良的杀虫效果使其成为杜邦公司的明星产品、全球第一大杀虫剂。2017年该产品被富美实公司收购,其有关的知识产权,包括专利、注册和数据包,被转移到富美实公司。

图1 氯虫苯甲酰胺的结构式在目前对杀虫剂安全性要求越来越严格的形势下,高效低毒、环境友好的杀虫剂将更受青睐,在现有化合物基础上进行结构改造以寻找更安全、更环保的新化合物,并进行全面的专利布局,将是今后的研究热点,也是杀虫剂领域向绿色农药方向发展的未来之路。
杜邦公司作为氯虫苯甲酰胺的原研公司,围绕该产品进行了大量专利申请,本文通过在STN检索平台中的Caplus数据库中通过化合物CAS登录号、化学名称、结构式检索,并追踪检索申请人信息,就杜邦公司关于该产品的专利申请状况、专利布局和研发策略进行研究和分析,以期为国内农药领域的相关研发企业提供一定的参考。
杜邦公司于2003年2月27日申请原研专利WO200315519A1,涉及杀节肢动物的邻氨基苯甲酰胺,在权利要求1中请求保护通式化合物,其结构式见图2。在权利要求8中请求保护一系列具体化合物,其中包括“式1的化合物,其中R1是CH3、R2是C1、R3是Br、R4a是CH3、R4b是H、和R5是Cl”(即氯虫苯甲酰胺);在权利要求9-13中请求保护包含生物有效量活性化合物的组合物;在权利要求14-15中请求保护使用活性化合物或组合物防治无脊椎害虫的方法。说明书实施例6中制备了该化合物,并在生物实施例中通过实验A-D对小菜蛾、秋天行军虫(也称“草地贪夜蛾”)、烟夜蛾、甜菜夜蛾防治,测试结果显示该化合物获得了良好的植物保护效果(10%或更少受到侵食危害);在实验E-G中评价对桃蚜、棉蚜、棉粉虱的防治测试中显示得到了至少80%的死亡率;在实验I中评价对秋天行军虫的防治测试显示得到了良好的死亡率,LC90值为10mg/kg或更少,在实验L中对棉象甲的防治测试显示在50mg/kg下得到了良好的植物保护效果(10%或更少的侵食危害率)。

图2 专利WO200315519A1中请求保护的通式化合物
该专利的同族专利申请在美国、澳大利亚、中国、欧盟、日本等国家及地区已获得授权。该化合物专利为氯虫苯甲酰胺的核心专利,其特点是技术含量高。由于该专利申请权利要求概括的保护范围合理,且说明书实施例对通式化合物范围内的大量具体化合物作了制备和活性测试,并提供了对多种节肢动物的防治效果数据,因此,在进入中国时授权了通式化合物、具体化合物、组合物和防治方法,该专利对于杜邦公司和富美实公司来讲是非常重要的化合物专利,将于2022年8月13日到期。
值得一提的是,杜邦公司在原研专利WO200315519A1的同一日,也提交了系列申请WO2003015518A1、WO2003016283A1,分别涉及使用邻氨基苯甲酰胺化合物防治特殊害虫的方法和取代的二氢3-卤代-1H-吡唑-5-羧酸酯制备及应用。由此可见,杜邦公司在化合物核心专利提交的同时,即展开了有关施用方法、制备方法及应用的相关专利布局。
自原研专利申请后,杜邦公司继续对化合物结构作了进一步改造,并申请了一系列化合物专利(表1)。
表1 基于氯虫苯甲酰胺结构改造的化合物专利
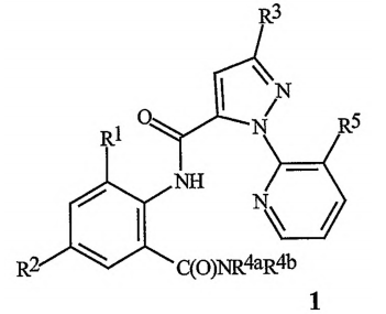
由表1可以看出,为了获得对植物保护水平良好的杀虫剂,杜邦公司对氯虫苯甲酰胺的结构修饰和改造主要集中在4个区域:吡唑环1-位、吡唑环3-位、吡唑环与苯环之间的酰胺、苯环。其后期系列申请均在原研专利的启示下对相关位点的结构进行改造,并对构效关系作了深入研究。理想杀虫剂品种是研发人员努力的方向,以氯虫苯甲酰胺为代表的鱼尼丁受体类杀虫剂具有很高的杀虫活性,在此基础上对其进行结构修饰和新化合物的设计将更有价值。不管是原研公司还是其他申请人均看到氯虫苯甲酰胺所带来的经济效益,长期以来基于氯虫苯甲酰胺的结构创制新型杀虫剂一直是农药领域的研发热点。
在农药领域,组合物专利通常被认为是外围专利,但在后续的市场开发和应用、专利授权后的侵权赔偿等方面,除了核心化合物专利外,一些开放式撰写形式的组合物专利也非常重要。随着抗性产品的增多,复配组合物专利对市场保护具有重要价值。杜邦公司围绕氯虫苯甲酰胺先后申请了17件组合物专利(表2),研发了氯虫苯甲酰胺的许多复配产品和新的剂型。
表2 氯虫苯甲酰胺组合物专利
尽管在氯虫苯甲酰胺的核心专利中披露了非常多的化合物的合成方法,并在实施例6中披露了采用[3-溴-1-(3-氯-2-吡啶基)-1H-吡唑-5-基]-6-氯-8-甲基-4H-3,1-苯并噁嗪-4-酮与甲胺反应制备得到氯虫苯甲酰胺的具体操作,然而并没有详尽公开适合工业大量生产氯虫苯甲酰胺的合成方法。与核心专利同日提交的系列申请WO2003016283A1公开了用作杀虫剂的式Ⅲ化合物的制备方法以及涉及的多个中间体化合物,对该邻氨基苯甲酰胺类杀虫剂的合成路径、制备条件等作了详尽的记载。之后,杜邦公司还围绕氯虫苯甲酰胺的制备方法提交了多件专利申请(表3),涉及吡唑中间体、苯胺中间体及其制备、目标化合物合成方法。
表3 氯虫苯甲酰胺制备专利
杜邦公司除了在原研化合物专利提交日同时提交了PCT申请WO2003015518A1外,后续还申请了一系列有关氯虫苯甲酰胺的施用方法及用途专利(表4),进一步研究了如何提高作物产量,增强杀虫活性和范围,并开发其它更多用途。
表4 氯虫苯甲酰胺施用方法及用途专利
通过对杜邦公司的氯虫苯甲酰胺相关专利技术统计,分析了杜邦公司对氯虫苯甲酰胺的研发过程和专利布局情况。杜邦公司对氯虫苯甲酰胺进行了全面和深入的研究开发,在核心化合物专利申请的同日,即提交了制备方法专利、施用方法专利,之后又进一步就化合物结构改进、组合物、制备方法和中间体、施用方法和新用途等提交了相关的专利申请,一系列多方面的专利申请形成完美的专利链条,为杜邦公司获取杀虫剂的市场占有率和商业利益最大化提供了强有力的保障,同时,还尽可能地延长了产品的生命周期。
在农药领域,大多数国内申请均围绕一些已上市的杀虫剂进行结构改进,即保持化合物在母体结构不变,对其部分结构片段进行改造以期提高杀虫活性,增加杀虫广谱性。我国农药研发企业可以借鉴杜邦公司关于氯虫苯甲酰胺的专利布局和策略,对研发产品进行全方位的专利布局,并结合自身的研发水平及国内外市场实际情况,制定适合的经营策略。相信随着我国创新能力逐渐增强,将开发出更多具有自主知识产权的新杀虫剂品种,持续不断地研发,支持中国农化产业在世界范围内参与竞争。
来源:《农药科学与管理》2022年第6期